Modeling of the Effect of the Building Strategy on the Thermomechanical Response of Ti-6Al-4V Rectangular Parts Manufactured by Laser Directed Energy Deposition
Abstract
1. Introduction
2. Experimental and Modeling Methodology
2.1. Experimental Procedure
2.2. Modeling Methodology for L-DED Processes
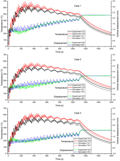
3. Model Calibration
4. Effect of the Building Strategy
4.1. Effect of the Back Speed
4.1.1. Thermal Response
4.1.2. Mechanical Response
4.2. Effect of the Scanning Pattern
4.2.1. Temperature Evolution
4.2.2. Displacement History
4.2.3. Residual Stresses
5. Conclusions
- Remarkable agreement between the predicted and experimental thermal and mechanical results provides confidence for adopting the high-fidelity model to explore diverse thermo-mechanical problems in the AM. Considering the actual layer sizes in numerical modeling improves the accuracy of the mechanical predictions.
- Controlling the back speed is beneficial to reduce the dwell-time during the manufacturing process. The shorter the dwell-time is, the higher the heat accumulation becomes, which triggers heat softening and stress relief, leading to the mitigation of both residual stress and distortion.
- Shortening the longitudinal scanning vectors significantly alleviates the effect of the longitudinal tensile stress along the long-wall direction, contributing to the reduction of the part warpage.
- Using an optimized scanning strategy can achieve a pronounced minimization in vertical displacement (36.4%) but fails to control the development of the thermal stresses in the manufacturing process.
- In order to control both residual stress and deformation of the rectangular workpieces, the combination of shortening the scanning vector and preheating the baseplate before L-DED is needed [5].
Author Contributions
Funding
Conflicts of Interest
References
- Lu, X.; Lin, X.; Chiumenti, M.; Cervera, M.; Li, J.; Ma, L.; Wei, L.; Hu, Y.; Huang, W. Finite element analysis and experimental validation of the thermomechanical behavior in Laser Laser Directed energy deposition of Ti-6Al-4V. Addit. Manuf. 2018, 21, 30–40. [Google Scholar]
- Guo, P.; Lin, X.; Liu, J.; Xu, J.; Li, J.; Zhang, Y.; Lu, X.; Qu, N.; Lan, H.; Huang, W. Passive behavior of nickel-based superalloys prepared by high-deposition-rate laser solid forming additive manufacturing. Corros. Sci. 2020, 177, 109036. [Google Scholar] [CrossRef]
- Chiumenti, M.; Cervera, M.; Salmi, A.; De Saracibar, C.A.; Dialami, N.; Matsui, K. Finite element modeling of multi-pass welding and shaped metal deposition processes. Comput. Methods Appl. Mech. Eng. 2010, 199, 2343–2359. [Google Scholar] [CrossRef]
- Cao, J.; Gharghouri, M.A.; Nash, P. Finite-element analysis and experimental validation of thermal residual stress and distortion in electron beam additive manufactured Ti-6Al-4V build plates. J. Mater. Process. Technol. 2016, 237, 409–419. [Google Scholar] [CrossRef]
- Lu, X.; Lin, X.; Chiumenti, M.; Cervera, M.; Hu, Y.; Ji, X.; Ma, L.; Yang, H.; Huang, W. Residual stress and distortion of rectangular and S-shaped Ti-6Al-4V parts by Directed Energy Deposition: Modelling and experimental calibration. Addit. Manuf. 2019, 26, 166–179. [Google Scholar] [CrossRef]
- Michael, G.; Michaleris, P. (Eds.) Thermo-Mechanical Modeling of Additive Manufacturing; Butterworth-Heinemann: Oxford, UK, 2017. [Google Scholar]
- Chiumenti, M.; Lin, X.; Cervera, M.; Lei, W.; Zheng, Y.; Huang, W. Numerical simulation and experimental calibration of additive manufacturing by blown powder technology. Part I: Thermal analysis. Rapid Prototyp. J. 2017, 23, 448–463. [Google Scholar] [CrossRef]
- Lindgren, L.-E.; Lundbäck, A.; Malmelöv, A. Thermal stresses and computational welding mechanics. J. Therm. Stress. 2019, 42, 107–121. [Google Scholar] [CrossRef]
- Denlinger, E.R.; Michaleris, P. Effect of stress relaxation on distortion in additive manufacturing process modeling. Addit. Manuf. 2016, 12, 51–59. [Google Scholar] [CrossRef]
- Chen, Z.; Ye, H.; Xu, H. Distortion control in a wire-fed electron-beam thin-walled Ti-6Al-4V freeform. J. Mater. Process. Technol. 2018, 258, 286–295. [Google Scholar] [CrossRef]
- Wang, Z.; Stoica, A.D.; Ma, D.; Beese, A.M. Stress relaxation behavior and mechanisms in Ti-6Al-4V determined via in situ neutron diffraction: Application to additive manufacturing. Mater. Sci. Eng. A 2017, 707, 585–592. [Google Scholar] [CrossRef]
- Setien, I.; Chiumenti, M.; Van Der Veen, S.; Sebastian, M.S.; Garciandía, F.; Echeverría, A. Empirical methodology to determine inherent strains in additive manufacturing. Comput. Math. Appl. 2019, 78, 2282–2295. [Google Scholar] [CrossRef]
- Lu, X.; Lin, X.; Chiumenti, M.; Cervera, M.; Hu, Y.; Ji, X.; Ma, L.; Huang, W. In situ Measurements and Thermo-mechanical Simulation of Ti-6Al-4V Laser Laser Directed energy deposition Processes. Int. J. Mech. Sci. 2019, 153, 119–130. [Google Scholar] [CrossRef]
- Levkulich, N.; Semiatin, S.; Gockel, J.; Middendorf, J.; Dewald, A.; Klingbeil, N. The effect of process parameters on residual stress evolution and distortion in the laser powder bed fusion of Ti-6Al-4V. Addit. Manuf. 2019, 28, 475–484. [Google Scholar] [CrossRef]
- Li, H.; Ramezani, M.; Chen, Z.; Singamneni, S. Effects of Process Parameters on Temperature and Stress Distributions During Selective Laser Melting of Ti-6Al-4V. Trans. Indian Inst. Met. 2019, 72, 3201–3214. [Google Scholar] [CrossRef]
- Wu, Q.; Mukherjee, T.; Liu, C.; Lu, J.; Debroy, T. Residual stresses and distortion in the patterned printing of titanium and nickel alloys. Addit. Manuf. 2019, 29, 100808. [Google Scholar] [CrossRef]
- Ramos, D.; Belblidia, F.; Sienz, J. New scanning strategy to reduce warpage in additive manufacturing. Addit. Manuf. 2019, 28, 554–564. [Google Scholar] [CrossRef]
- Cheng, B.; Shrestha, S.; Chou, K. Stress and deformation evaluations of scanning strategy effect in selective laser melting. Addit. Manuf. 2016, 12, 240–251. [Google Scholar] [CrossRef]
- Robinson, J.; Ashton, I.; Fox, P.; Jones, E.; Sutcliffe, C. Determination of the effect of scan strategy on residual stress in laser powder bed fusion additive manufacturing. Addit. Manuf. 2018, 23, 13–24. [Google Scholar] [CrossRef]
- Cervera, M.; de Saracibar, C.A.; Chiumenti, M. COMET: Coupled Mechanical and Thermal Analysis. Data Input Manual, Version 5.0, Technical Report IT-308. 2002. [Google Scholar]
- Chiumenti, M.; Cervera, M.; Dialami, N.; Wu, B.; Jinwei, L.; De Saracibar, C.A. Numerical modeling of the electron beam welding and its experimental validation. Finite Elem. Anal. Des. 2016, 121, 118–133. [Google Scholar] [CrossRef]
- Parry, L.; Ashcroft, I.A.; Wildman, R.D. Understanding the effect of laser scan strategy on residual stress in selective laser melting through thermo-mechanical simulation. Addit. Manuf. 2016, 12, 1–15. [Google Scholar] [CrossRef]
- Fallah, V.; Alimardani, M.; Corbin, S.F.; Khajepour, A. Temporal development of melt-pool morphology and clad geometry in laser powder deposition. Comput. Mater. Sci. 2011, 50, 2124–2134. [Google Scholar] [CrossRef]
- Wang, J.; Lin, X.; Li, J.; Hu, Y.; Zhou, Y.; Wang, C.; Li, Q.; Huang, W. Effects of deposition strategies on macro/microstructure and mechanical properties of wire and arc additive manufactured Ti 6Al 4V. Mater. Sci. Eng. A 2019, 754, 735–749. [Google Scholar] [CrossRef]
- Baykasoğlu, C.; Akyildiz, O.; Tunay, M.; To, A.C. A process-microstructure finite element simulation framework for predicting phase transformations and microhardness for directed energy deposition of Ti6Al4V. Addit. Manuf. 2020, 35, 101252. [Google Scholar] [CrossRef]
- Hönnige, J.; Colegrove, P.; Ahmad, B.; Fitzpatrick, M.; Ganguly, S.; Lee, T.; Williams, S. Residual stress and texture control in Ti-6Al-4V wire + arc additively manufactured intersections by stress relief and rolling. Mater. Des. 2018, 150, 193–205. [Google Scholar] [CrossRef]
- Xiong, J.; Li, R.; Lei, Y.; Chen, H. Heat propagation of circular thin-walled parts fabricated in additive manufacturing using gas metal arc welding. J. Mater. Process. Technol. 2018, 251, 12–19. [Google Scholar] [CrossRef]
- Denlinger, E.R.; Heigel, J.C.; Michaleris, P. Residual stress and distortion modeling of electron beam direct manufacturing Ti-6Al-4V. Proc. Inst. Mech. Eng. Part B J. Eng. Manuf. 2015, 229, 1803–1813. [Google Scholar] [CrossRef]
- Promoppatum, P.; Yao, S.-C. Influence of scanning length and energy input on residual stress reduction in metal additive manufacturing: Numerical and experimental studies. J. Manuf. Process. 2020, 49, 247–259. [Google Scholar] [CrossRef]

















| Case | 1 | 2 | 3 |
|---|---|---|---|
| Laser power P (W) | 1500 | 1000 | 1000 |
| Beam radius d (mm) | 4 | 4 | 4 |
| Scanning speed V (mm/s) | 10 | 10 | 10 |
| Back speed Vb (mm/s) | 10 | 10 | 10 |
| Up-lift height ΔZ (mm) | 0.45 | 0.40 | 0.25 |
| Feeding rate f (g/min) | 12.0 | 12.0 | 8.0 |
| Temperature (°C) | 20 | 205 | 500 | 995 | 1100 | 1200 | 1600 | 1650 | 2000 |
|---|---|---|---|---|---|---|---|---|---|
| Density (kg/m3) | 4420 | 4395 | 4350 | 4282 | 4267 | 4252 | 4198 | 3886 | 3818 |
| Thermal conductivity (W/(m·°C)) | 7 | 8.75 | 12.6 | 22.7 | 19.3 | 21 | 25.8 | 83.5 | 83.5 |
| Heat capacity (J/(kg·°C)) | 546 | 584 | 651 | 753 | 641 | 660 | 732 | 831 | 831 |
| Poisson’s ratio | 0.345 | 0.35 | 0.37 | 0.43 | 0.43 | 0.43 | 0.43 | 0.43 | 0.43 |
| Thermal expansion coefficient (μm/m/°C) | 8.78 | 10 | 11.2 | 12.3 | 12.4 | 12.42 | 12.5 | 12.5 | 12.5 |
| Young’s modulus (GPa) | 110 | 100 | 76 | 15 | 5 | 4 | 1 | 0.1 | 0.01 |
| Elastic limit (MPa) | 850 | 630 | 470 | 13 | 5 | 1 | 0.5 | 0.1 | 0.01 |
| Case 1 | Case 2 | Case 3 | |||||||||
|---|---|---|---|---|---|---|---|---|---|---|---|
| Ref. | Path A | Path B | Path C | Path D | Path E | Path F | Ref. | Path C | Ref. | Path C | |
| Warpage reduction | 21.9 | 34.2 | 22.4 | 36.4 | 28.9 | 18.4 | 16.7 | 16.8 | 25.8 | 17.8 | 32.5 |
Publisher’s Note: MDPI stays neutral with regard to jurisdictional claims in published maps and institutional affiliations. |
© 2020 by the authors. Licensee MDPI, Basel, Switzerland. This article is an open access article distributed under the terms and conditions of the Creative Commons Attribution (CC BY) license (http://creativecommons.org/licenses/by/4.0/).
Share and Cite
Lu, X.; Cervera, M.; Chiumenti, M.; Li, J.; Ji, X.; Zhang, G.; Lin, X. Modeling of the Effect of the Building Strategy on the Thermomechanical Response of Ti-6Al-4V Rectangular Parts Manufactured by Laser Directed Energy Deposition. Metals 2020, 10, 1643. https://doi.org/10.3390/met10121643
Lu X, Cervera M, Chiumenti M, Li J, Ji X, Zhang G, Lin X. Modeling of the Effect of the Building Strategy on the Thermomechanical Response of Ti-6Al-4V Rectangular Parts Manufactured by Laser Directed Energy Deposition. Metals. 2020; 10(12):1643. https://doi.org/10.3390/met10121643
Chicago/Turabian StyleLu, Xufei, Miguel Cervera, Michele Chiumenti, Junjie Li, Xianglin Ji, Guohao Zhang, and Xin Lin. 2020. "Modeling of the Effect of the Building Strategy on the Thermomechanical Response of Ti-6Al-4V Rectangular Parts Manufactured by Laser Directed Energy Deposition" Metals 10, no. 12: 1643. https://doi.org/10.3390/met10121643
APA StyleLu, X., Cervera, M., Chiumenti, M., Li, J., Ji, X., Zhang, G., & Lin, X. (2020). Modeling of the Effect of the Building Strategy on the Thermomechanical Response of Ti-6Al-4V Rectangular Parts Manufactured by Laser Directed Energy Deposition. Metals, 10(12), 1643. https://doi.org/10.3390/met10121643

