Comparison of the PUSH Band 2.0 and Vicon Motion Capture to Measure Concentric Movement Velocity during the Barbell Back Squat and Bench Press
Abstract
1. Introduction
2. Materials and Methods
2.1. Experimental Approach to the Problem
2.2. Subjects
2.3. Procedures
2.4. Statistical Analyses
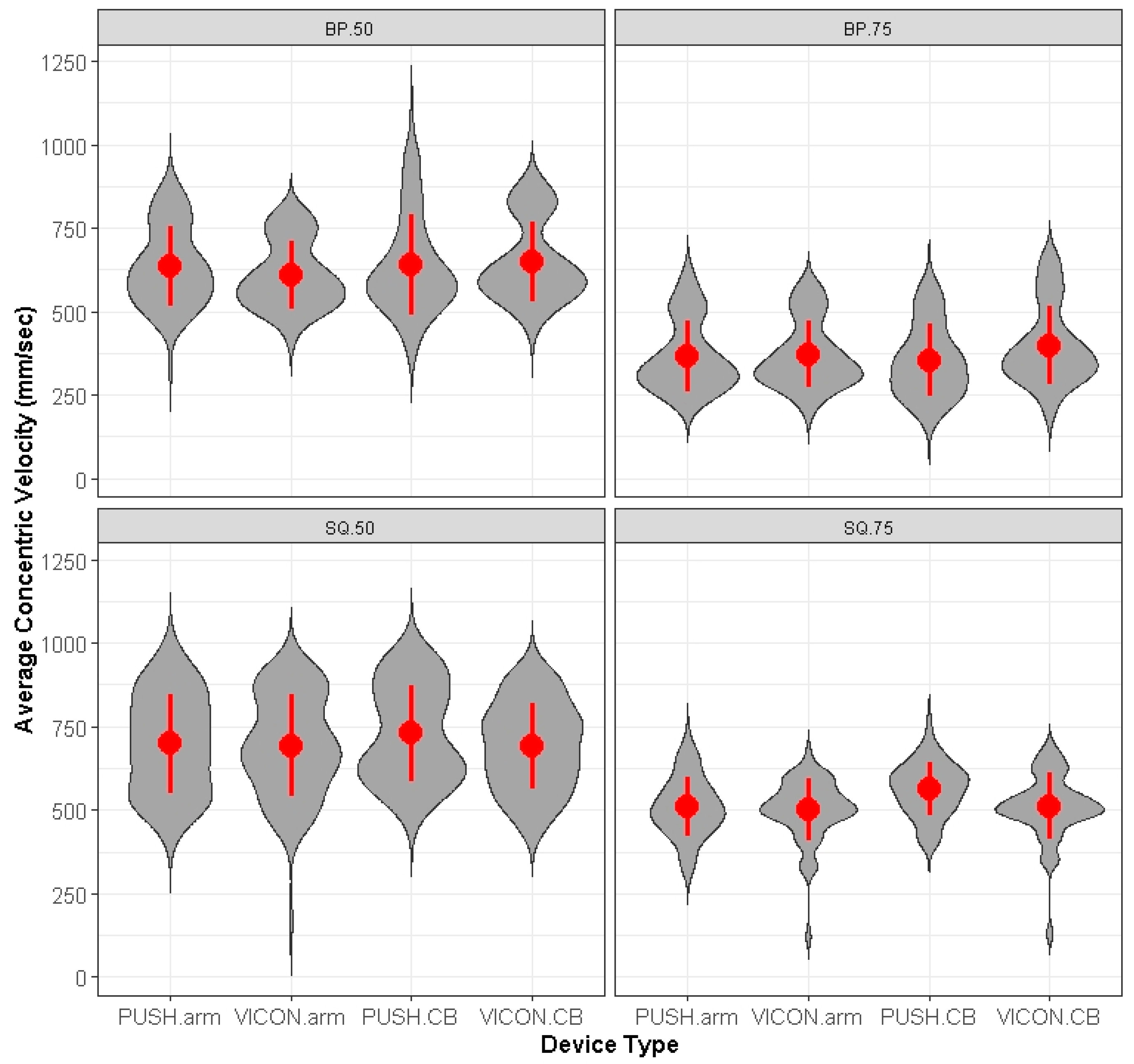
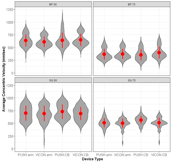
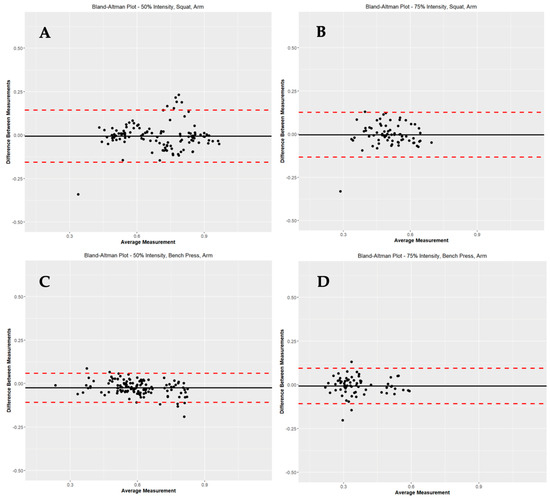
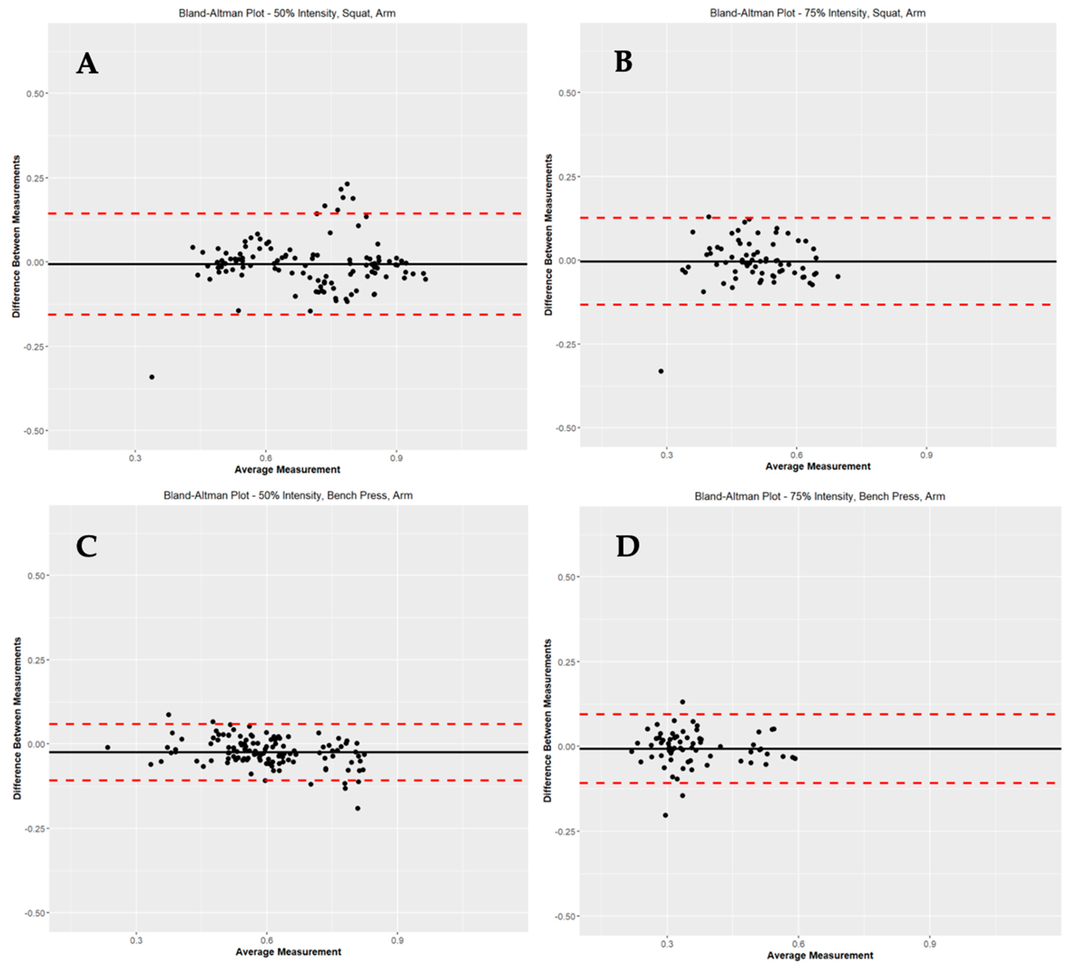
3. Results
4. Discussion
5. Conclusions
Author Contributions
Funding
Institutional Review Board Statement
Informed Consent Statement
Data Availability Statement
Conflicts of Interest
References
- Włodarczyk, M.; Adamus, P.; Zieliński, J.; Kantanista, A. Effects of velocity-based training on strength and power in elite athletes-A systematic review. Int. J. Environ. Res. Public Health 2021, 18, 5257. [Google Scholar] [CrossRef] [PubMed]
- Sánchez-Moreno, M.; Rodríguez-Rosell, D.; Pareja-Blanco, F.; Mora-Custodio, R.; González-Badillo, J.J. Movement velocity as indicator of relative intensity and level of effort attained during the set in pull-up exercise. Int. J. Sport. Physiol. Perform. 2017, 12, 1378–1384. [Google Scholar] [CrossRef] [PubMed]
- Pareja-Blanco, F.; Rodríguez-Rosell, D.; Sánchez-Medina, L.; Gorostiaga, E.M.; González-Badillo, J.J. Effect of movement velocity during resistance training on neuromuscular performance. Int. J. Sport. Med. 2014, 35, 916–924. [Google Scholar] [CrossRef] [PubMed]
- Pareja-Blanco, F.; Rodríguez-Rosell, D.; Sánchez-Medina, L.; Sanchis-Moysi, J.; Dorado, C.; Mora-Custodio, R.; Yañez-García, J.M.; Morales-Alamo, D.; Pérez-Suárez, I.; Calbet, J.A.L.; et al. Effects of velocity loss during resistance training on athletic performance, strength gains and muscle adaptations. Scan. J. Med. Sci. Sport. 2017, 27, 724–735. [Google Scholar] [CrossRef] [PubMed]
- Pareja-Blanco, F.; Sánchez-Medina, L.; Suárez-Arrones, L.; González-Badillo, J.J. Effects of velocity loss during resistance training on performance in professional soccer players. Int. J. Sport. Physiol. Perform. 2017, 12, 512–519. [Google Scholar] [CrossRef] [PubMed]
- Loturco, I.; Kobal, R.; Moraes, J.E.; Kitamura, K.; Cal Abad, C.C.; Pereira, L.A.; Nakamura, F.Y. Predicting the maximum dynamic strength in bench press: The high precision of the bar velocity approach. J. Strength Cond. Res. 2017, 31, 1127–1131. [Google Scholar] [CrossRef] [PubMed]
- González-Badillo, J.J.; Yañez-García, J.M.; Mora-Custodio, R.; Rodríguez-Rosell, D. Velocity loss as a variable for monitoring resistance exercise. Int. J. Sport. Med. 2017, 38, 217–225. [Google Scholar] [CrossRef] [PubMed]
- Balsalobre-Fernández, C.; Kuzdub, M.; Poveda-Ortiz, P.; Campo-Vecino, J.D. Validity and reliability of the push wearable device to measure movement velocity during the back squat exercise. J. Strength Cond. Res. 2016, 30, 1968–1974. [Google Scholar] [CrossRef] [PubMed]
- Banyard, H.G.; Nosaka, K.; Sato, K.; Haff, G.G. Validity of various methods for determining velocity, force and power in the backsquat. Int. J. Sport. Physiol. Perform. 2017, 12, 1170–1176. [Google Scholar] [CrossRef] [PubMed]
- Callaghan, D.E.; Guy, J.H.; Elsworthy, N.; Kean, C. Validity of the push band 2.0 and speed4lifts to measure velocity during upper and lower body free-weight resistance exercises. J. Sport. Sci. 2022, 40, 968–975. [Google Scholar] [CrossRef] [PubMed]
- Fritschi, R.; Seiler, J.; Gross, M. Validity and effects of placement of velocity-based training devices. Sports 2021, 9, 123. [Google Scholar] [CrossRef] [PubMed]
- Orange, S.T.; Metcalfe, J.W.; Liefeith, A.; Marshall, P.; Madden, L.A.; Fewster, C.R.; Vince, R.V. Validity and reliability of a wearable inertial sensor to measure velocity and power in the back squat and bench press. J. Strength Cond. Res. 2019, 33, 2398–2408. [Google Scholar] [CrossRef] [PubMed]
- Thompson, S.W.; Rogerson, D.; Dorrell, H.F.; Ruddock, A.; Barnes, A. The reliability and validity of current technologies for measuring barbell velocity in the free-weight back squat and power clean. Sports 2020, 8, 94. [Google Scholar] [CrossRef] [PubMed]
- Lake, J.; Augustus, S.; Austin, K.; Comfort, P.; McMahon, J.; Mundy, P.; Haff, G.G. The reliability and validity of the bar-mounted push bandtm 2.0 during bench press with moderate and heavy loads. J. Sport. Sci. 2019, 37, 2685–2690. [Google Scholar] [CrossRef] [PubMed]
- Pérez-Castilla, A.; Piepoli, A.; Delgado-García, G.; Garrido-Blanca, G.; García-Ramos, A. Reliability and concurrent validity of seven commercially available devices for the assessment of movement velocity at different intensities during the bench press. J. Strength Cond. Res. 2019, 33, 1258–1265. [Google Scholar] [CrossRef] [PubMed]
- van den Tillaar, R.; Ball, N. Validity and reliability of kinematics measured with push band vs. linear encoder in bench press and push-ups. Sports 2019, 7, 207. [Google Scholar] [CrossRef] [PubMed]
- Clemente, F.M.; Akyildiz, Z.; Pino-Ortega, J.; Rico-González, M. Validity and reliability of the inertial measurement unit for barbell velocity assessments: A systematic review. Sensors 2021, 21, 2511. [Google Scholar] [CrossRef] [PubMed]
- R Core Team. R: A Language and Environment for Statistical Computing; R Foundation for Statistical Computing: Vienna, Austria, 2022; Available online: https://www.R-project.org/ (accessed on 11 November 2022).
- Chéry, C.; Ruf, L. Reliability of the load-velocity relationship and validity of the push to measure velocity in the deadlift. J. Strength Cond. Res. 2019, 33, 2370–2380. [Google Scholar] [CrossRef] [PubMed]
- Lake, J.P.; Augustus, S.; Austin, K.; Mundy, P.; McMahon, J.J.; Comfort, P.; Haff, G.G. The validity of the push band 2.0 during vertical jump performance. Sports 2018, 6, 140. [Google Scholar] [CrossRef] [PubMed]
- Sato, K.; Beckham, G.; Carroll, K.; Bazyler, C.; Sha, Z.; Haff, G.G. Validity of wireless devices measuring velocity of resistance exercises. J. Trainology 2015, 4, 15–18. [Google Scholar] [CrossRef] [PubMed]


| Variable | Mean ± SD |
|---|---|
| Age (years) | 26.0 ± 5.5 |
| RE experience (years) | 10.7 ± 5.6 |
| Height (cm) | 175.6 ± 4.9 |
| Weight (kg) | 96.3 ± 15.8 |
| % fat | 23.4 ± 8.4 |
| Relative SQ 1RM | 1.77 ± 0.30 |
| Relative BP 1RM | 1.23 ± 0.23 |
| Reliability | Error | Bias | |||||
|---|---|---|---|---|---|---|---|
| RE | Intensity | Position | Accuracy | Correlation (r) | ICC | MAE (m/s) | ME |
| BP | 50 | Arm | 93.80 | 0.949 | 0.961 | 0.04 | 0.03 |
| SQ | 50 | Arm | 92.93 | 0.870 | 0.931 | 0.05 | 0.01 |
| BP | 75 | Arm | 89.66 | 0.880 | 0.936 | 0.04 | 0.01 |
| SQ | 75 | Arm | 90.88 | 0.742 | 0.852 | 0.05 | 0.01 |
| BP | 50 | CB | 90.66 | 0.871 | 0.922 | 0.06 | −0.02 |
| SQ | 50 | CB | 93.91 | 0.947 | 0.955 | 0.05 | 0.04 |
| BP | 75 | CB | 86.14 | 0.847 | 0.890 | 0.05 | −0.03 |
| SQ | 75 | CB | 90.12 | 0.831 | 0.835 | 0.06 | 0.05 |
| BP | 50 | LB | 84.80 | 0.722 | 0.809 | 0.11 | −0.03 |
| SQ | 50 | LB | 91.24 | 0.815 | 0.889 | 0.07 | 0.03 |
| BP | 75 | LB | 86.71 | 0.839 | 0.910 | 0.05 | −0.02 |
| SQ | 75 | LB | 89.41 | 0.863 | 0.835 | 0.07 | 0.06 |
| BP | 50 | RB | 87.76 | 0.773 | 0.828 | 0.10 | −0.01 |
| SQ | 50 | RB | 92.66 | 0.912 | 0.894 | 0.06 | 0.03 |
| BP | 75 | RB | 87.74 | 0.878 | 0.867 | 0.05 | −0.02 |
| SQ | 75 | RB | 87.570 | 0.826 | 0.671 | 0.08 | 0.07 |
| First Half of Repetitions | Last Half of Repetitions | |||||||
|---|---|---|---|---|---|---|---|---|
| RE | Intensity | Position | ICC | MAE (m/s) | Accuracy (%) | ICC | MAE (m/s) | Accuracy (%) |
| BP | 50 | Arm | 0.952 | 0.04 | 93.63 | 0.969 | 0.04 | 93.98 |
| SQ | 50 | Arm | 0.932 | 0.05 | 93.01 | 0.931 | 0.05 | 92.84 |
| BP | 75 | Arm | 0.933 | 0.06 | 90.84 | 0.913 | 0.06 | 90.48 |
| SQ | 75 | Arm | 0.974 | 0.04 | 95.37 | 0.939 | 0.06 | 92.45 |
| BP | 50 | CB | 0.873 | 0.10 | 86.69 | 0.718 | 0.12 | 82.94 |
| SQ | 50 | CB | 0.922 | 0.07 | 92.29 | 0.848 | 0.08 | 90.21 |
| BP | 75 | CB | 0.843 | 0.09 | 88.32 | 0.815 | 0.10 | 87.16 |
| SQ | 75 | CB | 0.960 | 0.05 | 93.71 | 0.925 | 0.07 | 91.59 |
| BP | 50 | LB | 0.937 | 0.04 | 91.03 | 0.899 | 0.04 | 88.95 |
| SQ | 50 | LB | 0.854 | 0.05 | 91.08 | 0.842 | 0.05 | 90.14 |
| BP | 75 | LB | 0.803 | 0.08 | 82.82 | 0.941 | 0.04 | 89.33 |
| SQ | 75 | LB | 0.861 | 0.04 | 91.75 | 0.843 | 0.06 | 89.44 |
| BP | 50 | RB | 0.867 | 0.05 | 88.62 | 0.925 | 0.05 | 86.25 |
| SQ | 50 | RB | 0.867 | 0.06 | 90.31 | 0.817 | 0.06 | 89.26 |
| BP | 75 | RB | 0.903 | 0.06 | 86.17 | 0.925 | 0.04 | 88.60 |
| SQ | 75 | RB | 0.828 | 0.07 | 88.10 | 0.789 | 0.078 | 87.37 |
| Contrast | Estimate | SE | Df | T-Ratio | p-Value |
|---|---|---|---|---|---|
| MC arm to MC CB | −0.03 | 0.01 | 2886.22 | −4.39 | 0.00 * |
| MC arm to MC LB | −0.04 | 0.01 | 2886.05 | −6.10 | 0.00 * |
| MC arm to MC RB | −0.04 | 0.01 | 2886.03 | −7.83 | 0.00 * |
| MC CB to MC LB | −0.01 | 0.01 | 2886.30 | −1.63 | 0.73 |
| MC CB to MC RB | −0.02 | 0.01 | 2886.19 | −3.27 | 0.02 * |
| MC LB to MC RB | −0.01 | 0.01 | 2886.11 | −1.64 | 0.72 |
| Push arm to MC arm | 0.01 | 0.0 | 2886.00 | 2.14 | 0.39 |
| Push CB to MC CB | 0.01 | 0.0 | 2886.00 | 2.14 | 0.39 |
| Push LB to MC LB | 0.01 | 0.0 | 2886.00 | 2.14 | 0.39 |
| Push RB to MC RB | 0.01 | 0.0 | 2886.00 | 2.14 | 0.39 |
| SQ 50 Arm (n = 115) | SQ 50 CB (n = 100) | BP 50 Arm (n = 120) | 50 BP CB (n = 116) | SQ 75 Arm (n = 70) | SQ 75 CB (n = 59) | BP 75 Arm (n = 66) | BP 75 CB (n = 72) | |
|---|---|---|---|---|---|---|---|---|
| MC | 0.697 (0.151) | 0.672 (0.133) | 0.587 (0.117) | 0.621 (0.142) | 0.505 (0.094) | 0.514 (0.102) | 0.361 (0.097) | 0.386 (0.117) |
| PUSH | 0.703 (0.149) | 0.707 (0.148) | 0.611 (0.132) | 0.603 (0.168) | 0.507 (0.091) | 0.559 (0.087) | 0.368 (0.098) | 0.346 (0.102) |
| Mean Diff. | −0.006 | −0.035 | −0.024 | 0.017 | −0.002 | −0.045 | −0.007 | 0.040 |
| (95% CI) | (−0.156, 0.144) | (−0.129, 0.059) | (−0.107, 0.059) | (−0.144, 0.179) | (−0.132, 0.127) | (−0.153, 0.063) | (−0.108, 0.095) | (−0.089, 0.168) |
| SQ 50 Arm | SQ 50 CB | BP 50 Arm | 50 BP CB | SQ 75 Arm | SQ 75 CB | BP 75 Arm | BP 75 CB | |
|---|---|---|---|---|---|---|---|---|
| Slope | 1.897 | −2.887 | −2.889 | −1.815 | 1.308 | 1.639 | −1.819 | 1.590 |
| (95% CI) | (1.577, 2.283) * | (−3.488, −2.390) * | (−3.423, −2.438) * | (−2.161, −1.524) * | (1.029, 1.662) * | (1.274, 2.109) * | (−2.329, −1.421) * | (1.265, 2.000) * |
| Intercept | 0.711 | 0.588 | 0.528 | 0.643 | 0.509 | 0.611 | 0.352 | 0.303 |
| (95% CI) | (0.709, 0.713) ** | (0.567, 0.605) ** | (0.515, 0.539) ** | (0.638, 0.649) ** | (0.509, 0.511) ** | (0.594, 0.632) ** | (0.349, 0.355) ** | (0.287, 0.316) ** |
Disclaimer/Publisher’s Note: The statements, opinions and data contained in all publications are solely those of the individual author(s) and contributor(s) and not of MDPI and/or the editor(s). MDPI and/or the editor(s) disclaim responsibility for any injury to people or property resulting from any ideas, methods, instructions or products referred to in the content. |
© 2022 by the authors. Licensee MDPI, Basel, Switzerland. This article is an open access article distributed under the terms and conditions of the Creative Commons Attribution (CC BY) license (https://creativecommons.org/licenses/by/4.0/).
Share and Cite
Pelka, E.Z.; Gadola, C.; McLaughlin, D.; Slattery, E.; Claytor, R.P. Comparison of the PUSH Band 2.0 and Vicon Motion Capture to Measure Concentric Movement Velocity during the Barbell Back Squat and Bench Press. Sports 2023, 11, 6. https://doi.org/10.3390/sports11010006
Pelka EZ, Gadola C, McLaughlin D, Slattery E, Claytor RP. Comparison of the PUSH Band 2.0 and Vicon Motion Capture to Measure Concentric Movement Velocity during the Barbell Back Squat and Bench Press. Sports. 2023; 11(1):6. https://doi.org/10.3390/sports11010006
Chicago/Turabian StylePelka, Edward Z., Carter Gadola, Daniel McLaughlin, Eric Slattery, and Randal P. Claytor. 2023. "Comparison of the PUSH Band 2.0 and Vicon Motion Capture to Measure Concentric Movement Velocity during the Barbell Back Squat and Bench Press" Sports 11, no. 1: 6. https://doi.org/10.3390/sports11010006
APA StylePelka, E. Z., Gadola, C., McLaughlin, D., Slattery, E., & Claytor, R. P. (2023). Comparison of the PUSH Band 2.0 and Vicon Motion Capture to Measure Concentric Movement Velocity during the Barbell Back Squat and Bench Press. Sports, 11(1), 6. https://doi.org/10.3390/sports11010006
