A Novel Approach for Comparison of Reception Performance in a Technique Test and Small-Sided Games
Abstract
1. Introduction
2. Materials and Methods
2.1. Participants
2.2. Design and Methodology
2.3. Methods for Testing Ball Reception
2.4. Reception in 4vs1 SSG
2.5. Reception in 5vs5 SSG
2.6. Statistical Analyses
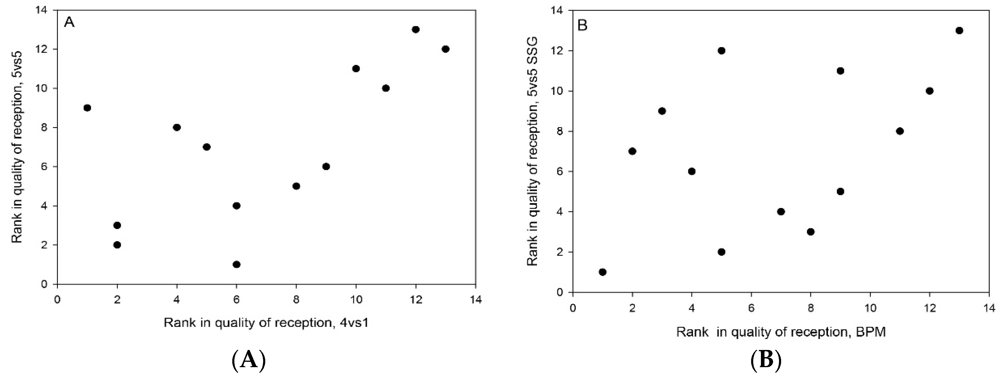
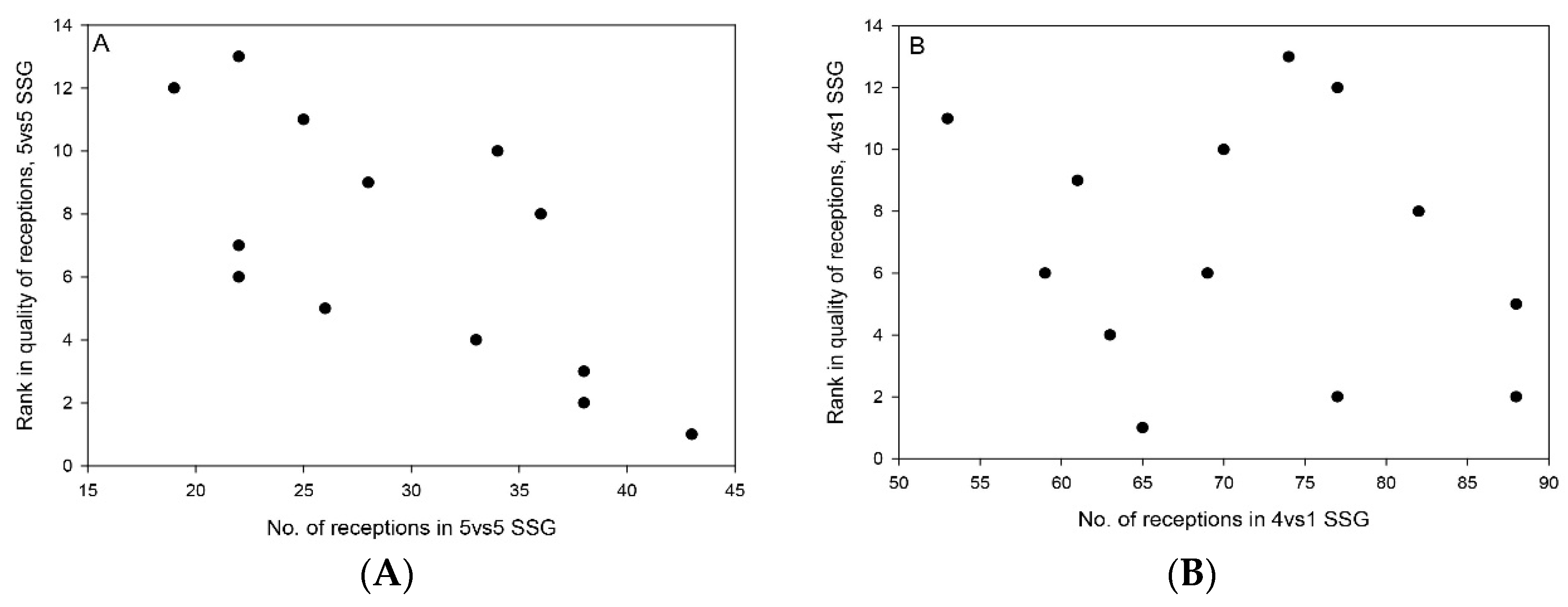
3. Results
4. Discussion
5. Conclusions
6. Practical Applications
Author Contributions
Funding
Institutional Review Board Statement
Informed Consent Statement
Data Availability Statement
Acknowledgments
Conflicts of Interest
References
- Stølen, T.; Chamari, K.; Castagna, C.; Wisløff, U. Physiology of soccer: An update. Sports Med. 2005, 35, 501–536. [Google Scholar] [CrossRef]
- Ali, A. Measuring soccer skill performance: A review. Scand. J. Med. Sci. Sports 2011, 21, 170–183. [Google Scholar] [CrossRef]
- Rampinini, E.; Impellizzeri, F.M.; Castagna, C.; Coutts, A.J.; Wisløff, U. Technical performance during soccer matches of the Italian Serie A league: Effect of fatigue and competitive level. J. Sci. Med. Sport 2009, 12, 227–233. [Google Scholar] [CrossRef] [PubMed]
- Aquino, R.; Puggina, E.; Alves, I.; Garganta, J. Skill-Related Performance in Soccer: A Systematic Review. Hum. Mov. 2017, 18, 3–24. [Google Scholar] [CrossRef]
- Davids, K.; Araújo, D.; Correia, V.; Vilar, L. How Small-Sided and Conditioned Games Enhance Acquisition of Movement and Decision-Making Skills. Exerc. Sport Sci. Rev. 2013, 41, 154–161. [Google Scholar] [CrossRef] [PubMed]
- Rosch, D.; Hodgson, R.; Peterson, L.; Graf-Baumann, T.; Junge, A.; Chomiak, J.; Dvorak, J. Assessment and Evaluation of Football Performance. Am. J. Sports Med. 2000, 28, 29–39. [Google Scholar] [CrossRef]
- Pedersen, A.V.; Lorås, H.; Norvang, O.P.; Asplund, J. Measuring soccer technique with easy-to-administer field task in female soccer players from four different comeptitive levels. Percept. Mot. Ski. 2014, 119, 961–970. [Google Scholar] [CrossRef] [PubMed]
- Rostgaard, T.; Iaia, F.M.; Simonsen, D.S.; Bangsbo, J. A test to evaluate the physical impact on technical performance in soccer. J. Strength Cond. Res. 2008, 22, 283–292. [Google Scholar] [CrossRef]
- Ali, A.; Williams, C.; Hulse, M.; Strudwick, A.; Reddin, J.; Howarth, L.; Eldred, J.; Hirst, M.; McGregor, S. Reliability and validity of two tests of soccer skill. J. Sports Sci. 2007, 25, 1461–1470. [Google Scholar] [CrossRef]
- Wen, D.; Robertson, S.; Hu, G.; Song, B.; Chen, H. Measurement properties and feasibility of the Loughborough soccer passing test: A systematic review. J. Sports Sci. 2018, 36, 1682–1694. [Google Scholar] [CrossRef]
- Serpiello, F.R.; Cox, A.; Oppici, L.; Hopkins, W.G.; Varley, M.C. The Loughborough Soccer Passing Test has impractical criterion validity in elite youth football. Sci. Med. Footb. 2017, 1, 60–64. [Google Scholar] [CrossRef]
- Rowat, O.; Fenner, J.; Unnithan, V. Technical and physical determinants of soccer match-play performance in elite youth soccer players. J. Sports Med. Phys. Fit. 2017, 57, 369–379. [Google Scholar] [CrossRef]
- Wilson, R.; Smith, N.; Bedo, B.; Aquino, R.; Moura, F.; Santiago, P. Technical skill not athleticism predicts an individual’s ability to maintain possession in small-sided soccer games. Sci. Med. Footb. 2020. [Google Scholar] [CrossRef]
- Wilson, R.; Smith, N.; Souza, N.; Moura, F. Dribbling speed predicts goal-scoring success in a soccer training game. Scand. J. Med. Sci. Sports 2020, 303–313. [Google Scholar] [CrossRef] [PubMed]
- Wilson, R.; Souza, A.; Santiago, P.; Ignacio, D.; Smith, N. Individual performance in passing tests predicts age-independent success in small-sided soccer possession games. Transl. Sports Med. 2020, 3, 353–363. [Google Scholar] [CrossRef]
- Wilson, R.S.; David, G.K.; Murphy, S.C.; Angilletta, M.J.; Niehaus, A.C.; Hunter, A.H.; Smith, M.D. Skill not athleticism predicts individual variation in match performance of soccer players. Proc. Biol. Sci. 2017, 284. [Google Scholar] [CrossRef]
- Wilson, R.S.; Smith, N.M.A.; Ramos, S.d.P.; Giuliano Caetano, F.; Aparecido Rinaldo, M.; Santiago, P.R.P.; Cunha, S.A.; Moura, F.A. Dribbling speed along curved paths predicts attacking performance in match-realistic one vs. one soccer games. J. Sports Sci. 2019, 37, 1072–1079. [Google Scholar] [CrossRef]
- Sarmento, H.; Marcelino, R.; Anguera, M.T.; CampaniÇo, J.; Matos, N.; LeitÃo, J.C. Match analysis in football: A systematic review. J. Sports Sci. 2014, 32, 1831–1843. [Google Scholar] [CrossRef]
- Liu, H.; Gómez, M.-A.; Gonçalves, B.; Sampaio, J. Technical performance and match-to-match variation in elite football teams. J. Sports Sci. 2016, 34, 509–518. [Google Scholar] [CrossRef]
- Rampinini, E.; Impellizzeri, F.M.; Castagna, C.; Azzalin, A.; Ferrari Bravo, D.; Wisløff, U. Effect of match-related fatigue on short-passing ability in young soccer players. Med. Sci. Sports Exerc. 2008, 40, 934–942. [Google Scholar] [CrossRef]
- Yi, Q.; Groom, R.; Dai, C.; Liu, H.; Gómez Ruano, M.Á. Differences in Technical Performance of Players From ‘The Big Five’ European Football Leagues in the UEFA Champions League. Front. Psychol. 2019, 10, 2738. [Google Scholar] [CrossRef] [PubMed]
- Thomas, C.; Fellingham, G.; Vehrs, P. Development of a Notational Analysis System for Selected Soccer Skills of a Women’s College Team. Meas. Phys. Educ. Exerc. Sci. 2009, 13, 108–121. [Google Scholar] [CrossRef]
- Fenner, J.S.J.; Iga, J.; Unnithan, V. The evaluation of small-sided games as a talent identification tool in highly trained prepubertal soccer players. J. Sports Sci. 2016, 34, 1983–1990. [Google Scholar] [CrossRef]
- Sarmento, H.; Clemente, F.M.; Harper, L.D.; Costa, I.T.D.; Owen, A.; Figueiredo, A.J. Small sided games in soccer—A systematic review. Int. J. Perform. Anal. Sport 2018, 18, 693–749. [Google Scholar] [CrossRef]
- Weigelt, C.; Williams, A.M.; Wingrove, T.; Scott, M.A. Transfer and motor skill learning in association football. Ergonomics 2000, 43, 1698–1707. [Google Scholar] [CrossRef]
- Hopkins, W.G.; Marshall, S.W.; Batterham, A.M.; Hanin, J. Progressive Statistics for Studies in Sports Medicine and Exercise Science. Med. Sci. Sports Exerc. 2009, 41, 3–12. [Google Scholar] [CrossRef] [PubMed]
- Cohen, J. Statistical Power Analysis for the Behavorial Sciences, 2nd ed.; Lawrence Erlbaum Associates: Hillsdale, NJ, USA, 1988. [Google Scholar]
- Bergkamp, T.L.G.; den Hartigh, R.J.R.; Frencken, W.G.P.; Niessen, A.S.M.; Meijer, R.R. The validity of small-sided games in predicting 11-vs.-11 soccer game performance. PLoS ONE 2020, 15, e023944. [Google Scholar] [CrossRef]
- Magill, R.A.; Anderson, D.I. Motor Learning and Control: Concepts and Applications, 11th ed.; McGraw-Hill: New York, NY, USA, 2017; pp. 298–317. [Google Scholar]




| Score | Criteria: Ball Reception, Technical Skill 19 km/t | Criteria: Ball Reception, Technical Skill 31 km/t | Criteria: Ball Reception, Technical and Tactical Skill, 4vs1 | Criteria: Ball Reception, Technical and Tactical Skill, 5vs5 |
|---|---|---|---|---|
| 1 | The player does not manage to stop the ball. | The player does not manage to stop the ball. | The player loses control of the ball from an easy pass of does not manage to stop the ball. | The player loses control of the ball from an easy pass of does not manage to stop the ball. |
| 2 | The player loses control over the ball, and the ball goes outside the area in front of or beside the player (1 × 1.5 m) before he manages to pass the ball | The player does not manage to control the ball inside the area, and the ball goes more than 2 m outside the area in front of or beside the player (1 × 1.5 m) before the pass is made | The player loses control of the ball from a difficult pass. | The player loses control of the ball from a difficult pass. |
| 3 | The player manages to control the ball in the area, but the ball is not controlled in the correct direction (left or right). | The player does not manage to control the ball in the area, and the ball goes less than 2 m outside the area before the pass is made | The player controls the ball, but the receiving makes it difficult to make a pass in the correct direction. | The player controls the ball, but the receiving makes it difficult to make a pass in correct direction. |
| 4 | The player manages to control the ball in the area, in the correct direction (left or right), but the ball is too close or too far from the player, resulting in difficulty in making the pass | The player manages to control the ball inside the area, but the ball is too close or too far from the player, resulting in difficulty in making the pass | The player controls the ball, and the receiving makes it easy to perform a pass in the correct direction. | The player controls the ball, and the receiving makes it easy to perform a pass in the correct direction. |
| 5 | The player manages to control the ball within the area, in the correct direction (left or right), and the receiving is perfect, so the pass is easy to perform. | The player manages to control the ball inside the area, and the receiving is perfect for executing the pass. | The player controls the ball in a perfect way, in a difficult situation, with high pressure from the defender. | The player controls the ball in a perfect way, passing an opponent, making progress in the soccer game or managing to control a difficult pass. |
| Rank BPM | Rank 4vs1 | Rank 5vs5 | |
|---|---|---|---|
| Rank BPM | 1.000 | 0.399 | 0.479 |
| Rank 4vs1 | 0.399 | 1.000 | 0.606 * |
| Rank 5vs5 | 0.479 # | 0.606 * | 1.000 |
Publisher’s Note: MDPI stays neutral with regard to jurisdictional claims in published maps and institutional affiliations. |
© 2021 by the authors. Licensee MDPI, Basel, Switzerland. This article is an open access article distributed under the terms and conditions of the Creative Commons Attribution (CC BY) license (https://creativecommons.org/licenses/by/4.0/).
Share and Cite
Sørensen, A.; Sørensen, V.; Dalen, T. A Novel Approach for Comparison of Reception Performance in a Technique Test and Small-Sided Games. Sports 2021, 9, 66. https://doi.org/10.3390/sports9050066
Sørensen A, Sørensen V, Dalen T. A Novel Approach for Comparison of Reception Performance in a Technique Test and Small-Sided Games. Sports. 2021; 9(5):66. https://doi.org/10.3390/sports9050066
Chicago/Turabian StyleSørensen, Arne, Vidar Sørensen, and Terje Dalen. 2021. "A Novel Approach for Comparison of Reception Performance in a Technique Test and Small-Sided Games" Sports 9, no. 5: 66. https://doi.org/10.3390/sports9050066
APA StyleSørensen, A., Sørensen, V., & Dalen, T. (2021). A Novel Approach for Comparison of Reception Performance in a Technique Test and Small-Sided Games. Sports, 9(5), 66. https://doi.org/10.3390/sports9050066

