Accentuated Eccentric Loading in the Bench Press: Considerations for Eccentric and Concentric Loading
Abstract
1. Introduction
2. Materials and Methods
2.1. Subjects
2.2. Study Design
2.3. One-Repetition Maximum (1-RM) Testing and Familiarization Session
2.4. Experimental Sessions
2.5. Statistical Analyses
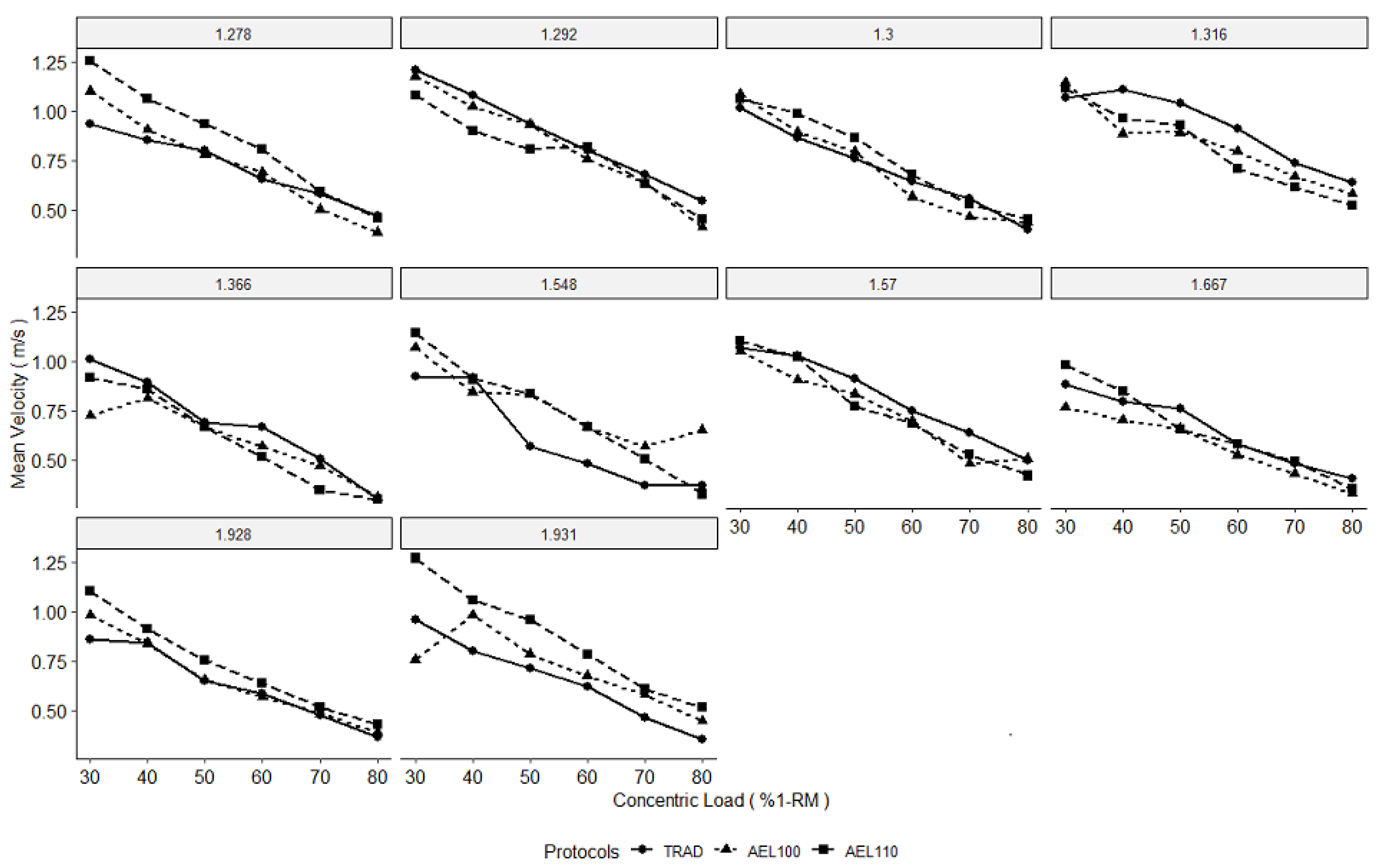
3. Results
4. Discussion
5. Conclusions
Author Contributions
Funding
Institutional Review Board Statement
Informed Consent Statement
Data Availability Statement
Conflicts of Interest
References
- Wagle, J.P.; Taber, C.B.; Cunanan, A.J.; Bingham, G.E.; Carroll, K.M.; DeWeese, B.H.; Sato, K.; Stone, M.H. Accentuated Eccentric Loading for Training and Performance: A Review. Sports Med. 2017, 47, 2473–2495. [Google Scholar] [CrossRef]
- Merrigan, J.J.; Tufano, J.J.; Jones, M.T. Potentiating Effects of Accentuated Eccentric Loading Are Dependent upon Relative Strength. J. Strength Cond. Res. 2021. in Press. [Google Scholar] [CrossRef]
- Merrigan, J.J.; Tufano, J.J.; Falzone, M.; Jones, M.T. Effectiveness of Accentuated Eccentric Loading: Contingent on Concentric Load. Int. J. Sports Physiol. Perform. 2020, 16, 66–72. [Google Scholar] [CrossRef]
- Ojasto, T.; Häkkinen, K. Effects of Different Accentuated Eccentric Load Levels in Eccentric-Concentric Actions on Acute Neuromuscular, Maximal Force, and Power Responses. J. Strength Cond. Res. 2009, 23, 996–1004. [Google Scholar] [CrossRef]
- Sheppard, J.M.; Young, K. Using Additional Eccentric Loads to Increase Concentric Performance in the Bench Throw. J. Strength Cond. Res. 2010, 24, 2853–2856. [Google Scholar] [CrossRef]
- Lates, A.D.; Greer, B.K.; Wagle, J.P.; Taber, C.B. Accentuated Eccentric Loading and Cluster Set Configurations in the Bench Press. J. Strength Cond. Res. 2020. [Google Scholar] [CrossRef] [PubMed]
- Castro, A.H.; Zangakis, D.; Moir, G.L. The Effects of Accentuated Eccentric Loading on Mechanical Variables and Agonist Electromyography during the Bench Press. Sports 2020, 8, 79. [Google Scholar] [CrossRef] [PubMed]
- Doan, B.K.; Newton, R.U.; Marsit, J.L.; TRIPLETT-McBRIDE, N.T.; Koziris, L.P.; Fry, A.C.; Kraemer, W.J. Effects of Increased Eccentric Loading On Bench Press 1RM. J. Strength Cond. Res. 2002, 16, 9. [Google Scholar] [CrossRef] [PubMed]
- Sarto, F.; Franchi, M.V.; Rigon, P.A.; Grigoletto, D.; Zoffoli, L.; Zanuso, S.; Narici, M.V. Muscle Activation during Leg‑press Exercise with or without Eccentric Overload. Eur. J. Appl. Physiol. 2020, 120, 1651–1656. [Google Scholar] [CrossRef] [PubMed]
- Suchomel, T.J.; Wagle, J.P.; Douglas, J.; Taber, C.B.; Harden, M.; Haff, G.G.; Stone, M.H. Implementing Eccentric Resistance Training—Part 2: Practical Recommendations. J. Funct. Morphol. Kinesiol. 2019, 4, 55. [Google Scholar] [CrossRef] [PubMed]
- Banyard, H.G.; Nosaka, K.; Sato, K.; Haff, G.G. Validity of Various Methods for Determining Velocity, Force, and Power in the Back Squat. Int. J. Sports Physiol. Perform. 2017, 12, 1170–1176. [Google Scholar] [CrossRef] [PubMed]
- Pinheiro, J.; Bates, D.; DebRoy, S.; Sarkar, D.; Team, R.C.; Pinheiro, J.; BATES, D.; Sakar, D.; Bates, D.; Deepayan, S. Nlme: Linear and Nonlinear Mixed Effects Models. R Package Version 2015, 3, 1–89. [Google Scholar]
- Harden, M.; Wolf, A.; Russell, M.; Hicks, K.M.; French, D.; Howatson, G. An Evaluation of Supramaximally Loaded Eccentric Leg Press Exercise. J. Strength Cond. Res. 2018, 32, 2708–2714. [Google Scholar] [CrossRef] [PubMed]


| Factors | Loads from 30–80% | Loads from 80–30% |
|---|---|---|
| (Intercept) | 0.267 (0.076) * | −0.249 (0.072) * |
| Displacement | 0.048 (0.005) * | 0.048 (0.005) * |
| Concentric Load | −0.103 (0.005) * | 0.103 (0.005) * |
| Protocol AEL100 | −0.002 (0.006) | 0.002 (0.006) |
| Protocol AEL110 | −0.025 (0.006) * | 0.025 (0.006) * |
| Protocol AEL100 | 0.181 (0.074) * | 0.169 (0.068) * |
| Protocol AEL100*Displacement | −0.014 (0.005) * | −0.014 (0.005) * |
| Protocol AEL110 | 0.183 (0.103) | 0.059 (0.097) |
| Protocol AEL110*Displacement | −0.010 (0.006) | −0.010 (0.006) |
Publisher’s Note: MDPI stays neutral with regard to jurisdictional claims in published maps and institutional affiliations. |
© 2021 by the authors. Licensee MDPI, Basel, Switzerland. This article is an open access article distributed under the terms and conditions of the Creative Commons Attribution (CC BY) license (https://creativecommons.org/licenses/by/4.0/).
Share and Cite
Taber, C.B.; Morris, J.R.; Wagle, J.P.; Merrigan, J.J. Accentuated Eccentric Loading in the Bench Press: Considerations for Eccentric and Concentric Loading. Sports 2021, 9, 54. https://doi.org/10.3390/sports9050054
Taber CB, Morris JR, Wagle JP, Merrigan JJ. Accentuated Eccentric Loading in the Bench Press: Considerations for Eccentric and Concentric Loading. Sports. 2021; 9(5):54. https://doi.org/10.3390/sports9050054
Chicago/Turabian StyleTaber, Christopher B., Jared R. Morris, John P. Wagle, and Justin J. Merrigan. 2021. "Accentuated Eccentric Loading in the Bench Press: Considerations for Eccentric and Concentric Loading" Sports 9, no. 5: 54. https://doi.org/10.3390/sports9050054
APA StyleTaber, C. B., Morris, J. R., Wagle, J. P., & Merrigan, J. J. (2021). Accentuated Eccentric Loading in the Bench Press: Considerations for Eccentric and Concentric Loading. Sports, 9(5), 54. https://doi.org/10.3390/sports9050054

