Off-Season Training Habits and BMI, Not Preseason Jump Measures, Are Associated with Time-Loss Injury in Female Collegiate Soccer Players
Abstract
1. Introduction
2. Methods
2.1. Participants
2.2. Testing Protocol
2.3. Injury Surveillance
2.4. Statistical Analysis
3. Results
4. Discussion
5. Conclusions
Author Contributions
Funding
Conflicts of Interest
References
- Roos, K.G.; Wasserman, E.B.; Dalton, S.L.; Gray, A.; Djoko, A.; Dompier, T.P.; Kerr, Z.Y. Epidemiology of 3823 injuries sustained in six seasons of National Collegiate Athletic Association men’s and women’s soccer (2009/2010-2014/2015). Br. J. Sports Med. 2017, 51, 1029–1034. [Google Scholar] [CrossRef] [PubMed]
- Powell, J.W.; Dompier, T.P. Analysis of injury rates and treatment patterns for time-loss and non-time-loss injuries among collegiate student-athletes. J. Athl. Train. 2004, 39, 56–70. [Google Scholar] [PubMed]
- Dick, R.; Putukian, M.; Agel, J.; Evans, T.A.; Marshall, S.W. Descriptive epidemiology of collegiate women’s soccer injuries: National Collegiate Athletic Association injury surveillance system, 1988–1989 through 2002–2003. J. Athl. Train. 2007, 42, 278–285. [Google Scholar] [PubMed]
- Manske, R.; Reiman, M. Functional performance testing for power and return to sports. Sports Health 2013, 5, 244–250. [Google Scholar] [CrossRef] [PubMed]
- Reiman, M.P.; Manske, R.C. Functional Testing in Human Performance; Human Kinetics: Champaign, IL, USA, 2009. [Google Scholar]
- Sueyoshi, T.; Nakahata, A.; Emoto, G.; Yuasa, T. Single-leg hop test performance and isokinetic knee strength after anterior cruciate ligament reconstruction in athletes. Orthop. J. Sports Med. 2017, 5, 2325967117739811. [Google Scholar] [CrossRef] [PubMed]
- Petschnig, R.; Baron, R.; Albrecht, M. The relationship between isokinetic quadriceps strength test and hop tests for distance and one-legged vertical jump test following anterior cruciate ligament reconstruction. J. Orthop. Sports Phys. Ther. 1998, 28, 23–31. [Google Scholar] [CrossRef] [PubMed]
- Brumitt, J.; Heiderscheit, B.C.; Manske, R.C.; Niemuth, P.E.; Rauh, M.J. Lower extremity functional tests and risk of injury in division iii collegiate athletes. Int. J. Sports Phys. Ther. 2013, 8, 216–227. [Google Scholar]
- Brumitt, J.; Heiderscheit, B.C.; Manske, R.C.; Niemuth, P.E.; Mattocks, A.; Rauh, M.J. Preseason functional test scores are associated with future sports injury in female collegiate athletes. J. Strength Cond. Res. 2018, 32, 1692–1701. [Google Scholar] [CrossRef]
- Brumitt, J.; Mattocks, A.; Loew, J.; Lentz, P. Preseason functional performance test measures are associated with injury in female college volleyball players. J. Sport Rehabil. 2019. [Google Scholar] [CrossRef]
- Brumitt, J.; Engilis, A.; Eubanks, A.; Mattocks, A.; Peet, J.; Bush, N. Risk factors associated with noncontact time-loss lower-quadrant injury in male collegiate soccer players. Sci. Med. Football 2017, 1, 96–101. [Google Scholar] [CrossRef]
- Amoako, A.O.; Nassim, A.; Keller, C. Body mass index as a predictor of injuries in athletics. Curr. Sports Med. Rep. 2017, 16, 256–262. [Google Scholar] [CrossRef] [PubMed]
- Sugimoto, D.; Howell, D.R.; Tocci, N.X.; Meehan, W.P., III. Risk factors associated with self-reported injury history in female youth soccer players. Phys. Sportsmed. 2018, 46, 312–318. [Google Scholar] [CrossRef] [PubMed]
- Nilstad, A.; Andersen, T.E.; Bahr, R.; Holme, I.; Steffen, K. Risk factors for lower extremity injuries in elite female soccer players. Am. J. Sports Med. 2014, 42, 940–948. [Google Scholar] [CrossRef] [PubMed]
- Tyler, T.F.; McHugh, M.P.; Mirabella, M.R.; Mullaney, M.J.; Nicholas, S.J. Risk factors for noncontact ankle sprains in high school football players: The role of previous ankle sprains and body mass index. Am. J. Sports Med. 2006, 34, 471–475. [Google Scholar] [CrossRef] [PubMed]
- Fousekis, K.; Tsepis, E.; Vagenas, G. Intrinsic risk factors of noncontact ankle sprains in soccer: A prospective study on 100 professional players. Am. J. Sports Med. 2012, 40, 1842–1850. [Google Scholar] [CrossRef]
- Davies, G.J.; Zillmer, D.A. Functional progression of a patient through a rehabilitation program. Orthop. Phys. Ther. Clin. Am. 2000, 9, 103–117. [Google Scholar]
- Brumitt, J.; Heiderscheit, B.C.; Manske, R.C.; Niemuth, P.E.; Rauh, M.J. Off-season training habits and preseason functional test measures of division iii collegiate athletes: A descriptive report. Int. J. Sports Phys. Ther. 2014, 9, 447–455. [Google Scholar]
- Rauh, M.J.; Koepsell, T.D.; Rivara, F.P.; Margherita, A.J.; Rice, S.G. Epidemiology of musculoskeletal injuries among high school cross-country runners. Am. J. Epidemiol. 2006, 163, 151–159. [Google Scholar] [CrossRef]
- Butler, R.J.; Lehr, M.E.; Fink, M.L.; Kiesel, K.B.; Plisky, P.J. Dynamic balance performance and noncontact lower extremity injury in college football players: An initial study. Sports Health 2013, 5, 417–422. [Google Scholar] [CrossRef]
- Wright, A.A.; Dischiavi, S.L.; Smoliga, J.M.; Taylor, J.B.; Hegedus, E.J. Association of lower quarter y-balance test with lower extremity injury in ncaa division 1 athletes: An independent validation study. Physiotherapy 2017, 103, 231–236. [Google Scholar] [CrossRef]
- Brumitt, J.; Wilson, V.; Ellis, N.; Petersen, J.; Zita, C.J.; Reyes, J. Preseason lower extremity functional test scores are not associated with lower quadrant injury—A validation study with normative data on 395 division iii athletes. Int. J. Sports Phys. Ther. 2018, 13, 410–421. [Google Scholar] [CrossRef] [PubMed]
- Dorrel, B.S.; Long, T.; Shaffer, S.; Myer, G.D. Evaluation of the functional movement screen as an injury prediction tool among active adult populations: A systematic review and meta-analysis. Sports Health 2015, 7, 532–537. [Google Scholar] [CrossRef] [PubMed]
- Kiesel, K.; Plisky, P.J.; Voight, M.L. Can serious injury in professional football be predicted by a preseason functional movement screen? N. Am. J. Sports Phys. Ther. 2007, 2, 147–158. [Google Scholar] [PubMed]
- Lai, W.C.; Wang, D.; Chen, J.B.; Vail, J.; Rugg, C.M.; Hame, S.L. Lower quarter y-balance test scores and lower extremity injury in NCAA division i athletes. Orthop. J. Sports Med. 2017, 5, 2325967117723666. [Google Scholar] [CrossRef]
- Moran, R.W.; Schneiders, A.G.; Mason, J.; Sullivan, S.J. Do functional movement screen (fms) composite scores predict subsequent injury? A systematic review with meta-analysis. Br. J. Sports Med. 2017, 51, 1661–1669. [Google Scholar] [CrossRef]



| Training Category | Totals (n = 119) | Athletes not Injured during Season (n = 83) | Athletes Injured during Season (n = 36) | p-Value |
|---|---|---|---|---|
| Age (years) | 19.2 (1.2) | 19.1 (1.2) | 19.4 (1.4) | 0.193 |
| Height (m) | 1.65 (0.06) | 1.65 (0.06) | 1.65 (0.08) | 0.929 |
| Weight (kg) | 62.6 (8.6) | 62.2 (8.6) | 63.6 (8.6) | 0.405 |
| BMI (kg/m2) | 22.9 (2.6) | 22.7 (2.7) | 23.3 (2.4) | 0.291 |
| Off-Season Training Categories (h/w) | ||||
| Weightlifting (h/w) | 3.1 (2.3) | 3.4 (2.4) | 2.4 (2.1) | 0.047 |
| Cardiovascular Exercise (h/w) | 6.6 (3.3) | 6.9 (3.4) | 5.8 (2.6) | 0.085 |
| Plyometric Exercise (h/w) | 2.9 (2.3) | 3.2 (2.3) | 2.1 (2.1) | 0.015 |
| Scrimmage (h/w) | 3.2 (2.4) | 3.2 (2.4) | 3.1 (2.5) | 0.777 |
| Total Training Hours per Week | 15.7 (7.9) | 16.7 (8.0) | 13.4 (7.2) | 0.037 |
| Functional Performance Tests (normalized to height) | ||||
| Standing Long Jump | 0.80 (0.09) | 0.81 (0.08) | 0.80 (0.09) | 0.756 |
| (R) Single-Leg Hop | 0.72 (0.09) | 0.72 (0.08) | 0.70 (0.10) | 0.204 |
| (L) Single-Leg Hop | 0.71 (0.11) | 0.71 (0.11) | 0.70 (0.09) | 0.371 |
| Categories | Number per Category | All LQ Injuries N (%) | Relative Risk (95% CI) | Thigh/Knee Injuries (%) | Relative Risk (95% CI) |
|---|---|---|---|---|---|
| Standing Long Jump | |||||
| 80% or more | 61 | 20 (33) | 1.0 (Reference) | 12 (18) | 1.0 (Reference) |
| 79% or less | 58 | 16 (28) | 0.8 (0.5, 1.5) | 8 (14) | 0.7 (0.3, 1.6) |
| (R) Single-Leg Hop | |||||
| 70% or more | 72 | 18 (25) | 1.0 (Reference) | 10 (14) | 1.0 (Reference) |
| 69% or less | 47 | 18 (38) | 1.5 (0.9, 2.6) | 10 (19) | 1.5 (0.7, 3.4) |
| (L) Single-Leg Hop | |||||
| 70% or more | 62 | 16 (29) | 1.0 (Reference) | 10 (16) | 1.0 (Reference) |
| 69% or less | 57 | 20 (35) | 1.4 (0.8, 2.4) | 10 (17) | 1.1 (0.5, 2.4) |
| Performance on SLJ and (B) SLH | |||||
| All 3 FPT below Mean Scores † | 36 | 14 (39) | 1.5 (0.9, 2.5) | 7 (19) | 1.2 (0.5, 2.9) |
| All Other Athletes | 83 | 22 (29) | 1.0 (Reference) | 13 (14) | 1.0 (Reference) |
| Limb Asymmetry between SLH | |||||
| >10 percent | 24 | 6 (25) | 0.8 (0.4, 1.7) | 2 (8) | 0.4 (0.1, 1.8) |
| 10 percent or less | 95 | 30 (32) | 1.0 (Reference) | 18 (19) | 1.0 (Reference) |
| Performance on SLJ, (B) SLH, and SLH limb asymmetry | |||||
| All 3 FPT below Mean Scores † and >10% asymmetry | 5 | 1 (20) | 0.7 (0.1, 3.8) | 0 (0) | Not calculated * |
| All Other Athletes | 114 | 35 (31) | 1.0 (Reference) | 20 (18) | 1.0 (Reference) |
| Categories | (N) At Risk | All LQ Injuries (%) | Relative Risk (95% CI) | Sensitivity (Sn) & Specificity (Sp) †† (95% CI) | Thigh/Knee Injuries (%) | Relative Risk (95% CI) | Sensitivity (Sn) & Specificity (Sp) †† (95% CI) |
|---|---|---|---|---|---|---|---|
| Body Mass Index (kg/m2) | |||||||
| BMI ≤ 21.5 | 39 | 7 (18) | 1.0 (Reference) | Sn 80.6 (64.0, 91.2) | 4 (10) | 1.0 (Reference) | |
| BMI > 21.5 | 80 | 29 (36) | 2.0 (1.0, 4.2)a | Sp 38.6 (28.1, 49.9) | 16 (20) | 2.0 (0.7, 5.4) | |
| Weightlifting (hr/wk) | |||||||
| 4 hr or more per week | 30 | 9 (20) | 1.0 (Reference) | 6 (13) | 1.0 (Reference) | ||
| <4 hr per week | 89 | 27 (37) | 1.8 (0.9, 3.5) | 14 (19) | 1.4 (0.6, 3.4) | ||
| Cardiovascular Exercise | |||||||
| 5 hr or more per week | 36 | 15 (24) | 1.0 (Reference) | 11 (19) | 1.0 (Reference) | ||
| <5 hr per week | 83 | 21 (50) | 1.3 (0.8, 2.2) | 9 (15) | 0.8 (0.3, 1.7) | ||
| Plyometric Exercise | |||||||
| 3 hr or more per week | 51 | 9 (18) | 1.0 (Reference) | Sn 75.0 (57.8, 87.9) | 6 (12) | 1.0 (Reference) | |
| <3 hr per week | 68 | 27 (40) | 2.3 (1.2, 4.4)b | Sp 50.6 (39.4, 61.8) | 14 (21) | 1.8 (0.7, 4.2) | |
| Scrimmaging | |||||||
| 3.2 hr or more per week | 49 | 14 (29) | 1.0 (Reference) | 9 (18) | 1.0 (Reference) | ||
| <3.2 hr per week | 70 | 22 (31) | 1.1 (0.6, 1.9) | 11 (16) | 0.9 (0.4, 1.9) | ||
| Total Time Training per Week | |||||||
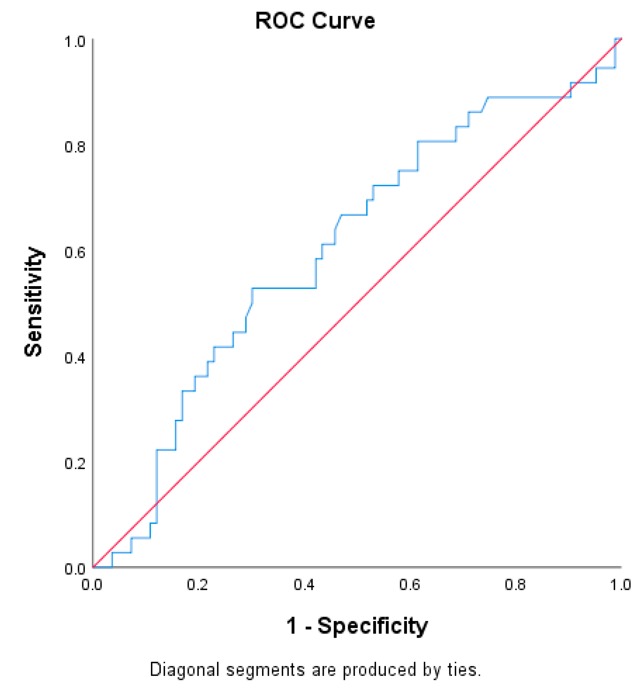
| 14.75 hr or more per week | 60 | 10 (17) | 1.0 (Reference) | Sn 72.2 (54.8, 85.8) | 6 (10) | 1.0 (Reference) | Sn 70.0 (45.7, 88.1) |
| <14.75 hr per week | 59 | 26 (47) | 2.6 (1.4, 5.0)c | Sp 60.2 (48.9, 70.8) | 14 (24) | 2.4 (1.0, 5.8)d | Sp 54.6 (44.2, 64.6) |
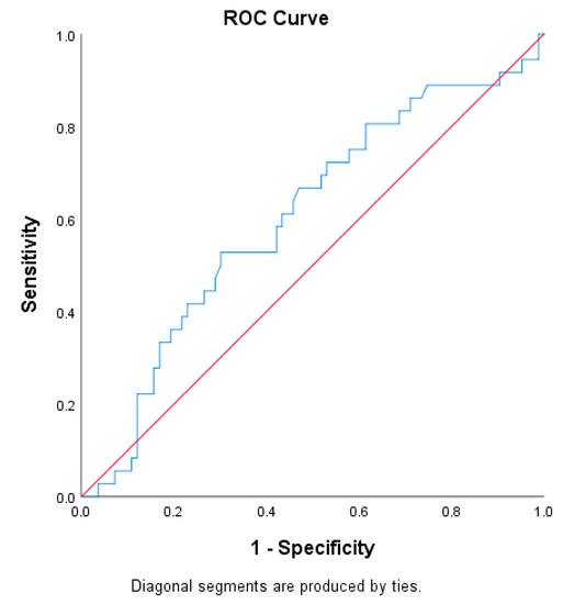
| High BMI and Low Total Training Time per Week | |||||||
| BMI > 21.5 & <14.75 hr/wk | 47 | 24 (51) | 3.1 (1.7, 5.5)e | Sn 66.7 (49.0, 81.4) | 13 (28) | 2.8 (1.2, 6.6)f | Sn 65.0 (40.8, 84.6) |
| All Other Athletes | 72 | 12 (17) | 1.0 (Reference) | Sp 72.3 (61.4, 81.6) | 7 (10) | 1.0 (Reference) | Sp 67.0 (57.0, 75.9) |
| FPT Performance and Total Time Training | |||||||
| Suboptimal performance on 3 FPT & < 14.75 hr per week training | 12 | 8 (47) | 1.7 (0.9, 3.1) | 3 (18) | 1.1 (0.3, 3.2) | ||
| All Other Athletes | 107 | 28 (29) | 1.0 (Reference) | 17 (17) | 1.0 (Reference) | ||
| High BMI, Low Total Training Time per Week, and Suboptimal FPT Performance | |||||||
| Suboptimal FPT Performance, BMI > 21.5, Total Training Time per Week < 14.75 hr/week | 12 | 7 (58) | 2.2 (1.2, 3.8)g | Sn 19.4 (8.2, 36.0) | 3 (25) | 1.6 (0.5, 4.6) | |
| All Other Athletes | 107 | 29 (27) | 1.0 (Reference) | Sp 86.7 (77.9, 92.9) | 17 (16) | 1.0 (Reference) |
© 2020 by the authors. Licensee MDPI, Basel, Switzerland. This article is an open access article distributed under the terms and conditions of the Creative Commons Attribution (CC BY) license (http://creativecommons.org/licenses/by/4.0/).
Share and Cite
Brumitt, J.; Mattocks, A.; Engilis, A.; Sikkema, J.; Loew, J. Off-Season Training Habits and BMI, Not Preseason Jump Measures, Are Associated with Time-Loss Injury in Female Collegiate Soccer Players. Sports 2020, 8, 36. https://doi.org/10.3390/sports8030036
Brumitt J, Mattocks A, Engilis A, Sikkema J, Loew J. Off-Season Training Habits and BMI, Not Preseason Jump Measures, Are Associated with Time-Loss Injury in Female Collegiate Soccer Players. Sports. 2020; 8(3):36. https://doi.org/10.3390/sports8030036
Chicago/Turabian StyleBrumitt, Jason, Alma Mattocks, Amy Engilis, Jill Sikkema, and Jeremy Loew. 2020. "Off-Season Training Habits and BMI, Not Preseason Jump Measures, Are Associated with Time-Loss Injury in Female Collegiate Soccer Players" Sports 8, no. 3: 36. https://doi.org/10.3390/sports8030036
APA StyleBrumitt, J., Mattocks, A., Engilis, A., Sikkema, J., & Loew, J. (2020). Off-Season Training Habits and BMI, Not Preseason Jump Measures, Are Associated with Time-Loss Injury in Female Collegiate Soccer Players. Sports, 8(3), 36. https://doi.org/10.3390/sports8030036

