Optimizing Western Flower Thrips Management on French Beans by Combined Use of Beneficials and Imidacloprid
Abstract
:1. Introduction
2. Materials and Methods
2.1. Experimental Site
2.2. Insect
2.3. Crop
2.4. Fungus
2.5. Predatory Mite
2.6. Insecticide
2.7. Treatments
2.8. Evaluation of Treatments
2.9. Statistical Analyses
3. Results
3.1. Western Flower Thrips Population Densities over Time by Plant Tapping
3.1.1. Adult Western Flower Thrips
= application of imidacloprid in respective treatments;
= release of Neoseiulus cucumeris in respective treatments; and
= application of Metarhizium anisopliae in respective treatments.
= application of imidacloprid in respective treatments;
= release of Neoseiulus cucumeris in respective treatments; and
= application of Metarhizium anisopliae in respective treatments.
3.1.2. Western Flower Thrips Larvae
= application of imidacloprid in respective treatments;
= release of Neoseiulus cucumeris in respective treatments; and
= application of Metarhizium anisopliae in respective treatments.
= application of imidacloprid in respective treatments;
= release of Neoseiulus cucumeris in respective treatments; and
= application of Metarhizium anisopliae in respective treatments.
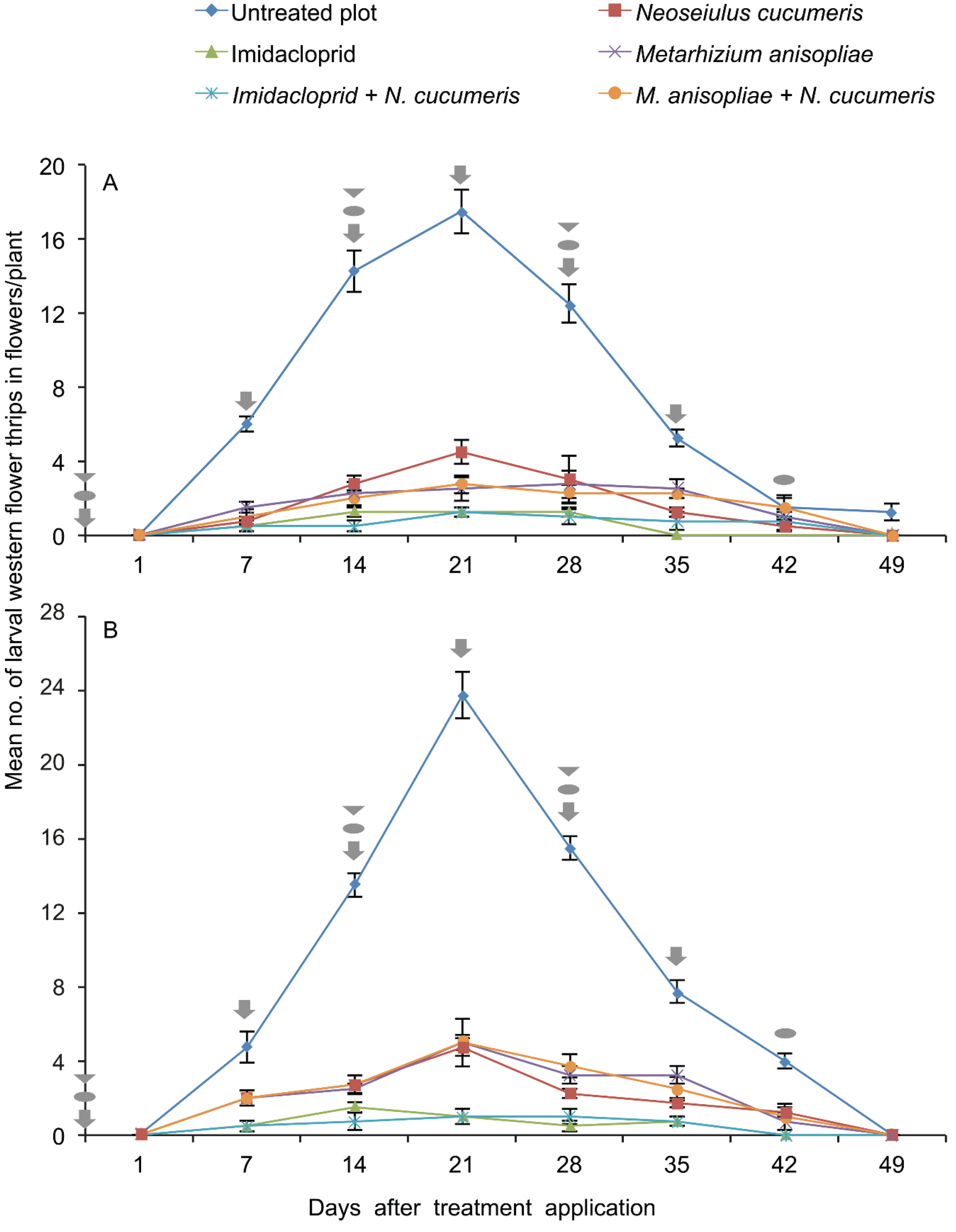
3.2. Western Flower Thrips Population Densities in Flowers
3.2.1. Adult Western Flower Thrips
3.2.2. Western Flower Thrips Larvae

3.3. Pod Yield and Yield Losses due to Thrips Feeding
| Planting I (March–June 2011) | Planting II (June–September 2011) | |||||||
|---|---|---|---|---|---|---|---|---|
| Treatment | Pod Yield (kg/ha) | Yield Loss due to Thrips Damage [kg/ha (%)] | Damage Score due to Thrips Feeding | Benefit-Cost Ratio | Pod Yield (kg/ha) | Yield Loss due to Thrips Damage [kg/ha (%)] | Damage Score due to Thrips Feeding | Benefit-cost ratio |
| Untreated plot | 2023.8 + 178.0 c | 1416.6 (70) | 4.00 a | - | 2809.5 + 177.7 c | 2017.1 (75) | 4.25 a | |
| Neoseiulus cucumeris | 2500.0 + 218.8 cb | 1250.0 (50) | 2.25 b | 1.38 | 4214.3 + 266.3 b | 1938.5 (46) | 2.75 b | 2.51 |
| Metarhizium anisopliae | 3035.7 + 276.0 cb | 758.9 (25) | 2.25 b | 2.62 | 4297.6 + 272.4 b | 1289.2 (30) | 2.50 cb | 3.47 |
| M. anisopliae + N. cucumeris | 2440.5 + 213.9 cb | 561.3 (23) | 1.75 cb | 1.06 | 4571.4 + 287.7 ab | 1142.8 (25) | 2.25 cbd | 1.93 |
| Imidacloprid | 4785.7 + 418.6 a | 239.2 (5) | 1.25 c | 2.98 | 5785.7 + 364.2 a | 462.8 (8) | 1.25 d | 3.49 |
| Imidacloprid + N. cucumeris | 3690.5 + 324.8 b | 147.6 (4) | 1.25 c | 1.46 | 5595.2 + 352.1 ab | 335.7 (6) | 1.50 d | 2.16 |
| F5,15 | 9.66 | 27.33 | 9.60 | 15.22 | ||||
| P-value | 0.0003 | <0.001 | 0.0003 | <0.001 | ||||
| Item | Cost Description | Cost (USD/ha/Planting Period; 1 US$ = 80 KES) |
|---|---|---|
| 1 | Cost of insecticide (imidacloprid) used | 1042 |
| Cost of knapsack hire for insecticide application | 130 | |
| Cost of spraying insecticide | 163 | |
| 2 | Cost of predatory mites (Neoseiulus cucumeris) used | 577 |
| Cost of releasing predatory mites | 217 | |
| 3 | Cost of entomopathogenic fungi (Metarhizium anisopliae) used | 174 |
| Cost of knapsack hire for entomopathogenic fungi application | 260 | |
| Cost of spraying entomopathogenic fungi | 326 | |
| 4 | Free market price of French beans (1 kg) at the time of the experiment | 0.875 |
4. Discussion
5. Conclusions
Acknowledgments
Author Contributions
Conflicts of Interest
References
- HCDA (Horticultural Crops Development Authority) Horticultural Export Statistics for January–December, 2009; Horticultural Crops Development Authority: Nairobi, Kenya, 2010.
- Nderitu, J.H.; Wambua, E.M.; Olubayo, F.; Kasina, M.J.; Waturu, C.N. Management of thrips (Thysanoptera: Thripidae) infestation on French beans (Phaseolus vulgaris L.) in Kenya by combination of insecticides and varietal resistance. J. Entomol. 2007, 4, 469–473. [Google Scholar]
- Nyasani, J.O.; Meyhöfer, R.; Subramanian, S.; Poehling, H.-M. Effect of intercrops on thrips species composition and population abundance on French beans in Kenya. Entomol. Exp. Appl. 2012, 142, 236–246. [Google Scholar] [CrossRef]
- Nyasani, J.O.; Meyhöfer, R.; Subramanian, S.; Poehling, H.-M. Feeding and oviposition preference of Frankliniella occidentalis for crops and weeds in Kenyan French bean fields. J. Appl. Entomol. 2013, 137, 204–213. [Google Scholar] [CrossRef]
- Berndt, O.; Meyhöfer, R.; Poehling, H.-M. The edaphic phase in the ontogenesis of Frankliniella occidentalis and comparison of Hypoaspis miles and Hypoaspis aculeifer as predators of soil-dwelling thrips stages. Biol. Control 2004, 30, 17–24. [Google Scholar] [CrossRef]
- Jensen, S. Insecticide resistance in western flower thrips Frankliniella occidentalis. Integr. Pest Manag. Rev. 2000, 5, 131–146. [Google Scholar] [CrossRef]
- Nderitu, J.H.; Kasina, M.J.; Nyamasyo, G.N.; Waturu, C.N.; Aura, J. Management of thrips (Thysanoptera: Thripidae) on French beans (Fabaceae) in Kenya: Economics of insecticide application. J. Entomol. 2008, 5, 148–155. [Google Scholar] [CrossRef]
- Gentz, M.C.; Murdoch, G.; King, G.F. Tandem use of selective insecticides and natural enemies for effective, reduced-risk pest management. Biol. Control 2010, 52, 208–215. [Google Scholar] [CrossRef]
- Maniania, N.K.; Ekesi, S.; Löhr, B.; Mwangi, F. Prospects for biological control of the western flower thrips, Frankliniella occidentalis, with the entomopathogenic fungus, Metarhizium anisopliae, on chrysanthemum. Mycopathologia 2002, 155, 229–235. [Google Scholar] [CrossRef] [PubMed]
- Shipp, J.L.; Ramakers, P.M.J. Biological Control of Thrips on Vegetable Crops. In BioControl in Protected Culture; Heinz, K.M., van Driesche, R.M., Parrella, M.P., Eds.; Ball Publishing: Batavia, IL, USA, 2004; pp. 265–276. [Google Scholar]
- Zilahi-balogh, G.M.G.; Shipp, J.L.; Cloutier, C.; Brodeur, J. Predation by Neoseiulus cucumeris on western flower thrips, and its oviposition on greenhouse cucumber under winter vs. summer conditions in a temperate climate. Biol. Control 2007, 40, 160–167. [Google Scholar]
- Niassy, S.; Maniania, N.K.; Subramanian, S.; Gitonga, L.M.; Ekesi, S. Performance of a semiochemical-baited autoinoculation device treated with Metarhizium anisopliae for control of Frankliniella occidentalis on French bean in field cages. Entomol. Exp. Appl. 2012, 142, 97–103. [Google Scholar] [CrossRef]
- Chung, B.K.; Kang, S.W.; Kwon, J.H. Chemical control system of Frankliniella occidentalis (Thysanoptera: Thripidae) in greenhouse eggplant. J. Asia Pac. Entomol. 2000, 3, 1–9. [Google Scholar] [CrossRef]
- Jaetzold, R.; Schmidt, H.; Hornetz, B.; Shisanya, C. Part C East Kenya. Subpart C1 Eastern Province. In Farm Management Handbook of Kenya Vol. II. Natural Conditions and Farm Management Information; Ministry of Agriculture: Nairobi, Kenya, 2007. [Google Scholar]
- Moritz, G.; Mound, L.A.; Morris, D.C.; Goldarazena, A. Pest Thrips of the World. An Identification and Information System Using Molecular and Microscopical Methods; Centre for Pest Information Technology and Transfer, The University of Queensland: Brisbane, Australia, 2004. [Google Scholar]
- Moritz, G.; Brandt, S.; Triapitsyn, S.; Subramanian, S. Identification and Information Tools for Pest Thrips in East Africa; QAAFI Biological Information Technology (QBIT), The University of Queensland: Brisbane, Australia, 2013. [Google Scholar]
- Nyasani, J.O.; Meyhöfer, R.; Subramanian, S.; Poehling, H.-M. Seasonal abundance of Frankliniella occidentalis and its natural enemies in different French bean agroecosystems in Kenya. J. Pest Sci. 2013, 86, 515–523. [Google Scholar] [CrossRef]
- Ekesi, S.; Maniania, N.K.; Onu, I. Potential of the entomopathogenic fungus, Metarhizium anisopliae (Metsch.) Sorokin for control of the legume flower thrips, Megalurothrips sjostedti (Trybom) on cowpea in Kenya. Crop Prot. 1998, 17, 661–668. [Google Scholar]
- Kim, J.H.; Broadbent, A.B.; Lee, S.G. Quality control of the mass-reared predatory mite, Amblyseius cucumeris (Acarina: Phytoseiidae). J. Asia Pac. Entomol. 2001, 4, 175–179. [Google Scholar] [CrossRef]
- Niassy, S.; Maniania, N.K.; Subramanian, S.; Gitonga, M.L.; Maranga, R.; Obonyo, A.B.; Ekesi, S. Compatibility of Metarhizium anisopliae isolate ICIPE 69 with agrochemicals used in French bean production. Int. J. Pest Manag. 2012, 58, 131–137. [Google Scholar] [CrossRef]
- Pearsall, I.A.; Myers, J.H. Evaluation of sampling methodology for determining the phenology, relative density, and dispersion of western flower thrips (Thysanoptera: Thripidae) in nectarine orchards. J. Econ. Entomol. 2000, 93, 494–502. [Google Scholar] [CrossRef] [PubMed]
- McKenzie, C.L.; Cartwright, B.; Miller, M.E.; Edelson, J.V. Injury to onions by Thrips tabaci (Thysanoptera: Thripidae) and its role in the development of purple blotch. Environmental Entomology. Environ. Entomol. 1993, 22, 1266–1277. [Google Scholar] [CrossRef]
- R Development Core Team. R: A Language and Environment for Statistical Computing, R Foundation for Statistical Computing: Vienna, Austria, 2013.
- Fox, J. The R commander: A basic-statistics graphical user interface to R. J. Stat. Softw. 2005, 19, 1–42. [Google Scholar]
- Gramlich, E.M. Benefit-Cost Analysis of Government Programs; Prentice-Hall: Englewood Cliffs, NJ, USA, 1981. [Google Scholar]
- Ekesi, S.; Maniania, N.; Ampong-Nyarko, K.; Akpa, A. Importance of timing of application of the entomopathogenic fungus, Metarhizium anisopliae for the control of legume flower thrips, Megalurothrips sjostedti and its persistence on cowpea. Arch. Phytopathol. Plant Prot. 2001, 33, 431–445. [Google Scholar] [CrossRef]
- Maniania, N.; Sithanantham, S.; Ekesi, S.; Ampong-Nyarko, K.; Baumgärtner, J.; Löhr, B.; Matoka, C. A field trial of the entomogenous fungus Metarhizium anisopliae for control of onion thrips, Thrips tabaci. Crop Prot. 2003, 22, 553–559. [Google Scholar] [CrossRef]
- Arévalo, H.A.; Fraulo, A.B.; Liburd, O.E. Management of flower thrips in blueberries in Florida. Florida Entomol. 2009, 92, 14–17. [Google Scholar] [CrossRef]
- Reitz, S.R. Biology and ecology of the western flower thrips (Thysanoptera: Thripidae): The making of a pest. Florida Entomol. 2009, 92, 7–13. [Google Scholar] [CrossRef]
- Zhi, J.; Fitch, G.K.; Margolies, D.C.; Nechols, J.R. Apple pollen as a supplemental food for the western flower thrips, Frankliniella occidentalis: Response of individuals and populations. Entomol. Exp. Appl. 2005, 117, 185–192. [Google Scholar] [CrossRef]
- Wäckers, F.L.; Romeis, J.; van Rijn, P. Nectar and pollen feeding by insect herbivores and implications for multitrophic interactions. Annu. Rev. Entomol. 2007, 52, 301–323. [Google Scholar] [CrossRef] [PubMed]
- Seal, D.R.; Ciomperlik, M.; Richards, M.L.; Klassen, W. Comparative effectiveness of chemical insecticides against the chilli thrips, Scirtothrips dorsalis Hood (Thysanoptera: Thripidae), on pepper and their compatibility with natural enemies. Crop Prot. 2006, 25, 949–955. [Google Scholar] [CrossRef]
- James, D.G. Toxicity of imidacloprid to Galendromus occidentalis, Neoseiulus fallacies, Amblyseius andersoni (Acari: Phytoseiidae) from hops in Washington State, USA. Exp. Appl. Acarol. 2003, 31, 275–281. [Google Scholar] [CrossRef] [PubMed]
- Poletti, M.; Maia, A.H.N.; Omoto, C. Toxicity of neonicotinoid insecticides to Neoseiulus californicus and Phytoseiulus macropilis (Acari: Phytoseiidae) and their impact on functional response to Tetranychus urticae (Acari: Tetranychidae). Biol. Control 2007, 40, 30–36. [Google Scholar] [CrossRef]
- Shipp, J.L.; Wang, K. Evaluation of Amblyseius cucumeris (Acari: Phytoseiidae) and Orius insidiosus (Hemiptera: Anthocoridae) for control of Frankliniella occidentalis (Thysanoptera: Thripidae) on greenhouse tomatoes. Biol. Control 2003, 28, 271–281. [Google Scholar] [CrossRef]
- Ebssa, L.; Borgemeister, C.; Poehling, H. Simultaneous application of entomopathogenic nematodes and predatory mites to control western flower thrips Frankliniella occidentalis. Biol. Control 2006, 39, 66–74. [Google Scholar] [CrossRef]
- Vestergaard, S.; Gillespie, A.T.; Butt, T.M.; Schreiter, G.; Eilenberg, J. Pathogenicity of the Hyphomycete fungi Verticillium lecanii and Metarhizium anisopliae to the western flower thrips, Frankliniella occidentalis. Biocontrol Sci. Technol. 1995, 5, 185–192. [Google Scholar] [CrossRef]
- Roy, H.E.; Pell, J. Interactions between entomopathogenic fungi and other natural enemies: Implications for biological control. Biocontrol Sci. Technol. 2000, 10, 737–752. [Google Scholar] [CrossRef]
- Wu, S.-Y.; Gao, Y.-L.; Xu, X.-N.; Goettel, M.S.; Lei, Z. Compatibility of Beauveria bassiana with Neoseiulus barkeri for control of Frankliniella occidentalis. J. Integr. Agric. 2015, 14, 98–105. [Google Scholar] [CrossRef]
- Seiedy, M.; Saboori, A.; Allahyari, H.; Talae-Hassanloui, R.; Tork, M. Functional response of Phytoseiulus persimilis (Acari: Phytoseiidae) on untreated and Beauveria bassiana—Treated adults of Tetranychus urticae (Acari: Tetranychidae). J. Insect Behav. 2012, 25, 543–553. [Google Scholar] [CrossRef]
- Rogers, M.A.; Krischik, V.A.; Martin, L.A. Effect of soil application of imidacloprid on survival of adult green lacewing, Chrysoperla carnea (Neuroptera: Chrysopidae), used for biological control in greenhouse. Biol. Control 2007, 42, 172–177. [Google Scholar] [CrossRef]
- Groves, R.; Sorenson, C.; Walgenbach, J.; Kennedy, G. Effects of imidacloprid on transmission of tomato spotted wilt tospovirus to pepper, tomato and tobacco by Frankliniella fusca Hinds (Thysanoptera: Thripidae). Crop Prot. 2001, 20, 439–445. [Google Scholar] [CrossRef]
- Gill, R.J.; Raine, N.E. Chronic impairment of bumblebee natural foraging behaviour induced by sublethal pesticide exposure. Funct. Ecol. 2014, 28, 1459–1471. [Google Scholar] [CrossRef]
- Hladik, M.L.; Kolpin, D.W.; Kuivila, K.M. Widespread occurrence of neonicotinoid insecticides in streams in a high corn and soybean producing region, USA. Environ. Pollut. 2014, 193, 189–196. [Google Scholar] [CrossRef] [PubMed]
- Zhao, G.; Liu, W.; Brown, J.M.; Knowles, C.O. Insecticide resistance in field and laboratory strains of western flower thrips (Thysanoptera: Thripidae). J. Econ. Entomol. 1995, 88, 1164–1170. [Google Scholar] [CrossRef]
- Watanabe, E.; Eun, H.; Baba, K.; Arao, T.; Ishii, Y.; Endo, S.; Ueji, M. Rapid and simple screening analysis for residual imidacloprid in agricultural products with commercially available ELISA. Anal. Chim. Acta 2004, 521, 45–51. [Google Scholar] [CrossRef]
© 2015 by the authors; licensee MDPI, Basel, Switzerland. This article is an open access article distributed under the terms and conditions of the Creative Commons Attribution license (http://creativecommons.org/licenses/by/4.0/).
Share and Cite
Nyasani, J.O.; Subramanian, S.; Poehling, H.-M.; Maniania, N.K.; Ekesi, S.; Meyhöfer, R. Optimizing Western Flower Thrips Management on French Beans by Combined Use of Beneficials and Imidacloprid. Insects 2015, 6, 279-296. https://doi.org/10.3390/insects6010279
Nyasani JO, Subramanian S, Poehling H-M, Maniania NK, Ekesi S, Meyhöfer R. Optimizing Western Flower Thrips Management on French Beans by Combined Use of Beneficials and Imidacloprid. Insects. 2015; 6(1):279-296. https://doi.org/10.3390/insects6010279
Chicago/Turabian StyleNyasani, Johnson O., Sevgan Subramanian, Hans-Michael Poehling, Nguya K. Maniania, Sunday Ekesi, and Rainer Meyhöfer. 2015. "Optimizing Western Flower Thrips Management on French Beans by Combined Use of Beneficials and Imidacloprid" Insects 6, no. 1: 279-296. https://doi.org/10.3390/insects6010279
APA StyleNyasani, J. O., Subramanian, S., Poehling, H.-M., Maniania, N. K., Ekesi, S., & Meyhöfer, R. (2015). Optimizing Western Flower Thrips Management on French Beans by Combined Use of Beneficials and Imidacloprid. Insects, 6(1), 279-296. https://doi.org/10.3390/insects6010279

