Effects of Short-Term Dynamic Constant External Resistance Training and Subsequent Detraining on Strength of the Trained and Untrained Limbs: A Randomized Trial
Abstract
:1. Introduction
2. Method
2.1. Subjects
2.2. Research Design
2.3. Dynamic Constant External Resistance Assessments
2.4. Dynamic Constant External Resistance Training Protocol
2.5. Rating of Perceived Exertion
2.6. Statistical Analyses
3. Results
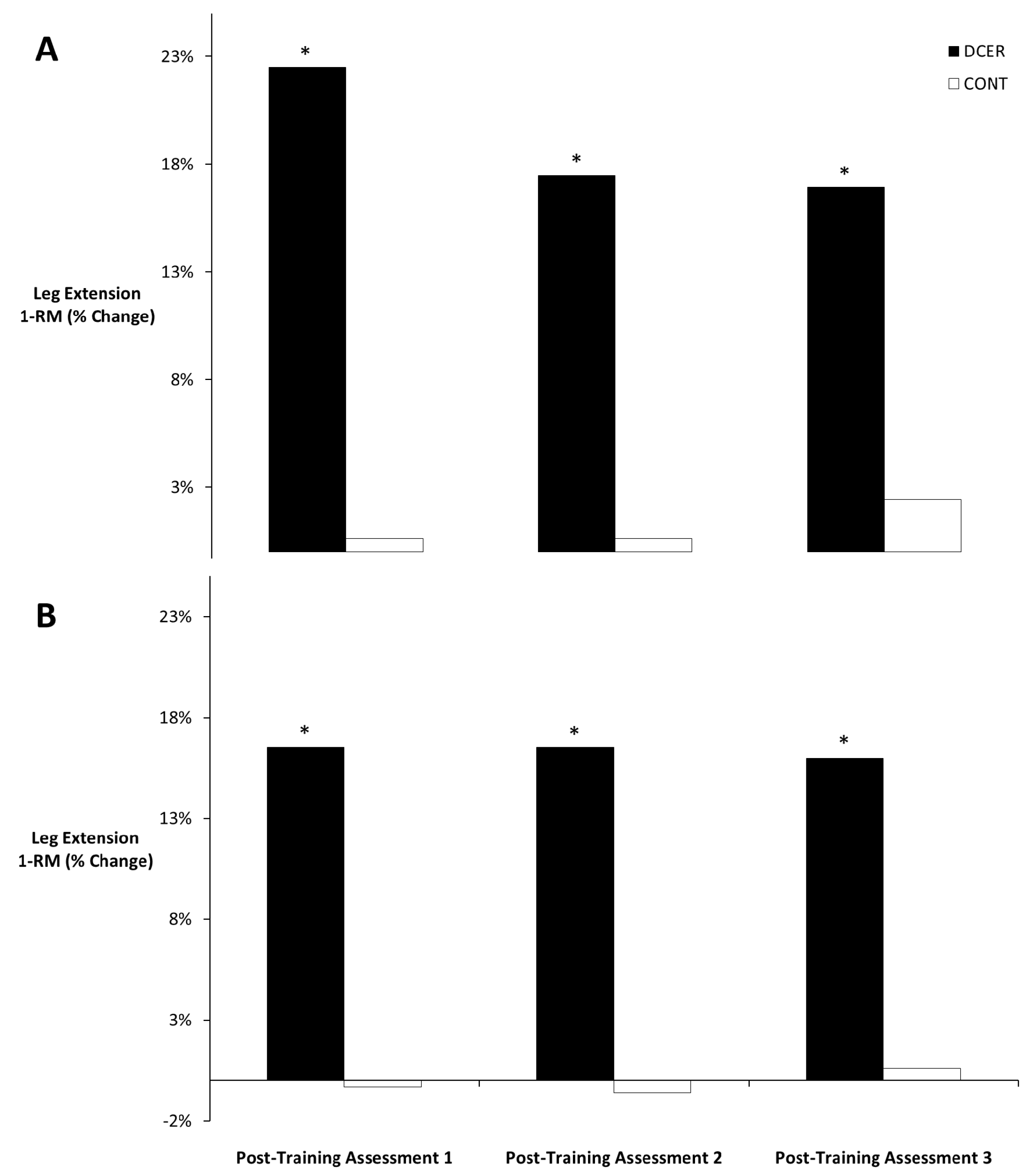
3.1. Dynamic Constant External Resistance Assessments
| Group | Pre-Training Assessment 1 | Post-Training Assessment 1 | Post-Training Assessment 2 | Post-Training Assessment 3 | ||
|---|---|---|---|---|---|---|
| 1-RM (kg) | DCER (n = 10) | Trained | 43.0 ± 3.0 | 52.6 ± 3.8 * | 50.5 ± 3.5 * | 50.2 ± 3.2 * |
| Untrained | 41.9 ± 2.7 | 48.9 ± 4.2 * | 48.9 ± 3.8 * | 48.6 ± 3.5 * | ||
| CONT (n = 9) | Trained | 41.7 ± 2.2 | 41.9 ± 2.1 | 41.8 ± 1.9 | 42.7 ± 1.6 | |
| Untrained | 41.9 ± 2.1 | 41.8 ± 1.9 | 41.7 ± 2.0 | 42.2 ± 1.7 | ||
3.2. Rating of Perceived Exertion


| Training Session | 1st Set | 2nd Set | 3rd Set | 4th Set | Session |
|---|---|---|---|---|---|
| Session 1 | 6.4 ± 0.54 | 7.3 ± 0.63 * | 8.3 ± 0.45 * | 8.6 ± 0.37 * | 7.6 ± 0.48 |
| Session 2 | 5.4 ± 0.37 | 6.9 ± 0.31 * | 7.8 ± 0.29 * | 8.6 ± 0.43 * | 7.1 ± 0.35 |
| Session 3 | 5.8 ± 0.33 | 6.9 ± 0.43 * | 7.9 ± 0.50 * | 8.5 ± 0.48 * | 7.5 ± 0.40 |
4. Discussion
5. Conclusions
Author Contributions
Conflicts of Interest
References
- Cramer, J.T.; Stout, J.R.; Culbertson, J.Y.; Egan, A.D. Effects of creatine supplementation and three days of resistance training on muscle strength, power output, and neuromuscular function. J. Strength Cond. Res. 2007, 21, 668–677. [Google Scholar] [PubMed]
- Coburn, J.W.; Housh, T.J.; Malek, M.H.; Weir, J.P.; Cramer, J.T.; Beck, T.W.; Johnson, G.O. Neuromuscular responses to three days of velocity-specific isokinetic training. J. Strength Cond. Res. 2006, 20, 892–898. [Google Scholar] [PubMed]
- Beck, T.W.; Housh, T.J.; Johnson, G.O.; Weir, J.P.; Cramer, J.T.; Coburn, J.W.; Malek, M.H.; Mielke, M. Effects of two days of isokinetic training on strength and electromyographic amplitude in the agonist and antagonist muscles. J. Strength Cond. Res. 2007, 21, 757–762. [Google Scholar] [PubMed]
- Prevost, M.C.; Nelson, A.G.; Maraj, B.K.V. The effect of two days of velocity-specific isokinetic training on torque production. J. Strength Cond. Res. 1999, 13, 35–39. [Google Scholar]
- Brown, L.E.; Whitehurst, M. The effect of short-term isokinetic training on force and rate of velocity development. J. Strength Cond. Res. 2003, 17, 88–94. [Google Scholar] [PubMed]
- Moritani, T.; deVries, H.A. Neural factors versus hypertrophy in the time course of muscle strength gain. Am. J. Phys. Med. 1979, 58, 115–130. [Google Scholar] [PubMed]
- Akima, H.; Takahashi, H.; Kuno, S.Y.; Masuda, K.; Masuda, T.; Shimojo, H.; Anno, I.; Itai, Y.; Katsuta, S. Early phase adaptations of muscle use and strength to isokinetic training. Med. Sci. Sports Exerc. 1999, 31, 588–594. [Google Scholar] [CrossRef] [PubMed]
- Mujika, I.; Padilla, S. Muscular characteristics of detraining in humans. Med. Sci. Sports Exerc. 2001, 33, 1297–1303. [Google Scholar] [CrossRef] [PubMed]
- Mujika, I.; Padilla, S. Detraining: Loss of training-induced physiological and performance adaptations. Part i: Short term insufficient training stimulus. Sports Med. 2000, 30, 79–87. [Google Scholar] [CrossRef] [PubMed]
- Hakkinen, K.; Komi, P.V.; Tesch, P.A. Effects of combined concentric and eccentric strength training and detraining on force-time, muscle fiber and metabolic characteristics of leg extensor muscles. Scand. J. Sports Sci. 1981, 3, 50–58. [Google Scholar]
- Hakkinen, K.; Alen, M.; Komi, P.V. Changes in isometric force- and relaxation-time, electromyographic and muscle fibre characteristics of human skeletal muscle during strength training and detraining. Acta Physiol. Scand. 1985, 125, 573–585. [Google Scholar] [CrossRef] [PubMed]
- Houston, M.E.; Froese, E.A.; Valeriote, S.P.; Green, H.J.; Ranney, D.A. Muscle performance, morphology and metabolic capacity during strength training and detraining: A one leg model. Eur. J. Appl. Physiol. Occup. Physiol. 1983, 51, 25–35. [Google Scholar] [CrossRef] [PubMed]
- Narici, M.V.; Roi, G.S.; Landoni, L.; Minetti, A.E.; Cerretelli, P. Changes in force, cross-sectional area and neural activation during strength training and detraining of the human quadriceps. Eur. J. Appl Physiol. Occup. Physiol. 1989, 59, 310–319. [Google Scholar] [CrossRef] [PubMed]
- Thorstensson, A. Observations on strength training and detraining. Acta Physiol. Scand. 1977, 100, 491–493. [Google Scholar] [CrossRef] [PubMed]
- Andersen, L.L.; Andersen, J.L.; Magnusson, S.P.; Aagaard, P. Neuromuscular adaptations to detraining following resistance training in previously untrained subjects. Eur. J. Appl. Physiol. 2005, 93, 511–518. [Google Scholar] [CrossRef] [PubMed]
- Colliander, E.B.; Tesch, P.A. Effects of detraining following short term resistance training on eccentric and concentric muscle strength. Acta Physiol. Scand. 1992, 144, 23–29. [Google Scholar] [CrossRef] [PubMed]
- Faigenbaum, A.D.; Westcott, W.L.; Micheli, L.J.; Outerbridge, A.R.; Long, C.J.; LaRosa-Loud, R.; Zaichkowsky, L.D. The effects of strength training and detraining on children. J. Strength Cond. Res. 1996, 10, 109–114. [Google Scholar] [CrossRef]
- Farthing, J.P.; Chilibeck, P.D. The effects of eccentric and concentric training at different velocities on muscle hypertrophy. Eur. J. Appl Physiol. 2003, 89, 578–586. [Google Scholar] [CrossRef] [PubMed]
- Knight, K.; Ingersoll, C.; Bartholomew, J. Isotonic contractions might be more effective than isokinetic contractions in developing muscle strength. J. Sport Rehabil. 2001, 10, 124–131. [Google Scholar]
- Weir, J.P.; Wagner, L.L.; Housh, T.J. The effect of rest interval length on repeated maximal bench presses. J. Strength Cond. Res. 1994, 8. [Google Scholar] [CrossRef]
- Matuszak, M.E.; Fry, A.C.; Weiss, L.W.; Ireland, T.R.; McKnight, M.M. Effect of rest interval length on repeated 1 repetition maximum back squats. J. Strength Cond. Res. 2003, 17, 634–637. [Google Scholar] [PubMed]
- Egan, A.; Winchester, J.; Foster, C.; McGuigan, M. Using session rpe to monitor different methods of resistance exercise. J. Sports Sci. Med. 2006, 5, 289–295. [Google Scholar]
- Sweet, T.W.; Foster, C.; McGuigan, M.R.; Brice, G. Quantitation of resistance training using the session rating of perceived exertion method. J. Strength Cond. Res. 2004, 18, 796–802. [Google Scholar] [PubMed]
- Foster, C.; Florhaug, J.A.; Franklin, J.; Gottschall, L.; Hrovatin, L.A.; Parker, S.; Doleshal, P.; Dodge, C. A new approach to monitoring exercise training. J. Strength Cond. Res. 2001, 15, 109–115. [Google Scholar] [PubMed]
- Day, M.L.; McGuigan, M.R.; Brice, G.; Foster, C. Monitoring exercise intensity during resistance training using the session rpe scale. J. Strength Cond. Res. 2004, 18, 353–358. [Google Scholar] [PubMed]
- Douris, P.C. The effect of isokinetic exercise on the relationship between blood lactate and muscle fatigue. J. Orthop. Sports Phys. Ther. 1993, 17, 31–35. [Google Scholar] [CrossRef] [PubMed]
- Munn, J.; Herbert, R.D.; Gandevia, S.C. Contralateral effects of unilateral resistance training: A meta-analysis. J. Appl. Physiol. 2004, 96, 1861–1866. [Google Scholar] [CrossRef] [PubMed]
- Carroll, T.J.; Herbert, R.D.; Munn, J.; Lee, M.; Gandevia, S.C. Contralateral effects of unilateral strength training: Evidence and possible mechanisms. J. Appl. Physiol. 2006, 101, 1514–1522. [Google Scholar] [CrossRef] [PubMed]
- Rutherford, O.M.; Jones, D.A. The role of learning and coordination in strength training. Eur. J. Appl. Physiol. Occup. Physiol. 1986, 55, 100–105. [Google Scholar] [CrossRef] [PubMed]
- Palmer, H.S.; Haberg, A.K.; Fimland, M.S.; Solstad, G.M.; Moe Iversen, V.; Hoff, J.; Helgerud, J.; Eikenes, L. Structural brain changes after 4 weeks of unilateral strength training of the lower limb. J. Appl. Physiol. 2013, 115, 167–175. [Google Scholar] [CrossRef] [PubMed]
- Sariyildiz, M.; Karacan, I.; Rezvani, A.; Ergin, O.; Cidem, M. Cross-education of muscle strength: Cross-training effects are not confined to untrained contralateral homologous muscle. Scand. J. Med. Sci. Sports 2011, 21, e359–e364. [Google Scholar] [CrossRef] [PubMed]
- Hortobagyi, T.; Houmard, J.A.; Stevenson, J.R.; Fraser, D.D.; Johns, R.A.; Israel, R.G. The effects of detraining on power athletes. Med. Sci. Sports Exerc. 1993, 25, 929–935. [Google Scholar] [PubMed]
- Shaver, L.G. Cross transfer effects of conditioning and deconditioning on muscular strength. Ergonomics 1975, 18, 9–16. [Google Scholar] [CrossRef] [PubMed]
- Kraemer, W.J.; Fleck, S.J.; Evans, W.J. Strength and power training: Physiological mechanisms of adaptation. Exerc. Sport Sci. Rev. 1996, 24, 363–397. [Google Scholar] [CrossRef] [PubMed]
- Staron, R.S.; Karapondo, D.L.; Kraemer, W.J.; Fry, A.C.; Gordon, S.E.; Falkel, J.E.; Hagerman, F.C.; Hikida, R.S. Skeletal muscle adaptations during early phase of heavy-resistance training in men and women. J. Appl. Physiol. 1994, 76, 1247–1255. [Google Scholar] [PubMed]
- Enoka, R.M. Muscle strength and its development. New perspectives. Sports Med. 1988, 6, 146–168. [Google Scholar] [CrossRef] [PubMed]
- Sale, D.G. Influence of exercise and training on motor unit activation. Exerc. Sport Sci. Rev. 1987, 15, 95–151. [Google Scholar] [CrossRef] [PubMed]
- Moritani, T.; deVries, H.A. Potential for gross muscle hypertrophy in older men. J. Gerontol. 1980, 35, 672–682. [Google Scholar] [CrossRef] [PubMed]
- Sale, D.G. Neural adaptation to resistance training. Med. Sci. Sports Exerc. 1988, 20, S135–S145. [Google Scholar] [CrossRef] [PubMed]
- Ikai, M.; Fukunaga, T. A study on training effect on strength per unit cross-sectional area of muscle by means of ultrasonic measurement. Int. Z. Angew. Physiol. 1970, 28, 173–180. [Google Scholar] [CrossRef] [PubMed]
- Kanehisa, H.; Miyashita, M. Specificity of velocity in strength training. Eur. J. Appl. Physiol. Occup. Physiol. 1983, 52, 104–106. [Google Scholar] [CrossRef] [PubMed]
- Knight, C.A.; Kamen, G. Adaptations in muscular activation of the knee extensor muscles with strength training in young and older adults. J. Electromyogr. Kinesiol. 2001, 11, 405–412. [Google Scholar] [CrossRef]
- Costa, P.B.; Herda, T.J.; Walter, A.A.; Valdez, A.M.; Cramer, J.T. Effects of short-term resistance training and subsequent detraining on the electromechanical delay. Muscle Nerve 2013, 48, 135–136. [Google Scholar] [CrossRef] [PubMed]
- Van Leeuwen, D.M.; de Ruiter, C.J.; Nolte, P.A.; de Haan, A. Preoperative strength training for elderly patients awaiting total knee arthroplasty. Rehabil. Res. Pract. 2014, 2014. [Google Scholar] [CrossRef] [PubMed]
- Rooks, D.S.; Huang, J.; Bierbaum, B.E.; Bolus, S.A.; Rubano, J.; Connolly, C.E.; Alpert, S.; Iversen, M.D.; Katz, J.N. Effect of preoperative exercise on measures of functional status in men and women undergoing total hip and knee arthroplasty. Arthritis Rheum. 2006, 55, 700–708. [Google Scholar] [CrossRef] [PubMed]
- Topp, R.; Swank, A.M.; Quesada, P.M.; Nyland, J.; Malkani, A. The effect of prehabilitation exercise on strength and functioning after total knee arthroplasty. PM R 2009, 1, 729–735. [Google Scholar] [CrossRef] [PubMed]
- Swank, A.M.; Kachelman, J.B.; Bibeau, W.; Quesada, P.M.; Nyland, J.; Malkani, A.; Topp, R.V. Prehabilitation before total knee arthroplasty increases strength and function in older adults with severe osteoarthritis. J. Strength Cond. Res. 2011, 25, 318–325. [Google Scholar] [CrossRef] [PubMed]
© 2016 by the authors; licensee MDPI, Basel, Switzerland. This article is an open access article distributed under the terms and conditions of the Creative Commons by Attribution (CC-BY) license (http://creativecommons.org/licenses/by/4.0/).
Share and Cite
Costa, P.B.; Herda, T.J.; Herda, A.A.; Cramer, J.T. Effects of Short-Term Dynamic Constant External Resistance Training and Subsequent Detraining on Strength of the Trained and Untrained Limbs: A Randomized Trial. Sports 2016, 4, 7. https://doi.org/10.3390/sports4010007
Costa PB, Herda TJ, Herda AA, Cramer JT. Effects of Short-Term Dynamic Constant External Resistance Training and Subsequent Detraining on Strength of the Trained and Untrained Limbs: A Randomized Trial. Sports. 2016; 4(1):7. https://doi.org/10.3390/sports4010007
Chicago/Turabian StyleCosta, Pablo B., Trent J. Herda, Ashley A. Herda, and Joel T. Cramer. 2016. "Effects of Short-Term Dynamic Constant External Resistance Training and Subsequent Detraining on Strength of the Trained and Untrained Limbs: A Randomized Trial" Sports 4, no. 1: 7. https://doi.org/10.3390/sports4010007
APA StyleCosta, P. B., Herda, T. J., Herda, A. A., & Cramer, J. T. (2016). Effects of Short-Term Dynamic Constant External Resistance Training and Subsequent Detraining on Strength of the Trained and Untrained Limbs: A Randomized Trial. Sports, 4(1), 7. https://doi.org/10.3390/sports4010007

