Effects of Sprint Interval Training at Different Altitudes on Cycling Performance at Sea-Level
Abstract
1. Introduction
2. Materials and Methods
2.1. Participants
2.2. Experimental Protocol
2.3. Training Sessions
2.4. Blood Analyses
2.5. Hemoglobin Mass Measurement
2.6. Incremental Exercise Test
2.7. Wingate Test
2.8. 600 kJ Time Trial (TT)
2.9. Statistics
3. Results
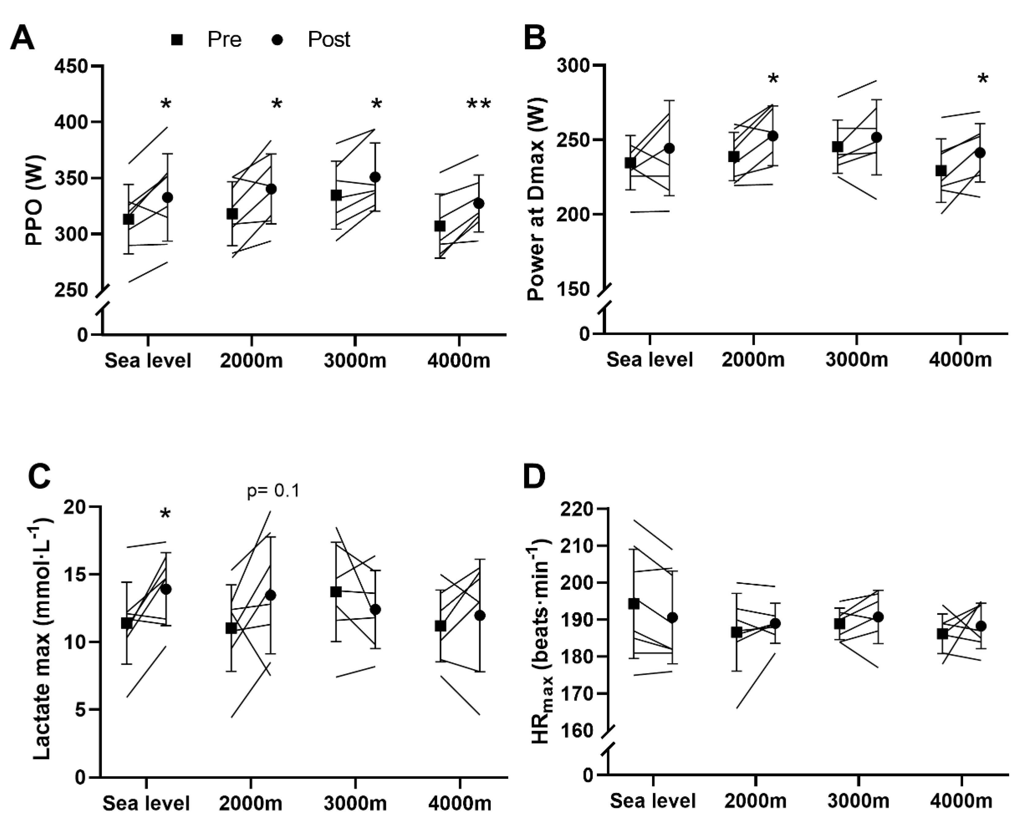
3.1. Incremental Exercise Test
3.2. Wingate Test
3.3. Time Trial Performance
3.4. Haematological Parameters
4. Discussion
4.1. Aerobic Fitness
4.2. Lactate-Related Adaptations
4.3. Anaerobic Component
4.4. Haematological Parameters
4.5. Limitations
4.6. Practical Applications
5. Conclusions
Author Contributions
Funding
Acknowledgments
Conflicts of Interest
References
- Millet, G.P.; Roels, B.; Schmitt, L.; Woorons, X.; Richalet, J.P. Combining Hypoxic Methods for Peak Performance. Sports Med. 2010, 40, 1–25. [Google Scholar] [CrossRef] [PubMed]
- Dufour, P.S.; Ponsot, E.; Zoll, J.; Doutreleau, S.; Lonsdorfer-Wolf, E.; Geny, B.; Lampert, E.; Fluck, M.; Hoppeler, H.; Billat, V.; et al. Exercise Training in Normobaric Hypoxia in Endurance Runners. I. Improvement in Aerobic Performance Capacity. J. Appl. Physiol. 2006, 100, 1238–1248. [Google Scholar] [CrossRef] [PubMed]
- Meeuwsen, T.; Hendriksen, I.J.M.; Holewijn, M. Training-induced increases in sea-level performance are enhanced by acute intermittent hypobaric hypoxia. Graefe’s Arch. Clin. Exp. Ophthalmol. 2001, 84, 283–290. [Google Scholar] [CrossRef] [PubMed]
- Barnett, C.; Carey, M.; Proietto, J.; Cerin, E.; Febbraio, M.; Jenkins, D.G. Muscle metabolism during sprint exercise in man: Influence of sprint training. J. Sci. Med. Sport 2004, 7, 314–322. [Google Scholar] [CrossRef]
- MacDougall, J.D.; Hicks, A.L.; Macdonald, J.R.; McKelvie, R.S.; Green, H.J.; Smith, K.M. Muscle performance and enzymatic adaptations to sprint interval training. J. Appl. Physiol. 1998, 84, 2138–2142. [Google Scholar] [CrossRef]
- Burgomaster, K.A.; Heigenhauser, G.J.F.; Gibala, M.J. Effect of short-term sprint interval training on human skeletal muscle carbohydrate metabolism during exercise and time-trial performance. J. Appl. Physiol. 2006, 100, 2041–2047. [Google Scholar] [CrossRef]
- Burgomaster, K.A.; Howarth, K.R.; Phillips, S.M.; Rakobowchuck, M.; Macdonald, M.J.; McGee, S.L.; Gibala, M.J. Similar metabolic adaptations during exercise after low volume sprint interval and traditional endurance training in humans. J. Physiol. 2008, 586, 151–160. [Google Scholar] [CrossRef]
- Gibala, J.M.; Little, J.P.; van Essen, M.; Wilkin, G.P.; Burgomaster, K.A.; Safdar, A.; Raha, S.; Tarnopolsky, M.A. Short-Term Sprint Interval Versus Traditional Endurance Training: Similar Initial Adaptations in Human Skeletal Muscle and Exercise Performance. J. Physiol. 2006, 575, 901–911. [Google Scholar] [CrossRef]
- Brocherie, F.; Girard, O.; Faiss, R.; Millet, G.P. Effects of Repeated-Sprint Training in Hypoxia on Sea-Level Performance: A Meta-Analysis. Sports Med. 2017, 47, 1651–1660. [Google Scholar] [CrossRef]
- Buchheit, M.; Laursen, P.B. High-Intensity Interval Training, Solutions to the Programming Puzzle: Part I: Cardiopulmonary Emphasis. Sports Med. 2013, 43, 313–338. [Google Scholar] [CrossRef]
- Faiss, R.; Girard, O.; Millet, G.P. Advancing hypoxic training in team sports: From intermittent hypoxic training to repeated sprint training in hypoxia: Table 1. Br. J. Sports Med. 2013, 47, i45–i50. [Google Scholar] [CrossRef] [PubMed]
- Puype, J.; Van Proeyen, K.; Raymackers, J.M.; Deldicque, L.; Hespel, P. Sprint Interval Training in Hypoxia Stimulates Glycolytic Enzyme Activity. Med. Sci. Sports Exerc. 2013, 45, 2166–2174. [Google Scholar] [CrossRef] [PubMed]
- Richardson, A.; Relf, R.L.; Saunders, A.; Gibson, O.R. Similar Inflammatory Responses following Sprint Interval Training Performed in Hypoxia and Normoxia. Front. Physiol. 2016, 7, 332. [Google Scholar] [CrossRef] [PubMed]
- Hinton, P.S. Iron and the endurance athlete. Appl. Physiol. Nutr. Metab. 2014, 39, 1012–1018. [Google Scholar] [CrossRef]
- Michalczyk, M.M.; Czuba, M.; Zydek, G.; Zajac, A.; Langfort, J. Dietary Recommendations for Cyclists during Altitude Training. Nutrients 2016, 8, 377. [Google Scholar] [CrossRef]
- Płoszczyca, K.; Langfort, J.; Czuba, M. The Effects of Altitude Training on Erythropoietic Response and Hematological Variables in Adult Athletes: A Narrative Review. Front. Physiol. 2018, 9, 375. [Google Scholar] [CrossRef]
- Girard, O.; Brocherie, F.; Millet, G.P. Effects of Altitude/Hypoxia on Single- and Multiple-Sprint Performance: A Comprehensive Review. Sports Med. 2017, 47, 1931–1949. [Google Scholar] [CrossRef]
- De Smet, S.; Van Thienen, R.; Deldicque, L.; James, R.; Sale, C.; Bishop, D.; Hespel, P. Nitrate Intake Promotes Shift in Muscle Fiber Type Composition during Sprint Interval Training in Hypoxia. Front. Physiol. 2016, 7, 233. [Google Scholar] [CrossRef]
- Richardson, A.J.; Gibson, O.R. Simulated hypoxia does not further improve aerobic capacity during sprint interval training. J. Sports Med. Phys. Fit. 2014, 55, 1099–1106. [Google Scholar]
- Wang, X.-F.; Ji, X. Sample Size Estimation in Clinical Research. Chest 2020, 158, S12–S20. [Google Scholar] [CrossRef]
- Burge, C.M.; Skinner, S.L. Determination of hemoglobin mass and blood volume with CO: Evaluation and application of a method. J. Appl. Physiol. 1995, 79, 623–631. [Google Scholar] [CrossRef] [PubMed]
- Steiner, T.; Wehrlin, J.P. Does Hemoglobin Mass Increase from Age 16 to 21 and 28 in Elite Endurance Athletes? Med. Sci. Sports Exerc. 2011, 43, 1735–1743. [Google Scholar] [CrossRef] [PubMed]
- Schmidt, W.F.J.; Prommer, N. The optimised CO-rebreathing method: A new tool to determine total haemoglobin mass routinely. Graefe’s Arch. Clin. Exp. Ophthalmol. 2005, 95, 486–495. [Google Scholar] [CrossRef]
- Meurrens, J.; Steiner, T.; Ponette, J.; Janssen, H.A.; Ramaekers, M.; Wehrlin, J.P.; Vandekerckhove, P.; Deldicque, L. Effect of Repeated Whole Blood Donations on Aerobic Capacity and Hemoglobin Mass in Moderately Trained Male Subjects: A Randomized Controlled Trial. Sports Med. Open 2016, 2, 1–12. [Google Scholar] [CrossRef] [PubMed]
- Naef, N.; Steiner, T.; Wehrlin, J.P. Replicate Measurements of Haemoglobin Mass during a Single Day are Feasible and Precise. Int. J. Sports Med. 2015, 36, e19–e23. [Google Scholar] [CrossRef]
- Cheng, B.; Kuipers, H.; Snyder, A.; Keizer, H.; Jeukendrup, A.; Hesselink, M. A New Approach for the Determination of Ventilatory and Lactate Thresholds. Int. J. Sports Med. 1992, 13, 518–522. [Google Scholar] [CrossRef]
- Cohen, J. Statistical Power Analysis for the Behavioral Sciences; Routledge: New York, NY, USA, 1988. [Google Scholar]
- Lakens, D. Calculating and reporting effect sizes to facilitate cumulative science: A practical primer for t-tests and ANOVAs. Front. Psychol. 2013, 4, 863. [Google Scholar] [CrossRef]
- Sawilowsky, S.S. New Effect Size Rules of Thumb. J. Mod. Appl. Stat. Methods 2009, 8, 597–599. [Google Scholar] [CrossRef]
- Medbo, J.I.; Tabata, I. Relative importance of aerobic and anaerobic energy release during short-lasting exhausting bicycle exercise. J. Appl. Physiol. 1989, 67, 1881–1886. [Google Scholar] [CrossRef]
- Smith, J.C.; Hill, D.W. Contribution of energy systems during a Wingate power test. Br. J. Sports Med. 1991, 25, 196–199. [Google Scholar] [CrossRef]
- Jamnick, A.N.; Botella, J.; Pyne, D.B.; Bishop, D.J. Manipulating Graded Exercise Test Variables Affects the Validity of the Lactate Threshold and [Formula: See Text]. PLoS ONE 2018, 13, e0199794. [Google Scholar] [CrossRef] [PubMed]
- Faiss, R.; Léger, B.; Vesin, J.-M.; Fournier, P.-E.; Eggel, Y.; Dériaz, O.; Millet, G.P. Significant Molecular and Systemic Adaptations after Repeated Sprint Training in Hypoxia. PLoS ONE 2013, 8, e56522. [Google Scholar] [CrossRef] [PubMed]
- Kasai, N.; Kojima, C.; Sumi, D.; Takahashi, H.; Goto, K.; Suzuki, Y. Impact of 5 Days of Sprint Training in Hypoxia on Performance and Muscle Energy Substances. Int. J. Sports Med. 2017, 38, 983–991. [Google Scholar] [CrossRef] [PubMed]
- Takei, N.; Kakinoki, K.; Girard, O.; Hatta, H. Short-Term Repeated Wingate Training in Hypoxia and Normoxia in Sprinters. Front. Sports Act. Living 2020, 2, 2. [Google Scholar] [CrossRef]
- Kasai, N.; Mizuno, S.; Ishimoto, S.; Sakamoto, E.; Maruta, M.; Goto, K. Effect of training in hypoxia on repeated sprint performance in female athletes. SpringerPlus 2015, 4, 310. [Google Scholar] [CrossRef]
- Gnimassou, O.; Fernández-Verdejo, R.; Brook, M.; Naslain, D.; Balan, E.; Sayda, M.; Cegielski, J.; Nielens, H.; Decottignies, A.; Demoulin, J.; et al. Environmental hypoxia favors myoblast differentiation and fast phenotype but blunts activation of protein synthesis after resistance exercise in human skeletal muscle. FASEB J. 2018, 32, 5272–5284. [Google Scholar] [CrossRef]
- Wilkinson, J.G.; Martin, D.T.; Adams, A.A.; Liebman, M. Iron Status in Cyclists During High-Intensity Interval Training and Recovery. Int. J. Sports Med. 2002, 23, 544–548. [Google Scholar] [CrossRef]
- Botek, M.; Krejci, J.; De Smet, S.; Gába, A.; McKune, A.J. Heart rate variability and arterial oxygen saturation response during extreme normobaric hypoxia. Auton. Neurosci. 2015, 190, 40–45. [Google Scholar] [CrossRef]
- Friedmann, B.; Frese, F.; Menold, E.; Kauper, F.; Jost, J.; Bärtsch, P. Individual variation in the erythropoietic response to altitude training in elite junior swimmers. Br. J. Sports Med. 2005, 39, 148–153. [Google Scholar] [CrossRef]
- Gurd, B.J.; Giles, M.D.; Bonafiglia, J.T.; Raleigh, J.P.; Boyd, J.C.; Ma, J.K.; Zelt, J.G.; Scribbans, T.D. Incidence of nonresponse and individual patterns of response following sprint interval training. Appl. Physiol. Nutr. Metab. 2016, 41, 229–234. [Google Scholar] [CrossRef]
- Hautala, A.J.; Kiviniemi, A.M.; Mäkikallio, T.H.; Kinnunen, H.; Nissilä, S.; Huikuri, H.V.; Tulppo, M.P. Individual differences in the responses to endurance and resistance training. Graefes Arch. Clin. Exp. Ophthalmol. 2006, 96, 535–542. [Google Scholar] [CrossRef] [PubMed]
- Faria, E.W.; Parker, D.L.; Faria, I.E. The Science of Cycling. Sports Med. 2005, 35, 285–312. [Google Scholar] [CrossRef] [PubMed]
- Jeukendrup, A.E.; Craig, N.P.; Hawley, J.A. The bioenergetics of world class cycling. J. Sci. Med. Sport 2000, 3, 414–433. [Google Scholar] [CrossRef]




| Sea-Level (n = 8) | 2000 m (n = 8) | 3000 m (n = 7) | 4000 m (n = 7) | |
|---|---|---|---|---|
| Age (year) | 26.0 ± 4.4 | 25.4 ± 4.6 | 25.4 ± 4.2 | 25.1 ± 4.5 |
| Weight (kg) | 67.0 ± 4.1 | 71.2 ± 7.6 | 72.4 ± 9.9 | 72.6 ± 12.4 |
| Basal PPO (W) | 313 ± 31 | 318 ± 29 | 335 ± 31 | 307 ± 29 |
Publisher’s Note: MDPI stays neutral with regard to jurisdictional claims in published maps and institutional affiliations. |
© 2020 by the authors. Licensee MDPI, Basel, Switzerland. This article is an open access article distributed under the terms and conditions of the Creative Commons Attribution (CC BY) license (http://creativecommons.org/licenses/by/4.0/).
Share and Cite
Warnier, G.; Benoit, N.; Naslain, D.; Lambrecht, S.; Francaux, M.; Deldicque, L. Effects of Sprint Interval Training at Different Altitudes on Cycling Performance at Sea-Level. Sports 2020, 8, 148. https://doi.org/10.3390/sports8110148
Warnier G, Benoit N, Naslain D, Lambrecht S, Francaux M, Deldicque L. Effects of Sprint Interval Training at Different Altitudes on Cycling Performance at Sea-Level. Sports. 2020; 8(11):148. https://doi.org/10.3390/sports8110148
Chicago/Turabian StyleWarnier, Geoffrey, Nicolas Benoit, Damien Naslain, Sophie Lambrecht, Marc Francaux, and Louise Deldicque. 2020. "Effects of Sprint Interval Training at Different Altitudes on Cycling Performance at Sea-Level" Sports 8, no. 11: 148. https://doi.org/10.3390/sports8110148
APA StyleWarnier, G., Benoit, N., Naslain, D., Lambrecht, S., Francaux, M., & Deldicque, L. (2020). Effects of Sprint Interval Training at Different Altitudes on Cycling Performance at Sea-Level. Sports, 8(11), 148. https://doi.org/10.3390/sports8110148

