Efficacy of Attract-and-Kill Techniques in Controlling Bactrocera oleae (Diptera: Tephritidae) in a Highly Variable Olive Production Scenario
Simple Summary
Abstract
1. Introduction
2. Materials and Methods
2.1. Experimental Orchards
2.2. AK Techniques
2.3. Efficacy Evaluation
2.4. Data Analysis
3. Results
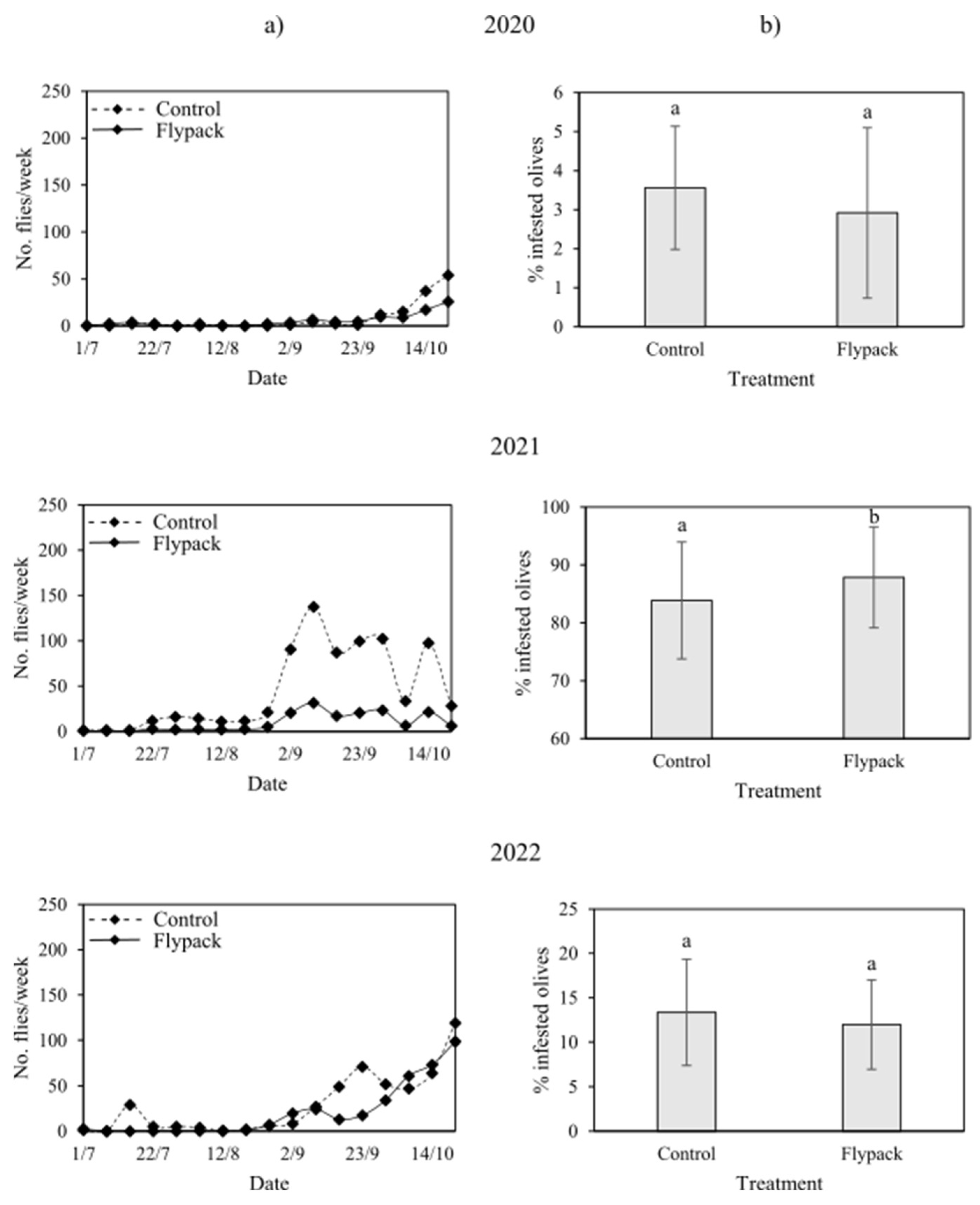
3.1. Olive Fly Population Densities
3.2. Fruit Infestation Levels
3.3. Olive Production
4. Discussion
Supplementary Materials
Author Contributions
Funding
Data Availability Statement
Acknowledgments
Conflicts of Interest
References
- Manousis, T.; Moore, N.F. Control of Dacus oleae, a major pest of olives. Int. J. Trop. Insect Sci. 1987, 8, 1–9. [Google Scholar] [CrossRef]
- Medjkouh, L.; Tamendjari, A.; Keciri, S.; Santos, J.; Nunes, M.A.; Oliveira, M.B.P.P. The effect of the olive fruit fly (Bactrocera oleae) on quality parameters, and antioxidant and antibacterial activities of olive oil. Food Funct. 2016, 7, 2780–2788. [Google Scholar] [CrossRef]
- Gonçalves, M.F.; Santos, S.A.; Torres, L.M. Efficacy of spinosad bait sprays to control Bactrocera oleae and impact on non-target arthropods. Phytoparasitica 2012, 40, 17–28. [Google Scholar] [CrossRef]
- Pinheiro, L.A.; Dáder, B.; Wanumen, A.C.; Pereira, J.A.; Santos, S.A.; Medina, P. Side effects of pesticides on the olive fruit fly parasitoid Psyttalia concolor (Szépligeti): A Review. Agronomy 2020, 10, 1755. [Google Scholar] [CrossRef]
- Zhou, Y.; Zhao, W.; Lai, Y.; Zhang, B.; Zhang, D. Edible plant oil: Global status, health issues, and perspectives. Front. Plant Sci. 2020, 11, 1315. [Google Scholar] [CrossRef]
- Vizzarri, V.; Lombardo, L.; Novellis, C.; Rizzo, P.; Pellegrino, M.; Cruceli, G.; Godino, G.; Zaffina, F.; Ienco, A. Testing the Single and Combined Effect of Kaolin and Spinosad against Bactrocera oleae and Its Natural Antagonist Insects in an Organic Olive Grove. Life 2023, 13, 607. [Google Scholar] [CrossRef]
- Checchia, I.; Perin, C.; Mori, N.; Mazzon, L. Oviposition deterrent activity of fungicides and low-risk substances for the integrated management of the olive fruit fly Bactrocera oleae (Diptera, Tephritidae). Insects 2022, 13, 363. [Google Scholar] [CrossRef] [PubMed]
- Kapranas, A.; Collatz, J.; Michaelakis, A.; Milonas, P. Review of the role of sterile insect technique within biologically-based pest control–An appraisal of existing regulatory frameworks. Entomol. Exp. Appl. 2022, 170, 385–393. [Google Scholar] [CrossRef]
- El-Sayed, A.M.; Suckling, D.M.; Byers, J.A.; Jang, E.B.; Wearing, C.H. Potential of “lure and kill” in long-term pest management and eradication of invasive species. J. Econ. Entomol. 2009, 102, 815–835. [Google Scholar] [CrossRef]
- Noce, M.E.; Belfiore, T.; Scalercio, S.; Vizzarri, V.; Iannotta, N. Efficacy of new mass-trapping devices against Bactrocera oleae (Diptera tephritidae) for minimizing pesticide input in agroecosystems. J. Environ. Sci. Health B 2009, 44, 442–448. [Google Scholar] [CrossRef] [PubMed]
- Broumas, T.; Haniotakis, G.; Liaropoulos, C.; Tomazou, T.; Ragoussis, N. The efficacy of an improved form of the mass-trapping method, for the control of the olive fruit fly, Bactrocera oleae (Gmelin) (Dipt., Tephritidae): Pilot-scale feasibility studies. J. Appl. Entomol. 2002, 126, 217–223. [Google Scholar] [CrossRef]
- Yasin, S.; Rempoulakis, P.; Nemny-Lavy, E.; Levi-Zada, A.; Tsukada, M.; Papadopoulos, N.T.; Nestel, D. Assessment of lure and kill and mass-trapping methods against the olive fly, Bactrocera oleae (Rossi), in desert-like environments in the Eastern Mediterranean. Crop Prot. 2014, 57, 63–70. [Google Scholar] [CrossRef]
- López, S.; Acín, P.; Gómez-Zubiaur, A.; Corbella-Martorell, C.; Quero, C. A shift in the paradigm? A male-specific lactone increases the response of both sexes of the olive fruit fly Bactrocera oleae to the food lure ammonium bicarbonate. J. Pest Sci. 2024, 97, 965–978. [Google Scholar] [CrossRef]
- Petacchi, R.; Rizzi, I.; Guidotti, D. The ‘lure and kill’ technique in Bactrocera oleae (Gmel.) control: Effectiveness indices and suitability of the technique in area-wide experimental trials. Int. J. Pest Manag. 2003, 49, 305–311. [Google Scholar] [CrossRef]
- Broumas, T.; Haniotakis, G.E. Comparative field studies of various traps and attractants of the olive fruit fly, Bactrocera oleae. Entomol. Exp. Appl. 1994, 73, 145–150. [Google Scholar] [CrossRef]
- Bjeliš, M. Control of olive fruit fly-Bactrocera oleae Rossi (Diptera, Tephritidae) by mass trapping and bait sprays methods in Dalmatia. In Proceedings of the 11th Slovenian Conference of Plant Protection, Nova Gorica, Slovenija, 4–5 March 2009. [Google Scholar]
- Broumas, T.; Haniotakis, G. Further studies on the control of the olive fruit fly by mass trapping. In Proceedings of the Second International Symposium, Colymbari, Crete, Greece, 16–21 September 1986. [Google Scholar]
- Mucci, M.; Baldessari, M.; Michelotti, F.; Chiesa, S.G.; Angeli, G. Attract and Kill for the control of olive fruit fly in Alto Garda, Trentino. In Proceedings of the IOBC-WPRS Working Groups, Lisbon, Portugal, 20–25 January 2019. [Google Scholar]
- Gulotta, T.M.; Mondello, G.; Salomone, R.; Primerano, P.; Saija, G. Addressing geographical variability in Life Cycle Inventory data: The case of Italian olive production. Int. J. Life Cycle Assess. 2025, 1–19. [Google Scholar] [CrossRef]
- Istituto di Servizi per il Mercato Agricolo Alimentare—ISMEA. Available online: https://www.ismeamercati.it/olio-oliva (accessed on 5 April 2025).
- Sanz-Cortés, F.; Martinez, C.J.; Badenes, M.L.; Bleiholder, H.; Hack, H.; Llácer, G.; Meier, U. Phenological growth stages of olive trees (Olea europaea). Ann. Appl. Biol. 2002, 140, 151–157. [Google Scholar] [CrossRef]
- Girolami, V. Studies on the biology and population ecology of Dacus oleae (Gmelin). 1. Influence of environmental abiotic factors on the adult and on the immature stages. Redia 1979, 62, 147–191. [Google Scholar]
- Marchini, D.; Petacchi, R.; Marchi, S. Bactrocera oleae reproductive biology: New evidence on wintering wild populations in olive groves of Tuscany (Italy). Bull. Insectol. 2017, 70, 121–128. [Google Scholar]
- R Core Team. R: A Language and Environment for Statistical Computing. 2024. Available online: https://www.r-project.org/ (accessed on 1 January 2025).
- Gutierrez, A.P.; Ponti, L.; Cossu, Q.A. Effects of climate warming on olive and olive fly (Bactrocera oleae (Gmelin)) in California and Italy. Clim. Chang. 2009, 95, 195–217. [Google Scholar] [CrossRef]
- Varikou, K.; Garantonakis, N.; Birouraki, A.; Ioannou, A.; Kapogia, E. Improvement of bait sprays for the control of Bactrocera oleae (Diptera: Tephritidae). Crop Prot. 2016, 81, 1–8. [Google Scholar] [CrossRef]
- Yokoyama, V.Y. Olive fruit fly (Diptera: Tephritidae) in California: Longevity, oviposition, and development in canning olives in the laboratory and greenhouse. J. Econ. Entomol. 2012, 105, 186–195. [Google Scholar] [CrossRef][Green Version]
- Katsikogiannis, G.; Kavroudakis, D.; Tscheulin, T.; Kizos, T. Population dynamics of the olive fly, Bactrocera oleae (Diptera: Tephritidae), are influenced by different climates, seasons, and pest management. Sustainability 2023, 15, 14466. [Google Scholar] [CrossRef]
- Rondoni, G.; Mattioli, E.; Giannuzzi, V.A.; Chierici, E.; Betti, A.; Natale, G.; Petacchi, R.; Famiani, F.; Natale, A.; Conti, E. Evaluation of the effect of agroclimatic variables on the probability and timing of olive fruit fly attack. Front. Plant Sci. 2024, 15, 1401669. [Google Scholar] [CrossRef]
- Delrio, G.; Lentini, A. Dinamica e fattori di regolazione delle popolazioni della mosca delle olive. Atti Accad. Naz. Ital. Entomol. 2016, 64, 55–62. [Google Scholar]
- Mazomenos, B.E.; Pantazi-Mazomenou, A.; Stefanou, D. Attract and kill of the olive fruit fly Bactrocera oleae in Greece as a part of an integrated control system. IOBC WPRS Bull. 2002, 25, 137–146. [Google Scholar]
- Lentini, A.; Delrio, G.; Foxi, C. Experiments for the control of olive fly in organic agriculture. IOBC WPRS Bull. 2005, 28, 73. [Google Scholar]
- Stavrianakis, G.; Sentas, E.; Zafeirelli, S.; Tscheulin, T.; Kizos, T. Utilizing olive fly ecology towards sustainable pest management. Biology 2025, 14, 125. [Google Scholar] [CrossRef]



| Explanatory Variables | χ2 | df | p-Value |
|---|---|---|---|
| (a) Flypack | |||
| Treatment | 1.121 | 1 | 0.289 |
| Year | 52.999 | 2 | <0.001 |
| Treatment × Year | 7.128 | 2 | 0.028 |
| (b) Spintor Fly | |||
| Treatment | 279.993 | 1 | <0.001 |
| Year | 36.907 | 2 | <0.001 |
| Treatment × Year | 60.522 | 2 | <0.001 |
Disclaimer/Publisher’s Note: The statements, opinions and data contained in all publications are solely those of the individual author(s) and contributor(s) and not of MDPI and/or the editor(s). MDPI and/or the editor(s) disclaim responsibility for any injury to people or property resulting from any ideas, methods, instructions or products referred to in the content. |
© 2025 by the authors. Licensee MDPI, Basel, Switzerland. This article is an open access article distributed under the terms and conditions of the Creative Commons Attribution (CC BY) license (https://creativecommons.org/licenses/by/4.0/).
Share and Cite
Ortis, G.; Santoiemma, G.; Marangoni, F.; Sanna, F.; Fidanza, M.R.; Baldessari, M.; Mori, N. Efficacy of Attract-and-Kill Techniques in Controlling Bactrocera oleae (Diptera: Tephritidae) in a Highly Variable Olive Production Scenario. Insects 2025, 16, 1161. https://doi.org/10.3390/insects16111161
Ortis G, Santoiemma G, Marangoni F, Sanna F, Fidanza MR, Baldessari M, Mori N. Efficacy of Attract-and-Kill Techniques in Controlling Bactrocera oleae (Diptera: Tephritidae) in a Highly Variable Olive Production Scenario. Insects. 2025; 16(11):1161. https://doi.org/10.3390/insects16111161
Chicago/Turabian StyleOrtis, Giacomo, Giacomo Santoiemma, Federico Marangoni, Francesco Sanna, Maria Rosaria Fidanza, Mario Baldessari, and Nicola Mori. 2025. "Efficacy of Attract-and-Kill Techniques in Controlling Bactrocera oleae (Diptera: Tephritidae) in a Highly Variable Olive Production Scenario" Insects 16, no. 11: 1161. https://doi.org/10.3390/insects16111161
APA StyleOrtis, G., Santoiemma, G., Marangoni, F., Sanna, F., Fidanza, M. R., Baldessari, M., & Mori, N. (2025). Efficacy of Attract-and-Kill Techniques in Controlling Bactrocera oleae (Diptera: Tephritidae) in a Highly Variable Olive Production Scenario. Insects, 16(11), 1161. https://doi.org/10.3390/insects16111161

