Abstract
(1) Background: We investigated the age of swimming champions in all strokes and race distances in World Championships (1994–2013) and Olympic Games (1992–2012); (2) Methods: Changes in age and swimming performance across calendar years for 412 Olympic and world champions were analysed using linear, non-linear, multi-level regression analyses and MultiLayer Perceptron (MLP); (3) Results: The age of peak swimming performance remained stable in most of all race distances for world champions and in all race distances for Olympic champions. Longer (i.e., 200 m and more) race distances were completed by younger (~20 years old for women and ~22 years old for men) champions than shorter (i.e., 50 m and 100 m) race distances (~22 years old for women and ~24 years old for men). There was a sex difference in the age of champions of ~2 years with a mean age of ~21 and ~23 years for women and men, respectively. Swimming performance improved in most race distances for world and Olympic champions with a larger trend of increase in Olympic champions; (4) Conclusion: Swimmers at younger ages (<20 years) may benefit from training and competing in longer race distances (i.e., 200 m and longer) before they change to shorter distances (i.e., 50 m and 100 m) when they become older (>22 years).
1. Introduction
Twenty-six years ago, Schulz and Curnow investigated the age of Olympic gold medal winners in swimming, competing between 1896 and 1980 [1]. The average age in freestyle swimming was ~18 years for women and ~21 years for men [1]. This age remained stable for almost a century [1]. Nevertheless, over time humans have undergone changes in body dimensions such as body height, body mass and slenderness, and swimming performance has improved continuously across the years [2,3,4].
However, there is no recent study investigating the age of today’s champions and the actual change of the age of peak swimming speed over time. In recent years, new swimming records were set continuously with a peak of new records at the World Championship in 2008 due to newly introduced swimsuits [5]. The full body swimsuits were banned worldwide by 1 January 2010. Considering long course championships, the fastest performance for women and men was obtained in 50 m freestyle at the World Championship in 2009. Britta Steffen finished in 23.73 s and Cesar Cielo in 21.08 s. The most recent world records were set in 2013 for women by Katie Ledecky [6,7] in the 800 m and 1500 m freestyle at age 16, by Ruta Meilutyte [8] in the 100 m breaststroke at age 16, and by Yuliya Efimova [9,10] in the 200 m breaststroke at age 21. For men, the latest world records were set at the World Championships in 2009. In total, 11 new records were achieved in that year for men, held in different strokes by Cesar Cielo [11,12] in the 50 m and 100 m freestyle at the age of 22; Paul Biedermann [13] in the 200 m freestyle at the age of 23; Lin Zhang [14] in the 800 m freestyle at the age of 22; Brenton Rickard [15] in the 100 m breaststroke at the age of 26; Daniel Gyurta [16] in the 200 m breaststroke at the age of 20; Junya Koga [17] in the 100 m backstroke at the age of 22; Aaron Peirsol [18] in the 200 m backstroke at the age of 18; Michael Phelps [19,20] in the 100 m and 200 m butterfly at the age of 24; and Ryan Lochte [21] in the 200 m individual medley at the age of 25. No new world record was set in 2013. Regarding the Olympic Games, the most recent Olympic records were set in 2012 for women by Ranomi Kromowidjojo in the 100 m freestyle at the age of 22; Allison Schmitt [22] in the 200 m freestyle at the age of 22; Camille Muffat [23] in the 400 m freestyle at the age of 23; Melissa Franklin [24,25] in the 100 m and 200 m backstroke at the age of 17; Dana Vollmer [26,27] in the 100 m butterfly at the age of 25; and Shiwen Ye [28,29] in the 200 m and 400 m individual medley at the age of 16. For men, the latest Olympic records were set in 2012 by Yang Sun [30] in the 400 m, 800 m, and 1,500 m freestyle at the age of 21; Cameron van der Burgh [31,32] in the 100 m breaststroke at the age of 24; by Metthew Grevers [33,34] in the 100 m backstroke at the age of 27; and by Michael Phelps [35] in the 200 m individual medley at the age of 27.
This last exceptional talent has four other unbroken Olympic records from 2008 in the 200 m freestyle [36], the 100 m [37] and 200 m [38] butterfly and the 400 m individual medley [39,40] set at the age of 23. Michael Phelps (USA) won 18 Olympic gold medals, two silver medals and two bronze medals [41]. He retired after the Olympic Games in London 2012 [42]. Nevertheless, Michael Phelps returned to consistent training in November 2013 [43,44]. In 2014, he won three gold and two silver medals at the Pan Pacific Championships in August [45]. Michael Phelps intends to compete in the Olympic Games in Rio de Janeiro in 2016 [46]. That would not be the first comeback in swimming history. Ian Thorpe (AUS) retired in 2006 at the age of 23 years after he won nine Olympic medals—a gold medal in the 400 m freestyle, in the 4 × 100 m and 4 × 200 m freestyle relay in 2000 at the age of 17, a silver medal in the 200 m freestyle, and in the 4 × 100 m medley relay in 2000 at 17 years of age, a gold medal in the freestyle 200 m and 400 m, a silver medal in the freestyle relay 4 × 200 m, and a bronze medal in the 100 m freestyle in 2004 at age 21 [47]. He made his first attempt at a comeback at the Olympic Games in London in 2012 at the age of 30, but failed. Ian Thorpe won nine Olympic medals (five gold medals, three silver medals, and one bronze medal) and 13 World Championship medals (11 gold medals, one silver medal, and one bronze medal) [48]. Recently, Thorpe talked about competing in the 2016 Rio Olympics [49]. In April 2014, he suffered from a serious infection after shoulder surgery [49], but he still hopes for a comeback [50]. Another swimmer who tried to make a comeback in swimming in earlier years was Mark Spitz (USA). His aim was a comeback at the Olympic Games in 1992 at over 42 years old—20 years after his last competition at the Olympic Games in Munich in 1972 [51]. Mark Spitz won in total nine gold medals, one silver medal, and one bronze medal at Olympic Games [52]. After Michael Phelps, who won eight gold medals in one competition at the Olympic Games in 2008 (Beijing), Mark Spitz is next with seven medals won at the Olympic Games in Munich in 1972. He failed in his comeback at the Olympic Games in 1992, being two seconds slower than the required qualifying time [53]. The Olympic champion Ed Moses, a member in the 4 × 100 m medley relay and silver medal winner in the breaststroke 100 m in 2000, wanted to join the Olympic team at the age of 32 in 2012, but failed [54,55].
These data show that records at World Championships and Olympic Games were achieved in athletes age 25 and younger. Michael Phelps (born 1985) plans his comeback at the age of 31 at the Olympic Games in 2016. The question may be raised regarding whether he will be able to perform in such a way as to win a medal at that age. For example, Dara Torres (born 1967) showed that it is possible to win a medal in a comeback at the Olympic Games. At the age of 14, Torres set her first world record. At the age of 17 she was Olympic champion in her hometown of Los Angeles in the 1984 Olympic Games in the 4 × 100 m freestyle relay. At the age of 25, she left sport, only to participate seven years later in the 2000 Olympic Games in Sydney and win five more medals. In April 2006, she gave birth to her daughter Tessa. At the 2008 Olympic Games in Beijing, at age 41, Dara Torres won three silver medals (4 × 100 m freestyle relay, 50 m freestyle, and 4 × 100 m medley relay) [56]. Inspired by the recent decisions of different swimmers to make comebacks at a competitive level, with this study we aimed to systematically investigate the age of winners of Olympic Games (1992 to 2012) and World Championships (1994 to 2013) for all race distances and strokes.
2. Materials and Methods
2.1. Ethics Approval
All procedures used in the study were approved by the Institutional Review Board of Kanton St. Gallen, Switzerland, with a waiver of the requirement for informed consent of the participants given the fact that the study involved the analysis of publicly available data.
2.2. Data Sampling and Data Analysis
All data for this study were obtained from www.swimrankings.net. This web page records all swimming race results according to events such as World Championships and Olympic Games. During data sampling and preparation for analysis, we found that data before 1992 were not complete for all strokes and distances, and we therefore started data analysis from the year 1992 onward. Full data were available going back to 1992 for 202 female and 210 male champions (i.e., 412 swimmers in total), 250 in the World Championships and 162 in the Olympic Games. Prior to 2001, the 1500 m freestyle was not raced by women in the World Championships. Therefore, we have a difference of two swimmers in the number of female and male athletes. In the Olympic Games, there was a difference of six swimmers in the number of athletes between both sexes due to the missing races in the 1500 m freestyle during the whole period. All race distances which are held both in the World Championships (1994–2013) and the Olympic Games (1992–2012) were included. We excluded the 50 m breaststroke, the 50 m backstroke, and the 50 m butterfly, which were only held in the World Championships. Therefore, the following race distances were included and analysed: freestyle (50 m, 100 m, 200 m, 400 m, 800 m, and 1500 m), breaststroke (100 m, 200 m), backstroke (100 m, 200 m), butterfly (100 m, 200 m), and individual medley (200 m, 400 m). We analyzed all listed strokes and distances in both sexes and both in the World Championships and the Olympic Games for changes in the age and swimming performance of all champions over the years. Race times were converted to swimming speed using the following equation: (swimming speed (m·s−1)) = (race distance (m))/(race time (s)). The age of the athletes was calculated from the date of birth given at the web page from www.swimrankings.net.
2.3. Statistical Analysis
Descriptive values were computed as mean ± standard deviation (SD) for continuous variables. Normal distribution was tested using a D’Agostino and Pearson omnibus normality test and homogeneity of variances was tested using a Levene’s test. A MultiLayer Perceptron (MLP), which is a feed-forward Artificial Neural Network (ANN), with the hyperbolic tangent as activation function in the input/hidden layers, and the softmax activation function in the output layer and cross-entropy as error function, was used to assess the impact of each co-variable on the swimming performance, using speed as outcome, correcting for multiple participations of some athletes to the finals at World Championships or Olympic Games. Generalized mixed models with repeated measures, thereby correcting for multiple participations, were used to analyze the data and investigate a potential impact of changes in age on swimming performance. An initial mixed model was carried out, using speed as dependent variable and age, sex, country, contest (i.e., World Championships versus Olympic Games), type of swimming strokes (i.e., freestyle, breaststroke, backstroke, butterfly, and individual medley) and calendar year as independent variables.
Then, single and multi-level regression analyses were carried out for each co-variable, correcting for age of athletes in order to prevent a misinterpretation of the “age-effect” as a “time-effect” and to avoid the impact of a cluster-effect on the results regarding the analysis of age of peak swimming performance and swimming performance. To investigate whether the trend in swimming performance over time was linear or non-linear (i.e., polynomial), we additionally calculated the non-linear regression model that fits the data best. The result of the linear regression analysis was compared to the best-fit result of the non-linear analysis using Akaike’s Information Criteria (AIC) and an F-test to show which model would be the most appropriate to explain the trend of the data.
Statistical analyses were performed using IBM SPSS Statistics (Version 22, IBM SPSS, Chicago, IL, USA) and GraphPad Prism (Version 6.01, GraphPad Software, La Jolla, CA, USA). Significance was accepted at p < 0.05 (two-sided for t-tests).
3. Results
In total, data were available for 412 performances between 1992 and 2013 with 202 women (49%) and 210 men (51%), of which 250 were competing in the World Championships and 162 in the Olympic Games. All the data (i.e., age, swim speed) were characterized by normal distribution and homogeneity of variances.
3.1. MultiLayer Perceptron Model
MLP model proved to be a good-quality model (Figure 1). Age came out as the second variable in terms of normalized importance in predicting speed as outcome.
Figure 1.
Quality of the MultiLayer Perceptron (MLP) model (observed values versus expected values scatterplot) (a) and quality of the MLP model (residual versus expected values scatterplot) (b).
3.2. Impact of Predictor Variables on Speed
Initially, a mixed model was performed, using speed as dependent variable and all the different co-variables as independent variables, namely, sex, age, country, contest (i.e., World Championship versus Olympic Games), type of stroke (i.e., freestyle, breaststroke, backstroke, butterfly, and individual medley) and calendar year. Speed depended on all these variables but the contest (p = 0.211, not statistically significant) (Table 1, Table 2 and Table 3). However, in this study, we will specifically focus on the impact of age on swimming performances, while the contribution of the other co-variables will be investigated in separated contributions, currently under preparation.
Table 1.
Importance of independent variables from the Multi-Layer Perceptron Analysis, using speed as outcome and correcting for multiple participations of athletes to finals of World Championship and Olympic Games.
Table 2.
Fixed effects of the mixed model with speed as dependent variable and age, sex, country, calendar year, contest (i.e., World Championships versus Olympic Games) and stroke (i.e., freestyle, breaststroke, backstroke, butterfly, and individual medley) as independent variables.
Table 3.
Estimates of the mixed model with speed as dependent variable and age, sex, country, calendar year, contest (i.e., World Championship versus Olympic Games) and stroke (i.e., freestyle, breaststroke, backstroke, butterfly, and individual medley) as independent variables.
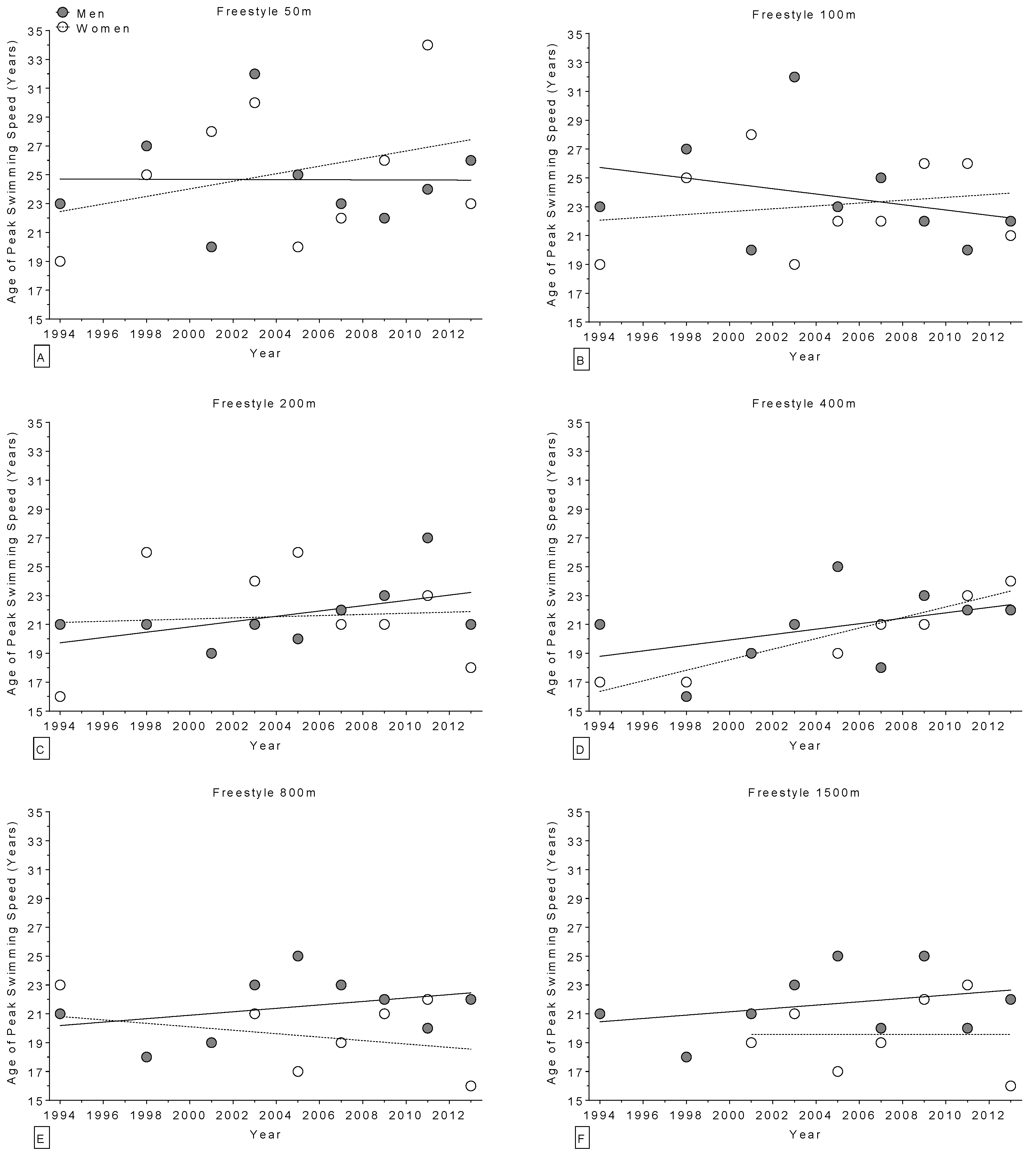
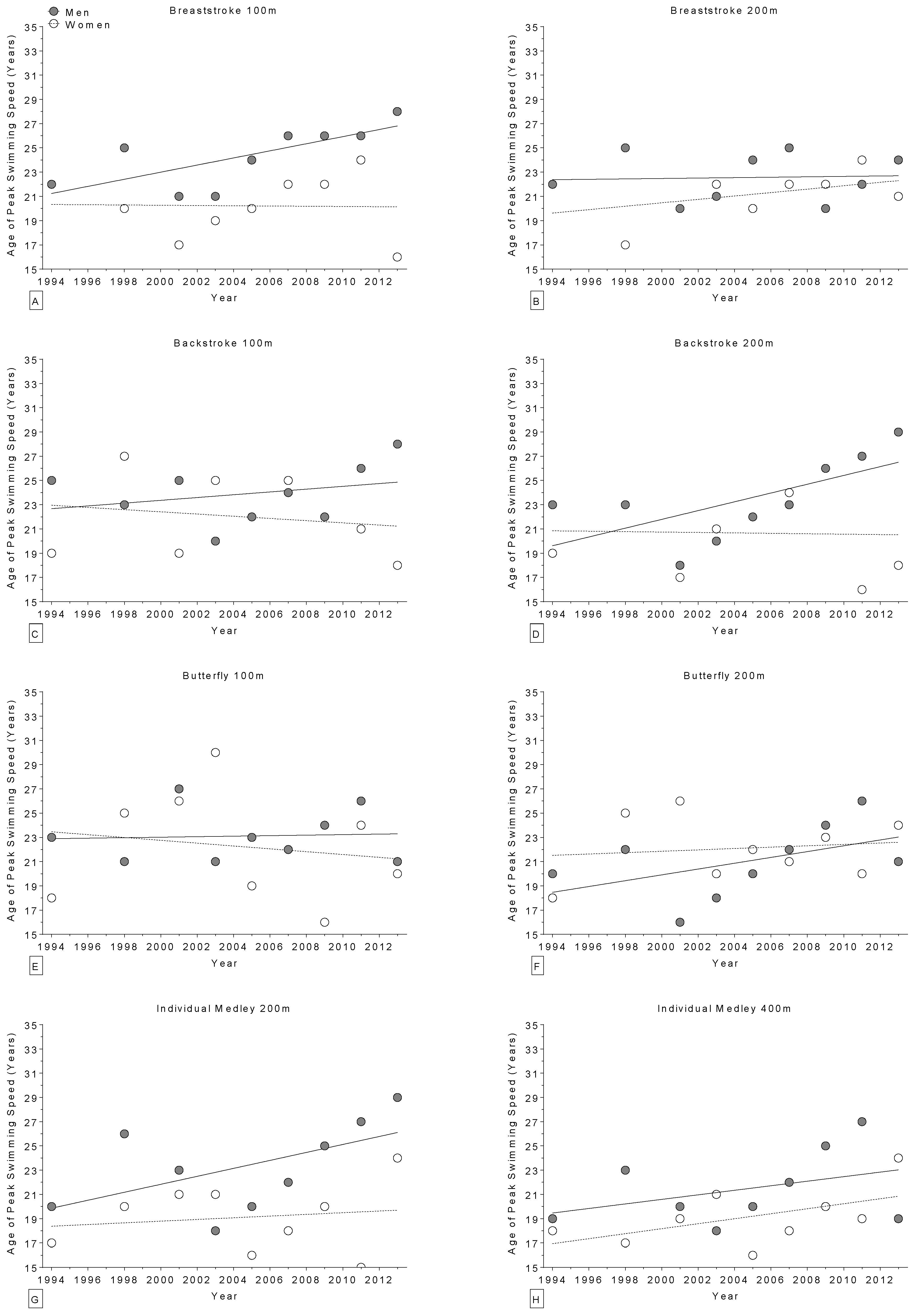
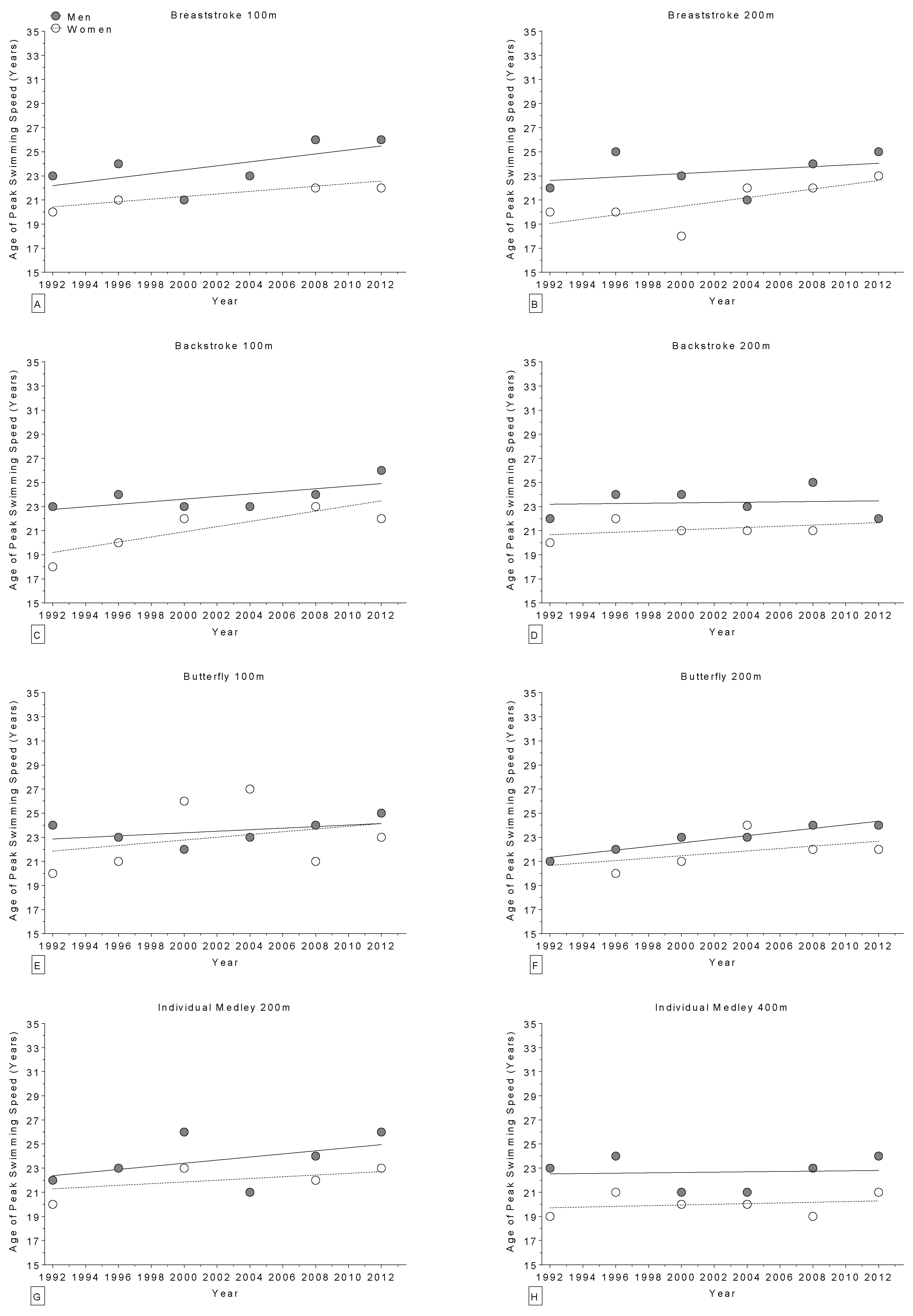
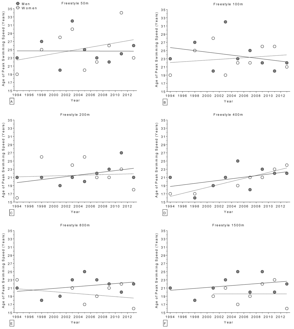
3.3. Changes in the Ages of the Champions
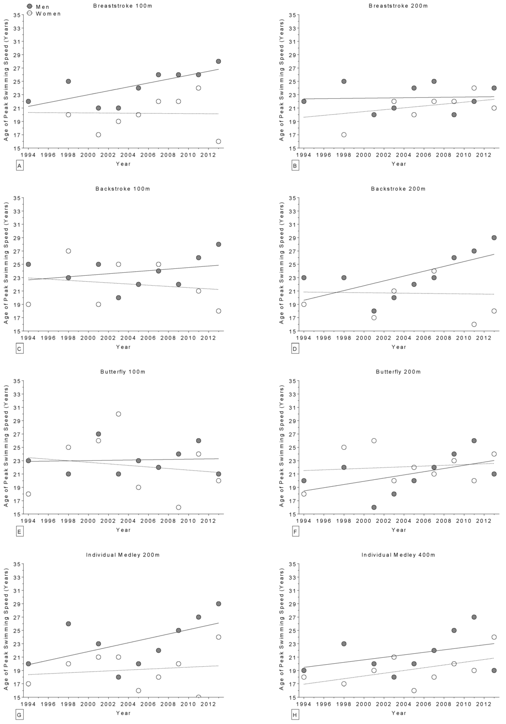
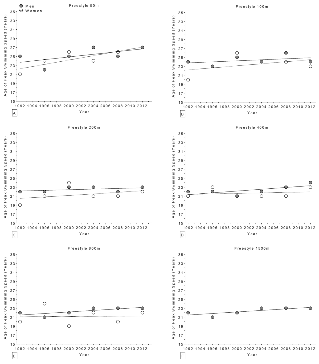
The age of World champions increased over the years in the 400 m freestyle for women (Figure 2) and in the 100 m breaststroke for men (Figure 3), but remained stable (Table 4) in all other disciplines (Figure 2 and Figure 3). Regarding the Olympic champions, the age remained stable (Table 5) in all disciplines (Figure 4 and Figure 5). Longer race distances (i.e., 200 m and over) were completed by younger champions (~20 years for women and ~22 years for men) than shorter (i.e., 50 m and 100 m) race distances (~22 years for women and ~24 years for men) for each stroke and in both women and men (Table 4 and Table 5). Overall, the mean ages of champions were 21 ± 3.5 years for women (minimum of 14 years, maximum of 34 years; 21 ± 3.4 at the World Championships and 21 ± 3.6 years at the Olympic Games) and 23 ± 2.8 years for men (minimum of 16 years, maximum of 32 years; 23 ± 3.0 years at the World Championships and 23 ± 2.5 years at the Olympic Games). The mean sex difference in the age of champions was ~2 years in both the World Championships and the Olympic Games, even if, when correcting for all the co-variables, the type of contest had no statistically significant impact on swimming performance (Table 1 and Table 2).
Figure 2.
Change in the age of world champions (1994–2013) over time for freestyle 50 m (Panel A); 100 m (Panel B); 200 m (Panel C); 400 m (Panel D); 800 m (Panel E); and 1500 m (Panel F).
Figure 3.
Change in the age of world champions (1994–2013) over time for 100 m breaststroke (Panel A); 200 m breaststroke (Panel B); 100 m backstroke (Panel C); 200 m backstroke (Panel D); 100 m butterfly (Panel E); 200 m butterfly (Panel F); 200 m individual medley (Panel G); and 400 m individual medley (Panel H).
Table 4.
Changes in the age (years) of World champions over time.
Table 5.
Changes in the age (years) of Olympic champions over time.
Figure 4.
Change in the age of Olympic champions (1992–2012) over time in freestyle for 50 m (Panel A); 100 m (Panel B); 200 m (Panel C); 400 m (Panel D); 800 m (Panel E); and 1500 m (Panel F).
Figure 5.
Change in the age of Olympic champions (1992–2012) over time for 100 m breaststroke (Panel A); 200 m breaststroke (Panel B); 100 m backstroke (Panel C); 200 m backstroke (Panel D); 100 m butterfly (Panel E); 200 m butterfly (Panel F); 200 m individual medley (Panel G); and 400 m individual medley (Panel H).
3.4. Changes in Swimming Performances across the Years
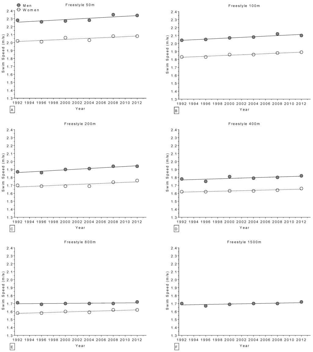
In world champions, swimming performance improved linearly and significantly across calendar years (Table 6) in 21 of 28 distances of freestyle (Figure 6), breaststroke, backstroke, butterfly and individual medley (Figure 7), with the exception of one non-linear increase in the 200 m backstroke for women. Regarding the Olympic champions, swimming performance improved significantly across calendar years (Table 7) in 16 of 27 distances of freestyle (Figure 8), breaststroke, backstroke, butterfly and individual medley (Figure 9). All results were corrected for co-variables and remained unmodified.
Table 6.
Multi-level regression analyses for change in swimming performance of world champions using speed as dependent variable (values broken down for stroke and sex) and correcting for multiple participations and the other co-variables.
Figure 6.
Change in freestyle swimming speed over time in world champions (1994–2013) for 50 m (Panel A); 100 m (Panel B); 200 m (Panel C); 400 m (Panel D); 800 m (Panel E); and 1500 m (Panel F).
Figure 7.
Change in swimming speed over time in world champions (1994–2013) for 100 m breaststroke (Panel A); 200 m breaststroke (Panel B); 100 m backstroke (Panel C); 200 m backstroke (Panel D); 100 m butterfly (Panel E); 200 m butterfly (Panel F); 200 m individual medley (Panel G); and 400 m individual medley (Panel H).
Table 7.
Multi-level regression analyses for change in swimming performance of the Olympic champions using speed as dependent variable (values broken down for stroke and sex) and correcting for multiple participations and the other co-variables
Figure 8.
Change in freestyle swimming speed over time in Olympic champions (1992–2012) for 50 m (Panel A); 100 m (Panel B); 200 m (Panel C); 400 m (Panel D); 800 m (Panel E); and 1500 m (Panel F).
Figure 9.
Change in swimming speed over time in Olympic champions (1992–2012) for 100 m breaststroke (Panel A); 200 m breaststroke (Panel B); 100 m backstroke (Panel C); 200 m backstroke (Panel D); 100 m butterfly (Panel E); 200 m butterfly (Panel F); 200 m individual medley (Panel G); and 400 m individual medley (Panel H).
4. Discussion
The present study examined the changes in age and swimming performance of female and male world and Olympic champions for all strokes and race distances in indoor, long course pools. The main findings were: (1) the age of champions remained stable in most race distances; (2) longer race distances (i.e., 200 m and over) were completed by younger champions than shorter race distances (i.e., 50 m and 100 m) for each stroke, and in both women and men; (3) female champions were ~2 years younger than male champions with a mean age of ~21 and ~23 years for women and men, respectively; (4) swimming performance improved in most race distances for world and Olympic champions, but remained stable in several race distances.
4.1. Unchanged Age of Peak Swimming Performance in Champions over Time
A first important finding was that the age of peak swimming performance for champions at the world class level remained stable in most strokes and race distances. The only increases in the age of world champions were found in the freestyle 400 m for women and in the breaststroke 100 m for men. Schulz and Curnow described the age of peak performance of Olympic gold medal winners as unchanged at ~18 years for women and ~21 years for men for almost a century [1]. In comparison with this, the present champions competing in the last ~20 years are ~2–3 years older, with a mean age of 21 ± 3.5 years in women and 23 ± 2.8 years in men.
Nevertheless, there are no more studies investigating the champions. However, several studies focus on top swimmers [57,58,59,60,61,62,63] for different strokes and distances. For example, Allen et al. focused on the top 16 pool events held at the 2008 and 2012 Olympic Games [57]. They presented a result for the age of the top 16, which is comparable to the age of champions in the present study, with a difference of approximately one year for the older swimmers in the study by Allen et al. [57]. Interestingly, Allen et al. reported that the age for the freestyle 50 m was also higher in women than in men, as is the case in the present study [57]. In all the other distances, the results were reversed, with higher ages in men compared to women [57].
Moreover, there seems to be a trend of an increase in the age of finalists over time as it was described recently for the same time period, strokes and competitions [3]. König et al. [3] reported in the case of the World Championships that the age of the finalists increased for all strokes and distances with the exception of the 200 m backstroke in women, and the 400 m freestyle and the 200 m breaststroke in men, where the age of the finalists decreased. In the Olympic Games, the age of the finalists increased for all strokes and distances with the exception of the 800 m freestyle in women and the 400 m individual medley in men. This finding for finalists in elite swimming competitions is in line with other sports disciplines such as running and triathlon [64,65], where the increase in the age was attended by a continuous improvement in performance. Examples were given for the “Ironman Hawaii” in the study by Gallmann et al., with an increase from ~26 years to ~35 years for women and from ~27 years to ~34 years for men in the time period of 1983 to 2012 [65]. During the same period, race times of the elite athletes decreased [65].
Thus, is there any chance for a previous top swimmer like Michael Phelps to win another medal in a competition at the world class level in a comeback after his retirement? The mean age of champions is far below 30 years. Nevertheless, three male champions (i.e., Aleksandr Vladimirovich Popov, 50 m freestyle at the World Championships in 2003; Roland Schoeman, 50 m freestyle at the World Championships in 2013; and Jason Lezak, 100 m freestyle at the Olympic Games in 2008) and six female champions (i.e., Claudia Poll, 400 m freestyle at the World Championships in 2005; Dara Torres, 50 m freestyle, 100 m freestyle and 100 m butterfly at the Olympic Games in 2000; Marleen Veldhuis, 50 m freestyle at the Olympic Games in 2012; and Svitlana Bondarenko, 100 m breaststroke at the Olympic Games in 2004) were 33 years old [65]. There was even one female champion (Therese Alshammar) who won in 2011 at the World Championships in the 50 m freestyle at the age of 34 [66]. Aleksandr Vladimirovich Popov from Russia showed that it is possible to win a gold medal in swimming after age 30. In 1992 (at age 20) at the Barcelona Olympics, he won the 50 m freestyle with a time of 21.91 s. In 2003 (at age 31) in the same pool in Barcelona at the World Championships, he won the 50 m freestyle with a time of 21.92 s [67]. It is also worth mentioning that Dara Torres won the silver medal in 50 m freestyle at the 2008 Olympic Games in Beijing at the age of 41 [56]. Moreover, in other sports disciplines such as running there are some exceptional athletes who surprised with their outstanding performance. For example, a 90-year old marathon runner officially became the first person to finish a whole marathon at this age [68]. His official finishing time was 6 h, 48 min and 55 s. Müller et al. investigated the physiological alterations in that exceptional race [69]. Therefore, we assume that there is also still a certain chance to win a gold medal at the world class level for swimmers over 30 years of age and for athletes intending to make a comeback at that age.
4.2. Younger Swimmers Were Faster in Longer Race Distances
In accordance to other studies investigating the association of age and race distances [1,3,58,59,61,62], we also came to a second important finding that longer race distances were associated with younger swimmers’ age for all strokes and in both women and men. Tanaka and Seals assumed that this phenomenon was based on the different energy-producing pathways in skeletal muscle involved with diverse intensities [70].
This important finding could be explained through physiological and biological factors.
For sprint distances (e.g., 50 m freestyle), an athlete’s body uses an energy-pathway that is fast enough to deliver the required energy in a foreseeable time. That can be achieved by anaerobic metabolism [71,72]. Aerobic metabolism delivers the needed energy for endurance sports disciplines and endurance swimming distances (e.g., 1500 m freestyle) [73]. Furthermore, Larsson et al. reported that there is an increase of isometric and dynamic strength until the age of ~30 years [74]. An improvement in swimming performance until the age of ~30 years can be assumed for sprint distances. For endurance distances, a decrease in metabolic rates, longer response times, poorer coordination and a reduced maximum oxygen uptake (VO2 max) after the age of ~20 might explain the younger swimmers’ age [75,76,77].
4.3. Female Champions Were Younger than Male Champions
A third important finding was that female champions were younger than male champions with a difference of ~2 years. That is in line with other studies reporting a sex difference of ~2 years. Schulz and Curnow examined Olympic champions from 1896 to 1980 [1]. They reported a constant sex difference in the age of peak swimming performance of ~2 years. Different reasons have been assumed to explain that sex difference. König et al. pointed to the different maturation processes during puberty [3]. Most important parameter in this context is body height [2], growth velocity that was not reached until the age of ~12 years in girls and ~14 years in boys [78], the different onset of puberty at ~11 years in girls and ~13 years, expressed as the skeletal/biological age [79], different bone growth (i.e., metacarpal thickness, width, length and medullary diameter) between girls and boys.
4.4. Increase of Peak Swimming Performance across the Years
In 1997, Tanaka and Seals [70] described an interaction between age and sex in freestyle swimming. They concluded that the rate of decline with advancing age appeared to be associated with the length of the performance (i.e., from 50 to 1500 m) and with the sex. These female and male world and Olympic champions improved swimming performance in most race distances with a larger trend of improvement observed in Olympic champions, although the age of peak swimming performance remained stable in most race distances for World champions and in all race distances for Olympic champions. These findings differ from recent findings for finalists competing in World Championships and Olympic Games where performance improved and age increased [3]. Additionally, when freestyle swimmers competing at national level were investigated (i.e., Swiss swimmers between 1994 and 2012), the age of peak swimming speed was younger in women compared to men for the 50 m to the 800 m freestyle. For women, the age of peak swimming speed increased over time in the 50 m but decreased over time in the 1500 m freestyle. For men, the age of peak swimming speed decreased over time in the 50 m freestyle [80].
As Schulz and Curnow reported, swimming performance changed “dramatically” between 1896 and 1980 [1]. They explained this enormous increase in performance by external factors such as improved training programs and diets, better equipment, larger population bases from which athletes are selected, as well as more efficient selection strategies. We can only agree with this. All those factors changed over time. The equipment (e.g., swimsuits), to a certain extent, helps swimmers reach peak swimming speed [5]. It has been shown that wearing a full-body suit or a waist-to-ankle suit significantly reduced passive drag. The reduction in drag was associated with a decreased energy cost of sub-maximal swimming and an increased distance per stroke, at the same stroke rates, and reduced freestyle performance time [81].
Different studies investigating peak swimming performance showed controversial results concerning its evolution over time [59,82]. Buhl et al. [59] described a limit in performance at the international level for freestyle, while they showed that there was an increase of up to 5.3% at national (i.e., Switzerland) level. Koch-Ziegenbein et al. showed an increase in swimming performance of 1.2%–5.2% at international level for breaststroke [82]. The results in the present study are more stable concerning the swimming performance, compared to the results from the study of König et al. describing swimming performance in finalists [3]. This might strengthen the prediction of a limit in swimming performance. However, as König et al. already reported, the trend in progression of peak swimming performance remains a controversial question and needs further investigation [3].
As a result of newly introduced swimsuits [5], numerous word records were set in 2009. Some investigations showed that swimming performance would reach its limit [4,58,83]. Berthelot described that swimming performance may soon reach its limit [58]. Nevill et al. analyzed front-crawl swimming from 1957 to 2007 [83]. They proclaimed that a non-linear, flattened S-shaped logistic curve would fit the data best. In the present study we assumed that linear regression would describe the data best. We also might not have investigated a time period which is long enough to assess progression in swimming performance [3].
4.5. Strengths and Limitations of this Study and Implications for Future Research
A strength of the present study is first that all distances and all strokes of freestyle, breaststroke, backstroke, butterfly and individual medley were included. Second, the topic from this study is up to date and interesting for today’s world class swimmers. Nevertheless, the present study is limited in terms of missing variables such as anthropometric [2,84,85,86], biological [1,74,75,76], and physiological factors [67,70,83,84,87,88]. For calculating the age of champions at the particular event, the year of birth and the exact date of event were considered. It was not possible to find all the exact dates of birth for each swimmer. The website from where the data analyzed in the present study were retrieved [89] provides only the year of birth of the athletes, but the exact date of events. Thus, we accepted this lack of precision on the assumption that the differences will compensate one another by a normal distribution. Consequently further research is needed on the age of peak swimming performance, its change over the years, and its comportment in different strokes and race distances as in the present study, in recent years and also at the international level. A further limitation is that we did not consider whether or not athletes were wearing non-textile suits/full-body suits during this period [90], a factor that might influence race time through its effect on passive drag [81,91]. Furthermore, beginning with the season 2013–2014, the Fédération Internationale de Natation (FINA) changed the rules for breaststroke swimming and, therefore, the new rule changes are likely to see faster swims [92].
4.6. Practical Applications
In swimming, longer race distances were completed at younger ages than shorter race distances. The opposite is true for running where older athletes were faster in longer races [93]. The knowledge about the changes in the age of champions over time could be of great interest for swimmers competing at the world class level, as well as for their coaches and sports managers.
5. Conclusions
These findings suggest, first, that female (~21 years) swimming champions were ~2 years younger compared to male (~23 years) champions for all strokes and distances competing at the world class level. Second, longer (200 m and over) race distances were completed by younger champions (~20–22 years) compared to shorter (50 m and 100 m) race distances (~22–24 years). Third, the age of champions remained stable over time in most strokes and distances. Fourth, swimming performance improved in all strokes and distances.
Author Contributions
Beat Knechtle drafted the manuscript, Stefan König collected the data, created the design of the study and helped drafting the manuscript, Stefanie Wild helped in collecting the data and drafting the manuscript, Thomas Rosemann participated in the design of the study and helped to draft, and Pantelis Theodoros Nikolaidis, Nicola Luigi Bragazzi and Christoph Alexander Rüst performed the statistical analyses and helped drafting the manuscript. All authors read and approved the final version of the manuscript.
Conflicts of Interest
The authors declare no conflict of interest.
References
- Schulz, R.; Curnow, C. Peak performance and age among superathletes: Track and field, swimming, baseball, tennis, and golf. J. Gerontol. 1988, 43, P113–P120. [Google Scholar] [CrossRef] [PubMed]
- Charles, J.D.; Bejan, A. The evolution of speed, size and shape in modern athletics. J. Exp. Biol. 2009, 212, 2419–2425. [Google Scholar] [CrossRef] [PubMed]
- König, S.; Valeri, F.; Wild, S.; Rosemann, T.; Rüst, C.A.; Knechtle, B. Change of the age and performance of swimmers across world championships and olympic games finals from 1992 to 2013—A cross-sectional data analysis. SpringerPlus 2014, 3. [Google Scholar] [CrossRef] [PubMed]
- Stanula, A.; Maszczyk, A.; Roczniok, R.; Pietraszewski, P.; Ostrowski, A.; Zajac, A.; Strzała, M. The development and prediction of athletic performance in freestyle swimming. J. Hum. Kinet. 2012, 32, 97–107. [Google Scholar] [CrossRef] [PubMed]
- O’Connor, L.M.; Vozenilek, J.A. Is it the athlete or the equipment? An analysis of the top swim performances from 1990 to 2010. J. Strength Cond. Res. 2011, 25, 3239–3241. [Google Scholar] [CrossRef] [PubMed]
- Zaccardi, N. Katie Ledecky Breaks Another World Record 2014. Available online: http://olympictalk.nbcsports.com/2014/06/22/katie-ledecky-800-world-record-swimming-olympics (accessed on 29 December 2015).
- Keith, B. Katie Ledecky Breaks World Record in Women’s 1500 m Freestyle 2014. Available online: https://swimswam.com/katie-ledecky-breaks-world-record-womens-1500-meter-freestyle (accessed on 2 March 2016).
- Hope, N. World Swimming Championships: Ruta Meilutyte Storms to Record 2013. Available online: http://www.bbc.com/sport/0/swimming/23491784 (accessed on 29 December 2015).
- Meilutyte Sets World Record in 50 Meters Breaststroke. Available online: http://www.reuters.com/article/us-swimming-world-meilutyte-record-idUSBRE97208Y20130803 (accessed on 2 March 2016).
- Rogers, I. Russia’s Efimova Wins 200 m Breaststroke Gold 2013. Available online: http://www.reuters.com/article/us-swimming-world-women-breaststroke-idUSBRE9710Y020130802 (accessed on 2 March 2016).
- Memorable Moments. Available online: http://www.cesarcielo.com.br/home/en/?page_id=61 (accessed on 29 December 2015).
- Wires, N. Brazil’s Cesar Cielo Breaks 50 m Freestyle World Record 2009. Available online: http://www.france24.com/en/20091218-brazil-swimming-cesar-cielo-freestyle-world-record-frederick-bousquet (accessed on 29 December 2015).
- 200 m Freestyle World Record 2014. Available online: http://www.yourswimlog.com/200m-freestyle-world-record (accessed on 29 December 2015).
- Zhang Lin Breaks World Record and Swimsuit Matters 2009. Available online: http://www.chinahush.com/2009/07/30/zhang-lin-of-china-broke-the-world-record-becomes-the-first-chinese-male-swimmer-won-the-world-championship-gold-and-swimsuit-matters/ (accessed on on 2 March 2016).
- Jeffery, N. Brenton Rickard Wins Breaststroke Gold for Australia at World Swimming Championships 2009. Available online: http://www.news.com.au/entertainment/celebrity-life/brenton-rickard-wins-breaststroke-gold-for-australia-at-world-swimming-championships/story-e6frfmqr-1225755358351 (accessed on 29 December 2015).
- Gennaro, T. Daniel Gyurta Lowers His scm 200 Breaststroke World Record in Dubai. Available online: http://swimswam.com/daniel-gyurta-lowers-scm-200-breaststroke-world-record-dubai (accessed on 29 December 2015).
- Japan’s Junya Koga Wins Men’s 100 m Backstroke Final 2009. Available online: http://english.sina.com/sports/2009/0728/259022.html (accessed on 29 December 2015).
- Flash! Aaron Peirsol Reclaims World Record, Smashes 52-s Barrier 2009. Available online: http://www.swimmingworldmagazine.com/news/usa-swimming-national-championships-flash-aaron-peirsol-reclaims-world-record-smashes-52-second-barrier-swimmingworld-tv-interview-included (accessed on 29 December 2015).
- 2009 Fina World Championships in Rome, Michael Phelps v Milorad Cavic in the 100 Butterfly. Available online: http://swimswam.com/10-michael-phelps-world-record-races-video (accessed on 29 December 2015).
- Crouse, K. Phelps Grabs Record in 100 Butterfly 2009. Available online: http://www.nytimes.com/2009/08/02/sports/02swim.html?_r=1 (accessed on 2 March 2016).
- Ryan Lochte Sets World Record in 200 IM. Available online: http://www.usatoday.com/story/sports/olympics/2012/12/15/ryan-lochte-world-record-200-meter-im/1770995/ (accessed on 2 March 2016).
- Schmitt, A. Commemorating this Day in London 2012: Allison Schmitt 2013. Available online: http://www.teamusa.org/News/2013/July/31/Commemorating-This-Day-In-London-2012-Allison-Schmitt (accessed on 29 December 2015).
- 400 m Freestyle Women. Available online: http://www.olympic.org/swimming-400m-freestyle-women (accessed on 29 December 2015).
- Missy Franklin Biography. Available online: http://www.biography.com/people/missy-franklin-20903291 (accessed on 29 December 2015).
- Crouse, K. Franklin, Racing between Races, Squeezes in Gold 2012. Available online: http://www.nytimes.com/2012/07/31/sports/olympics/monday-olympics-swimming.html?pagewanted=all (accessed on 2 March 2016).
- Dana Vollmer Gets Gold with World Record 100-m. Butterfly. Available online: http://www.cbsnews.com/news/dana-vollmer-gets-gold-with-world-record-100-m-butterfly/ (accessed on 2 March 2016).
- Brady, E. American Dana Vollmer Sets World Record in 100 Fly 2012. Available online: http://usatoday30.usatoday.com/sports/olympics/london/swimming/story/2012-07-29/dana-vollmer-world-record-butterfly-olympics/56575462/1 (accessed on 29 December 2015).
- Thompson, N. Ye Shiwen’s “Unbelievable” Swims Are Talk of Olympics 2012. Available online: http://edition.cnn.com/2012/07/31/sport/olympics-china-ye-shiwen-profile (accessed on 29 December 2015).
- Xinhua. Ye Breaks World Record and Wins Women’s 400 m Medley Gold 2012. Available online: http://english.cntv.cn/20120729/101020.shtml (accessed on 29 December 2015).
- Xinhua. Sun Yang Breaks World Record in 1500 m Freestyle 2012. Available online: http://www.chinadaily.com.cn/2012olympics/2012-08/05/content_15645095.htm (accessed on 29 December 2015).
- Cameron van der Burgh Takes Gold in Men’s 100 m Breaststroke Final 2012. Available online: http://mg.co.za/article/2012-07-29-cameron-van-der-burgh-takes-gold-in-mens-100m-breaststroke-final (accessed on 29 December 2015).
- Olympics Swimming: Cameron van der Burgh Wins 100 m Breaststroke 2012. Available online: http://www.bbc.com/sport/0/olympics/18904545 (accessed on 29 December 2015).
- London 2012 Swimming: Usa’s Matt Grevers Wins 100 m Backstroke Gold Medal 2012. Available online: http://sports.ndtv.com/swimming/news/194428-london-2012-swimming-usas-matt-grevers-wins-100m-backstroke-gold-medal (accessed on 29 December 2015).
- Men’s 100 m Backstroke 2012. Available online: http://www.bbc.co.uk/sport/olympics/2012/sports/swimming/events/mens-100m-backstroke (accessed on 29 December 2015).
- Bull, A. London 2012: Phelps Beats Lochte to Win Olympic 200 m Individual Medley 2012. Available online: http://www.theguardian.com/sport/2012/aug/02/michael-phelps-beats-ryan-lochte (accessed on 29 December 2015).
- Beijing 2008 Olympic Swimming 200 m Free Gold Medal Final 2008. Available online: http://www.olympic.org/videos/beijing-2008-olympic-swimming-200m-free-gold-medal-final (accessed on 29 December 2015).
- Beijing 2008: Men’s 100 m Fly 2008. Available online: http://sportsscientists.com/2008/08/beijing-2008-mens-100-m-fly (accessed on 29 December 2015).
- Xinhua. Phelps Wins Olympic Men’s 200 m Butterfly Gold in World Record Time 2008. Available online: http://news.xinhuanet.com/english/2008-08/13/content_9244696.htm (accessed on 29 December 2015).
- Michael Phelps Wins First Gold in Beijing 2008. Available online: http://www.olympic.org/videos/michael-phelps-wins-first-gold-in-beijing (accessed on 29 December 2015).
- Michael Phelps Breaks Games Record in Heats of 400 m Individual Medley—Olympics 2008. Available online: http://www.telegraph.co.uk/sport/olympics/2529210/Michael-Phelps-breaks-Games-record-in-heats-of-400m-individual-medley-Olympics-2008.html (accessed on 29 December 2015).
- Auerbach, N. Bored in Retirement, Michael Phelps Happy to Be back at U.S. Nationals 2014. Available online: http://www.usatoday.com/story/sports/olympics/2014/08/04/michael-phelps-us-national-swimming-championships/13574029 (accessed on 29 December 2015).
- Park, A. After Ending Career with a Gold, Is Phelps the Greatest Olympian of All Time? Available online: http://olympics.time.com/2012/08/04/after-ending-career-with-a-gold-is-phelps-the-greatest-olympian-of-all-time (accessed on 29 December 2015).
- Michael pheLps Plans His Comeback 2014. Available online: http://espn.go.com/olympics/swimming/story/_/id/10946394/michael-phelps-solidifies-training-plan-leading-two-biggest-events-2014 (accessed on 29 December 2015).
- Forde, P. Reinvigorated Michael Phelps to Return to Pool with Eye on 2016 Olympics 2014. Available online: http://sports.yahoo.com/news/reinvigorated-michael-phelps-ends-retirement-with-eye-on-2016-olympics-172959662.html (accessed on 29 December 2015).
- Arrowsmith, R. Michael Phelps set to Take a Break from Swimming to “Better Understand Myself” Following Arrest for Drink Driving 2014. Available online: http://www.dailymail.co.uk/sport/othersports/article-2781380/Michael-Phelps-set-break-swimming-following-arrest-drink-driving.html (accessed on 29 December 2015).
- Predicting the 2016 U.S. Olympic Team by Age, Experience. Available online: https://swimswam.com/predicting-2016-u-s-olympic-team-age-experience/ (accessed on 14 February 2015).
- Ian Thorpe. Available online: http://www.databaseolympics.com/players/playerpage.htm?ilkid=THORPIAN01 (accessed on 29 December 2015).
- Thorpe risks reputation by jumping back in the pool. Available online: http://blogs.reuters.com/sport/2011/02/03/thorpe-risks-reputation-by-jumping-back-in-the-pool/ (accessed on 2 March 2016).
- Mason, P. Heroes of Swimming: Ian Thorpe 2014. Available online: http://www.theguardian.com/lifeandstyle/the-swimming-blog/2014/apr/15/heroes-of-swimming-ian-thorpe (accessed on 29 December 2015).
- Haack, M. Ian Thorpe Über Ein Comeback—“Sag Niemals Nie” 2014. Available online: http://www.welt.de/sport/article131338158/Ian-Thorpe-ueber-ein-Comeback-Sag-niemals-nie.html (accessed on 29 December 2015).
- Reed, S.; Bennet, L. Superswimmer Mark Spitz, 39, Aims for the ’92 Olympics 1990. Available online: http://connection.ebscohost.com/c/articles/9001151412/superswimmer-mark-spitz-39-aims-the-92-olympics (accessed on 2 March 2016).
- Mark Spitz. Available online: http://www.olympic.org/mark-spitz (accessed on 29 December 2015).
- Top 10 Failed Comeback Attempts 2011. Available online: http://www.nzherald.co.nz/sport/news/article.cfm?c_id=4&objectid=10767646 (accessed on 29 December 2015).
- Zaccardi, N. Swimmer Ed Moses Attempts Comeback; and Moreolympic Notes 2011. Available online: http://www.si.com/more-sports/2011/06/13/ed-mosesolympiccomeback (accessed on 29 December 2015).
- Watkins, M. Catching up with Ed Moses 2013. Available online: http://www.usaswimming.org/ViewNewsArticle.aspx?TabId=1801&itemid=5674&mid=13305 (accessed on 29 December 2015).
- Dara Torres, Race Results. Available online: http://www.sports-reference.com/olympics/athletes/to/dara-torres-1.html (accessed on 14 February 2015).
- Allen, S.V.; Vandenbogaerde, T.J.; Hopkins, W.G. Career performance trajectories of olympic swimmers: Benchmarks for talent development. Eur. J. Sport Sci. 2014, 14, 643–651. [Google Scholar] [CrossRef] [PubMed]
- Berthelot, G.; Len, S.; Hellard, P.; Tafflet, M.; Guillaume, M.; Vollmer, J.C.; Gager, B.; Quinquis, L.; Marc, A.; Toussaint, J.F. Exponential growth combined with exponential decline explains lifetime performance evolution in individual and human species. Age 2012, 34, 1001–1009. [Google Scholar] [CrossRef] [PubMed]
- Buhl, C.; Knechtle, B.; Rust, C.A.; Rosemann, T.; Lepers, R. A comparison of medley and freestyle performance for national and international swimmers between 1994 and 2011. Open Access J. Sports Med. 2013, 4, 79–87. [Google Scholar] [PubMed]
- Kollarz, C.; Knechtle, B.; Rüst, C.; Rosemann, T.; Lepers, R. Comparison of age of peak swimming speed in elite backstroke swimmers at national and international level. OA Sports Med. 2013, 1. [Google Scholar] [CrossRef]
- Kollarz, C.; Knechtle, B.; Rüst, C.A.; Rosemann, T.; Lepers, R. The age difference in peak performance of backstroke swimming between men and women: A cross sectional data analysis of backstroke and freestyle swimming in elite swiss swimmers from 2006 to 2010. Adapt. Med. 2013, 5, 171–180. [Google Scholar]
- Wolfrum, M.; Knechtle, B.; Rüst, C.A.; Rosemann, T.; Lepers, R. Sex-related differences and age of peak performance in breaststroke versus freestyle swimming. BMC Sports Sci. Med. Rehabil. 2013, 5. [Google Scholar] [CrossRef] [PubMed]
- Vaso, M.; Knechtle, B.; Rüst, C.A.; Rosemann, T.; Lepers, R. Age of peak swim speed and sex difference in performance in medley and freestyle swimming—A comparison between 200 m and 400 m in swiss elite swimmers. J. Hum. Sport Exerc. 2013, 8, 954–965. [Google Scholar] [CrossRef]
- Lepers, R.; Cattagni, T. Do older athletes reach limits in their performance during marathon running? Age 2012, 34, 773–781. [Google Scholar] [CrossRef] [PubMed]
- Gallmann, D.; Knechtle, B.; Rüst, C.A.; Rosemann, T.; Lepers, R. Elite triathletes in “ironman hawaii” get older but faster. Age 2014, 36, 407–416. [Google Scholar] [CrossRef] [PubMed]
- Fina. Available online: http://www.fina.org (accessed on 29 December 2015).
- Alexsandr Popow, Race Results. Available online: http://www.sports-reference.com/olympics/athletes/po/aleksandr-popov-2.html (accessed on 14 February 2015).
- Leichtathletik: Der 90-Jährige Marathonmann 2014. Available online: http://www.srf.ch/player/tv/sportaktuell/video/leichtathletik-der-90-jaehrige-marathonmann?id=6af06f30-49b7-45ea-a1be-1d5c4027258f (accessed on 29 December 2015).
- Mueller, S.M.; Knechtle, B.; Knechtle, P.; Toigo, M. Physiological alterations after a marathon in the first 90-year-old male finisher: Case study. SpringerPlus 2014, 3. [Google Scholar] [CrossRef] [PubMed]
- Tanaka, H.; Seals, D.R. Age and gender interactions in physiological functional capacity: Insight from swimming performance. J. Appl. Physiol. 1997, 82, 846–851. [Google Scholar] [PubMed]
- Ramsbottom, R.; Nevill, A.M.; Nevill, M.E.; Newport, S.; Williams, C. Accumulated oxygen deficit and short-distance running performance. J. Sports Sci. 1994, 12, 447–453. [Google Scholar] [CrossRef] [PubMed]
- Spriet, L.L. Anaerobic metabolism in human skeletal muscle during short-term, intense activity. Can. J. Physiol. Pharmacol. 1992, 70, 157–165. [Google Scholar] [CrossRef] [PubMed]
- Ghosh, A.K. Anaerobic threshold: Its concept and role in endurance sport. Malays. J. Med. Sci. 2004, 11, 24–36. [Google Scholar] [PubMed]
- Larsson, L.; Grimby, G.; Karlsson, J. Muscle strength and speed of movement in relation to age and muscle morphology. J. Appl. Physiol. Respir. Environ. Exerc. Physiol. 1979, 46, 451–456. [Google Scholar] [PubMed]
- Lata, H.; Walia, L. Ageing: Physiological aspects. JK Sci. 2007, 9, 111–115. [Google Scholar]
- Rodrigues, A.N.; Perez, A.J.; Carletti, L.; Bissoli, N.S.; Abreu, G.R. Maximum oxygen uptake in adolescents as measured by cardiopulmonary exercise testing: A classification proposal. J. Pediatria 2006, 82, 426–430. [Google Scholar] [CrossRef]
- Maximal Oxygen Uptake Norms. Available online: http://www.topendsports.com/testing/norms/vo2max.htm (accessed on 29 December 2015).
- Wheeler, M.D. Physical changes of puberty. Endocrinol. Metab. Clin. N. Am. 1991, 20, 1–14. [Google Scholar]
- Tanner, J.M.; Whitehouse, R.H.; Marshall, W.A.; Carter, B.S. Prediction of adult height from height, bone age, and occurrence of menarche, at ages 4 to 16 with allowance for midparent height. Arch. Dis. Child. 1975, 50, 14–26. [Google Scholar] [CrossRef] [PubMed]
- Rüst, C.A.; Knechtle, B.; Rosemann, T.; Lepers, R. The changes in age of peak swim speed for elite male and female swiss freestyle swimmers between 1994 and 2012. J. Sports Sci. 2014, 32, 248–258. [Google Scholar] [CrossRef] [PubMed]
- Chatard, J.C.; Wilson, B. Effect of fastskin suits on performance, drag, and energy cost of swimming. Med. Sci. Sports Exerc. 2008, 40, 1149–1154. [Google Scholar] [CrossRef] [PubMed]
- Koch-Ziegenbein, P.; Knechtle, B.; Rüst, C.; Rosemann, T.; Lepers, R. Differences in swimming speed on short course and long course for female and male breaststroke swimmers—A comparison of swimmers at national and international level. OA Sports Med. 2013, 1, 18. [Google Scholar] [CrossRef]
- Nevill, A.M.; Whyte, G.P.; Holder, R.L.; Peyrebrune, M. Are there limits to swimming world records? Int. J. Sports Med. 2007, 28, 1012–1017. [Google Scholar] [CrossRef] [PubMed]
- Lätt, E.; Jürimäe, J.; Mäestu, J.; Purge, P.; Rämson, R.; Haljaste, K.; Keskinen, K.L.; Rodriguez, F.A.; Jürimäe, T. Physiological, biomechanical and anthropometrical predictors of sprint swimming performance in adolescent swimmers. J. Sports Sci. Med. 2010, 9, 398–404. [Google Scholar] [PubMed]
- Siders, W.A.; Lukaski, H.C.; Bolonchuk, W.W. Relationships among swimming performance, body composition and somatotype in competitive collegiate swimmers. J. Sports Med. Phys. Fit. 1993, 33, 166–171. [Google Scholar]
- Zampagni, M.L.; Casino, D.; Benelli, P.; Visani, A.; Marcacci, M.; De Vito, G. Anthropometric and strength variables to predict freestyle performance times in elite master swimmers. J. Strength Cond. Res. 2008, 22, 1298–1307. [Google Scholar] [CrossRef] [PubMed]
- Jürimäe, J.; Haljaste, K.; Cicchella, A.; Lätt, E.; Purge, P.; Leppik, A.; Jürimäe, T. Analysis of swimming performance from physical, physiological, and biomechanical parameters in young swimmers. Pediatr. Exerc. Sci. 2007, 19, 70–81. [Google Scholar] [PubMed]
- Zamparo, P. Effects of age and gender on the propelling efficiency of the arm stroke. Eur. J. Appl. Physiol. 2006, 97, 52–58. [Google Scholar] [CrossRef] [PubMed]
- Worldwide swimming ranking. Available online: www.swimrankings.net (accessed on 2 March 2016).
- Fina Approved Swimwear. Available online: http://www.fina.org/content/fina-approved-swimwear (accessed on 14 February 2015).
- Cortesi, M.; Fantozzi, S.; Di Michele, R.; Zamparo, P.; Gatta, G. Passive drag reduction using full-body swimsuits: The role of body position. J. Strength Cond. Res./Natl. Strength Cond. Assoc. 2014, 28, 3164–3171. [Google Scholar] [CrossRef] [PubMed]
- Fina Announces Another Rules Change to Breaststroke Pullouts. Available online: https://swimswam.com/fina-announces-another-rules-change-breaststroke-pullouts/ (accessed on 14 February 2015).
- Knechtle, B.; Valeri, F.; Zingg, M.A.; Rosemann, T.; Rüst, C.A. What is the age for the fastest ultra-marathon performance in time-limited races from 6 h to 10 days? Age 2014, 36, 9715. [Google Scholar] [CrossRef] [PubMed]
© 2016 by the authors; licensee MDPI, Basel, Switzerland. This article is an open access article distributed under the terms and conditions of the Creative Commons by Attribution (CC-BY) license (http://creativecommons.org/licenses/by/4.0/).








