Limiting Onion Fly (Delia antiqua) and Onion Thrips (Thrips tabaci) Damage to Onions by Combined Use of Environmentally Acceptable Control Methods: Fact or Fantasy?
Simple Summary
Abstract
1. Introduction
2. Materials and Methods
2.1. Location and Period of the Experiments
2.2. Experimental Layout and Spraying Intervals
2.3. The Assessment of Onion Thrips and Onion Fly Damage, in Addition to the Monitoring of Adults on Colored Sticky Boards
2.4. The Weighing of Onion Yields
2.5. Weather Information
2.6. Statistical Analysis of Results
3. Results
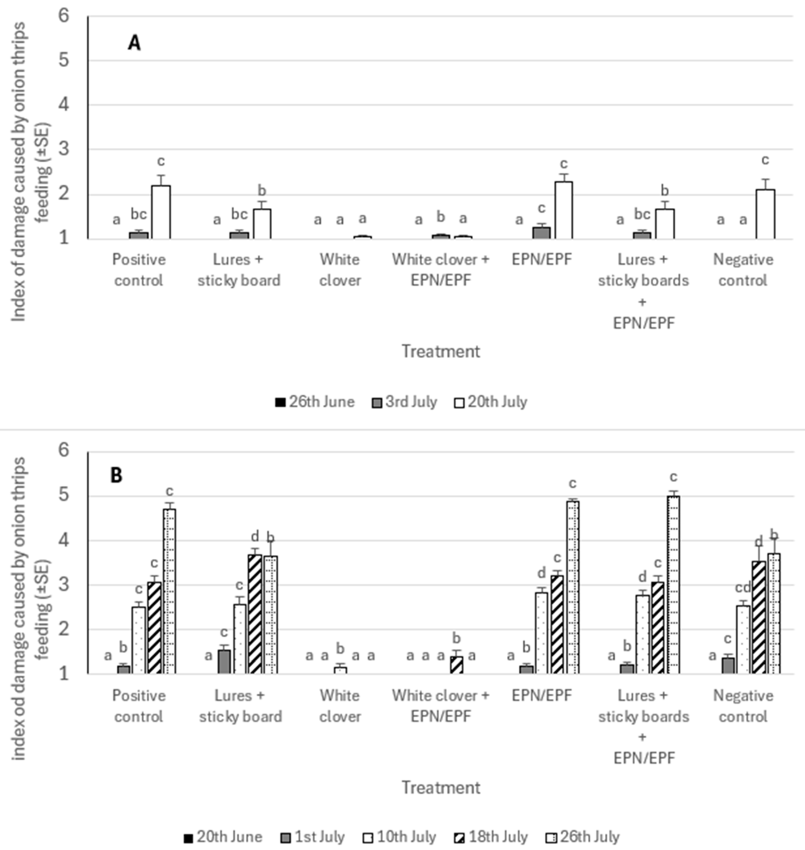
3.1. Damage to Onion Leaves Caused by Feeding of Onion Thrips in 2023 and 2024
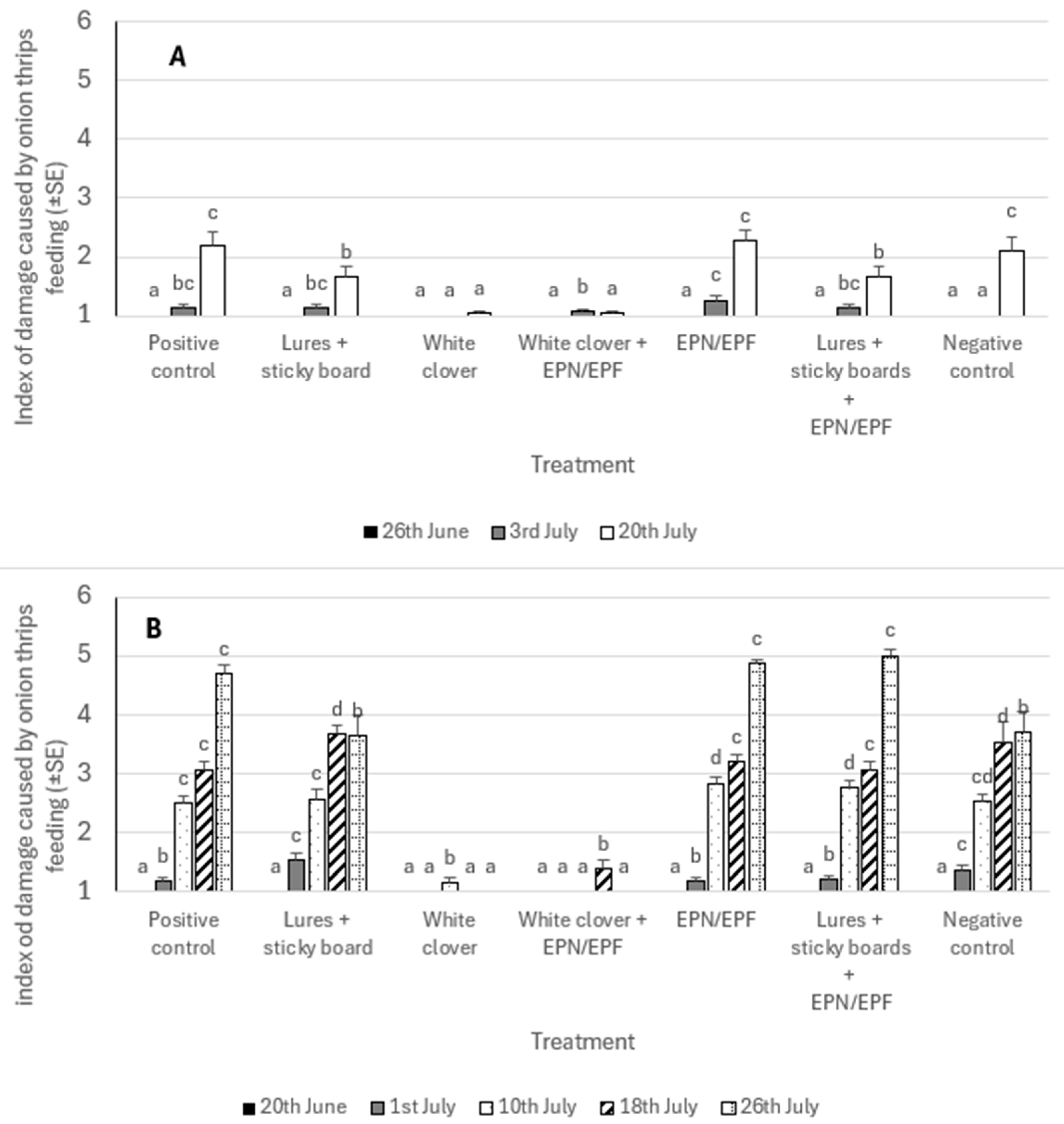
3.2. Effect of Onion Maggots on Bulb Decay
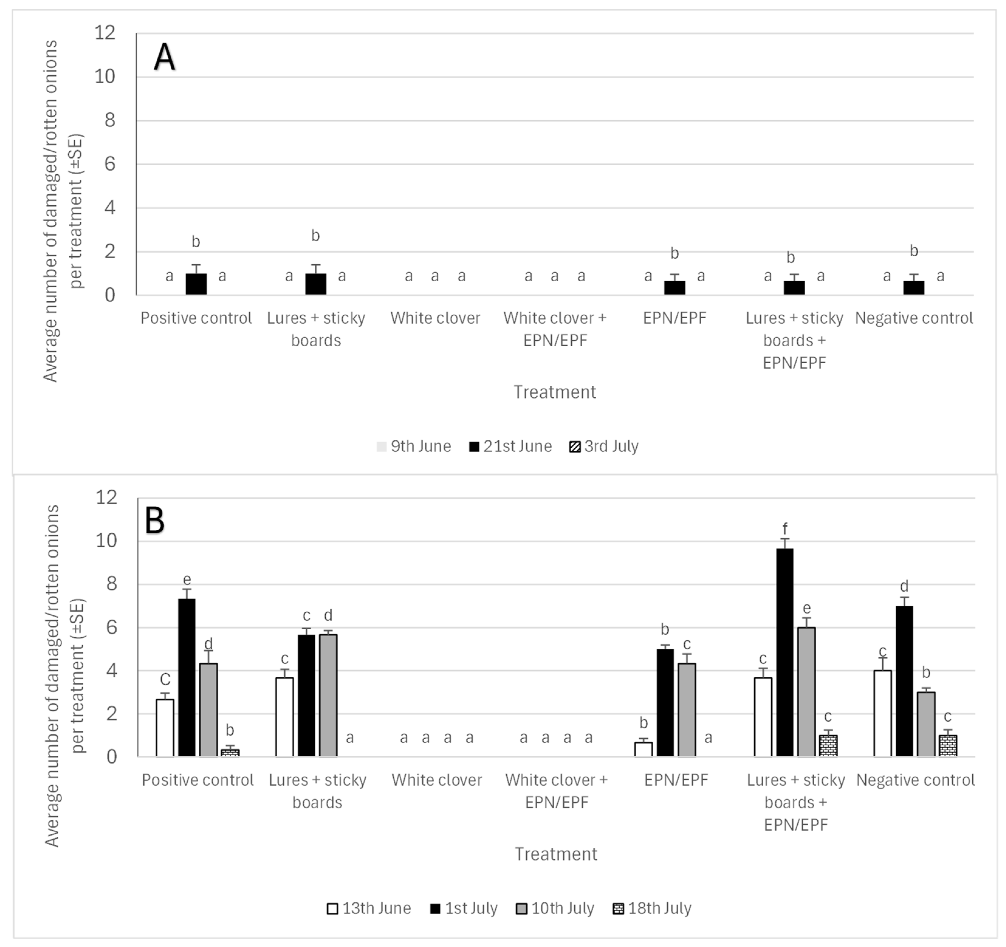
3.3. Average Number of Onion Thrips Adults on Light Blue Sticky Boards (in Treatments 6 and 7)
3.4. Average Number of Onion Fly Adults on White Sticky Boards (in Treatments 6 and 7)
3.5. Average (Total) Yield in 2023 in 2024
3.6. Percentage of Healthy/Rotten Bulbs of Onion in the Field
3.7. Average Yield of Healthy Bulbs After Drying in 2023 and 2024
3.8. Percentage of Healthy/Rotten Bulbs of Onion After Drying
4. Discussion
5. Conclusions
Supplementary Materials
Author Contributions
Funding
Data Availability Statement
Acknowledgments
Conflicts of Interest
References
- Trdan, S.; Laznik, Ž.; Bohinc, T. Thirty years of research and professional work in the field of biological control (predators, parasitoids, entomopathogenic and parasitic nematodes) in Slovenia: A review. Appl. Sci. 2020, 10, 7468. [Google Scholar] [CrossRef]
- Trdan, S.; Valič, N.; Žežlina, I.; Bergant, K.; Žnidarčič, D. Light blue sticky boards for mass trapping of onion thrips, Thrips tabaci Lindeman (Thysanoptera: Thripidae), in onion crops: Fact or fantasy? J. Plant Dis. Prot. 2005, 112, 173–180. [Google Scholar]
- Trdan, S.; Žnidarčič, D.; Valič, N.; Rozman, L.; Vidrih, M. Intercropping against onion thrips, Thrips tabaci Lindeman (Thysanoptera: Thripidae) in onion production: On the suitability of orchard grass, lacy phacelia, an d buckwheat as alternative for white clover. J. Plant Dis. Prot. 2005, 113, 24–30. [Google Scholar]
- Iglesias, L.; Groves, R.; Bradford, B.; Harding, R.S.; Nault, B.A. Evaluating combinations of bioinsecticides and adjuvants for managing Thrips tabaci (Thysanoptera: Thripidae) in onion production systems. Crop Prot. 2020, 142, 105527. [Google Scholar] [CrossRef]
- Willett, D.; Filgueiras, C.C.; Nyrop, J.P.; Nault, B.A. Field monitoring of onion maggot (Delia antiqua) fly through improved trapping. J. Appl. Entomol. 2020, 144, 382–387. [Google Scholar] [CrossRef]
- List of Registrated Plant Protection Products. Available online: https://spletni2.furs.gov.si/FFS/REGSR/index.htm (accessed on 17 August 2025).
- Shin, Y.K.; Kim, S.; Park, C.G.; Kim, D.S. A new perspective to understand the late season abundance of Delia antiqua (Diptera: Anthomyiidae): A modeling approach for the hot summer effect. Insects 2023, 14, 816. [Google Scholar] [CrossRef] [PubMed]
- Hsu, C.L.; Hoepting, C.A.; Fuchs, M.; Shelton, A.M.; Nault, B.A. Temporal Dynamics of Iris Yellow Spot Virus and Its Vector, Thrips tabaci (Thysanoptera: Thripidae), in Seeded and Transplanted Onion Fields. Environ. Entomol. 2010, 39, 266–277. [Google Scholar] [CrossRef]
- Ning, S.; Wei, J.; Feng, J. Predicting the current potential and future world wide distribution of the onion maggot, Delia antiqua using maximum entropy ecological niche modeling. PLoS ONE 2017, 12, e0171190. [Google Scholar] [CrossRef]
- Smith, E.; Nault, B. Onion Maggot IPM. 2014. Available online: https://hdl.handle.net/1813/43286 (accessed on 1 September 2025).
- Moretti, E.A.; Harding, R.S.; Scott, J.G.; Nault, B.A. Monitoring onion thrips (Thysanoptera: Thripidae) susceptibility to spinetoram in New York onion fields. J. Econom. Entomol. 2019, 112, 1493–1497. [Google Scholar] [CrossRef]
- Otto, M.; Hommes, M. Development of a simulation model for the population model of the onion fly Delia antiqua in Germany. EPPO Bull. 2000, 30, 115–119. [Google Scholar] [CrossRef]
- Gombač, P.; Trdan, S. The efficacy of intercropping with birdsfoot trefoil and summer savoury in reducing damage inflicted by onion thrips (Thrips tabaci, Thysanoptera, Thripidae) on four leek cultivars. J. Plant Dis. Prot. 2014, 121, 117–124. [Google Scholar] [CrossRef]
- Eliuattassi, Y.; Ferioun, M.; Ghachtouli, N.; Derraz, K.; Rachidi, F. Enhancing onion growth and yield through agroecological practices: Organic fertilization and intercropping. Ecol. Front. 2024, 44, 547–557. [Google Scholar] [CrossRef]
- Ain, Q.; Mohsin, A.U.; Naeem, M.; Shabbir, G. Effect of entomopathogenic fungi, Beauveria bassiana and Metarhizium anisopliae, on Thrips tabaci Lindeman (Thysanoptera: Thripidae) populations in different onion cultivars. Egypt. J. Biol. Contr. 2021, 31, 97. [Google Scholar] [CrossRef]
- Gill, H.; Garg, H.; Gill, A.K.; Gillett-Kaufman, J.L.; Nault, B.A. Onion thrips (Thysanoptera: Thripidae) Biology, ecology and management in onion production systems. J. Integr. Pest Manag. 2015, 6, 6. [Google Scholar] [CrossRef]
- Gagnon, A.E.; Fortier, A.M.; Audette, C. Biological Control and Habitat Management for the Control of Onion Thrips, Thrips tabaci Lindeman (Thysanoptera: Thripidae), in Onion Production in Quebec, Canada. Insects 2024, 15, 232. [Google Scholar] [CrossRef]
- Filgueiras, C.C.; Shields, E.J.; Nault, B.A.; Willett, D.S. Entomopathogenic nematodes for field control of onion maggot (Delia antiqua) and compatibility with seed treatments. Insects 2023, 14, 623. [Google Scholar] [CrossRef] [PubMed]
- Gulzar, S.; Wakil, W.; Shapiro-Ilan, D.I. Potential use of entomopathogenic nematodes against the soil dwelling stages of onion thrips, Thrips tabaci Lindeman: Laboratory, greenhouse and field trials. Biol. Control 2021, 161, 104677. [Google Scholar] [CrossRef]
- Beck, B.; Spanoghe, P.; Moens, M.; Brusselman, E.; Temmerman, F.; Pollet, S.; Nuyttens, D. Foliar applied entomopathogenic nematodes Steinernema feltiae are not suitable for controlling Thrips tabaci in leek. Bull. Insectology 2015, 68, 287–298. [Google Scholar]
- Salgado, L.D.; Groves, R.L.; Owens, D.; Waters, T.D.; Burkness, E.C.; Hutchinson, W.D.; Yang, F.; Nault, B.A. Performances of novel alternatives to neonicotinoid insecticide seed treatments for managing maggots (Diptera: Anthomyiidae) in large-seeded vegetable crops. Crop Prot. 2025, 197, 107355. [Google Scholar] [CrossRef]
- Curk, M.; Trdan, S. Benefiting from complexity: Exploring enhanced biological control effectiveness via the simultaneous use of various methods for combating pest pressure in agriculture. Agronomy 2024, 14, 199. [Google Scholar] [CrossRef]
- Toker, P.; Canci, H.; Turhan, I.; Isci, A.; Scherzinger, M.; Kordrostami, M.; Yol, E. The advantages of intercropping to improve productivity in food and forage production—A review. Plant Prod. Sci. 2024, 27, 155–169. [Google Scholar] [CrossRef]
- OEPP/EPPO. Thrips in Allium crops. Bull. OEPP/EPPO 2008, 38, 335–337. [Google Scholar] [CrossRef]
- Slovenian Environmental Agency. Available online: https://meteo.arso.gov.si/met/sl/app/webmet/#webmet==8Sdwx2bhR2cv0WZ0V2bvEGcw9ydlJWblR3LwVnaz9SYtVmYh9iclFGbt9SaulGdugXbsx3cs9mdl5WahxXYyNGapZXZ8tHZv1WYp5mOnMHbvZXZulWYnwCchJXYtVGdlJnOn0UQQdSf (accessed on 18 August 2025).
- Statgraphics Centurion XIX; Statpoint Technologies Inc.: Warrenton, VA, USA, 2020.
- Carrillo-Reche, J.; Le Noc, T.; von Apeldoorn, D.F.; Juventia, S.D.; Westhoek, A.; Shanmugam, S.; Kristensen, H.L.; Hondebrink, M.; Himanen, S.J.; Kivijaervi, P.; et al. Finding guedlines for cabbage intercropping systems design as at first step in a meta-analysis relay for vegetables. Agric. Ecosyst. Environ. 2023, 354, 10564. [Google Scholar] [CrossRef]
- McDonald, M.R.; Kooi, K.V.; Kornatowska, B.; Janse, S. Screening onion breeding lines for resistance to onion maggot (Delia antiqua Meigen) damage. J. Entomol. Soc. Ont. 2002, 133, 56–62. [Google Scholar]
- Finch, S.; Billiald, H.; Collier, R.H. Companion planting—Do aromatic plants disrupt host-plant finding by the cabbage root fly and the onion fly more effectively than non-aromatic plants? Entomol. Exp. Appl. 2003, 109, 183–195. [Google Scholar] [CrossRef]
- Finch, S.; Collier, R.H. Host-plant selection by insects—A theory based on ‘appropriate/inappropriate landings’ by pests insects of cruciferous plants. Entomol. Exp. Appl. 2000, 96, 91–102. [Google Scholar] [CrossRef]
- Moreira, B.; Goncalves, A.; Pinto, L.; Prieto, M.A.; Carocho, M.; Caleja, C.; Barros, L. Intercropping systems: An opportunity for environment conservation within nut production. Agriculture 2024, 14, 1149. [Google Scholar] [CrossRef]
- De Haan, J.; Vasseur, L. Above and below ground interactions in monoculture and intercropping of onion and lettuce in greenhouse conditions. Am. J. Plant Sci. 2014, 5, 3319–3327. [Google Scholar] [CrossRef]











| Treatment | Date | Applied Measure |
|---|---|---|
| In 2023 | ||
| Treatment 1 (positive control) | 12 May | Benevia (a.i. cyantraniliprole (supplier: Picount, Ltd., Mošnje, Slovenia) (at 0.75 L/ha) |
| 9 June | Ortiva, a.i. Azoxystrobin (supplier: Syngenta Agro, Ltd., Ljubljana, Slovenia) at 10 mL/10 l H20) and natural product Algo-plasmin (supplier: Metrob Ltd., Začret, Slovenia) at 40 g/10 L H2O | |
| 13 June | Karate Zeon 5 CS, a.i. lambda-cyhalotrin (supplier: Syngenta Agro, Ltd., Ljubljana, Slovenia) at 1.5 mL/10 L H2O | |
| 4 July | Shirlan 500 SC, a.i. fluazinam, (supplier: Certis Belchim, Ltd., Trzin, Slovenia) at 4 mL/10 L H2O | |
| 10 July | Laser 240 SC, a.i.spinosad (supplier: Karsia, Ltd., Ljubljana, Slovenia) at 4.5 mL/10 L H2O | |
| 12 July | Liquid fertilizer Bio Plantella Vrt (supplier: Unichem, Ltd., Vrhnika, Slovenia) at 15 mL/1 L H2O | |
| 25 July | Ortiva (supplier: Syngenta Agro, Ltd., Ljubljana, Slovenia) | |
| 26 July | Shirlan 500 SC (supplier: Certis Belchim, Ltd., Trzin, Slovenia) | |
| Treatment 2 (negative control) | 9 June | Ortiva (supplier: Syngenta Agro, Ltd., Ljubljana, Slovenia) and Algo-plasmin (supplier: Metrob Ltd., Začret, Slovenia) |
| 4 July | Shirlan 500 SC (supplier: Certis Belchim, Ltd., Trzin, Slovenia) | |
| 12 July | Liquid fertilizer Bio Plantella Vrt (supplier: Unichem, Ltd., Vrhnika, Slovenia) | |
| 25 July | Ortiva (supplier: Syngenta Agro, Ltd., Ljubljana, Slovenia) | |
| 26 July | Applied fungicide Shirlan 500 SC (supplier: Certis Belchim, Ltd., Trzin, Slovenia) | |
| Treatment 3 | 14 April | 1st spraying with combination of Naturalis (27 mL/10 L H2O) and Nemopak SF (50 mio/10 L H2O) |
| 25 April | 2nd spraying (as described on 14 April) | |
| 12 May | 3rd spraying (as described on 14 April) | |
| 31 May | 4th spraying (as described on 14 April) | |
| 9 June | Ortiva (supplier: Syngenta Agro, Ltd., Ljubljana, Slovenia) and Algo-plasmin (supplier: Metrob, Ltd., Začret, Slovenia) | |
| 13 June | 5th spraying (as described on 14 April) | |
| 28 June | 6th spraying (as described on 14 April) | |
| 4 July | Shirlan 500 SC (supplier: Certis Belchim, Ltd., Trzin, Slovenia) | |
| 11 July | 7th spraying (as described on 14 April) | |
| 12 July | Liquid fertilizer Bio Plantella Vrt (supplier: Unichem, Ltd., Vrhnika, Slovenia) | |
| 25 July | Ortiva (supplier: Syngenta Agro, Ltd., Ljubljana, Slovenia) | |
| 26 July | Shirlan 500 SC (supplier: Certis Belchim, Ltd., Trzin, Slovenia) | |
| Treatment 4 | 12 April | Sowing of white clover var. Apolo (165 g/10 m2) (supplier: Semenarna Ljubljana Ltd., Ljubljana, Slovenia) |
| 9 June | Ortiva (supplier: Syngenta Agro, Ltd., Ljubljana, Slovenia) and Algo-plasmin (supplier: Metrob, Ltd., Začret, Slovenia) | |
| 12 July | Liquid fertilizer Bio Plantella Vrt (supplier: Unichem, Ltd., Vrhnika, Slovenija) | |
| 25 July | Ortiva (supplier: Syngenta Agro, Ltd., Ljubljana, Slovenia) | |
| 26 July | Shirlan 500 SC (supplier: Certis Belchim, Ltd., Trzin, Slovenia) | |
| Treatment 5 | 12 April | Sowing of white clover var. Apolo (165 g/10 m2) (supplier: Semenarna Ljubljana, Ltd., Ljubljana, Slovenia) |
| 14 April | 1st spraying with combination of Naturalis (27 mL/10 L H2O | |
| 25 April | 2nd spraying (as described on 14 April) | |
| 12 May | 3rd spraying (as described on 14 April) | |
| 31 May | 4th spraying (as described on 14 April) | |
| 13 June | 5th spraying (as described on 14 April) | |
| 9 June | Ortiva (supplier: Syngenta Agro, Ltd., Ljubljana, Slovenia) and Algo-plasmin (supplier: Metrob Ltd., Začret, Slovenia) | |
| 13 June | Shirlan 500 SC (supplier: Certis Belchim, Ltd., Trzin, Slovenia) | |
| 28 June | 6th spraying (as described on 14 April) | |
| 4 July | Shirlan 500 SC (supplier: Certis Belchim, Ltd., Trzin, Slovenia) | |
| 11 July | 7th spraying (as described on 14 April) | |
| 12 July | Liquid fertilizer Bio Plantella Vrt (supplier: Unichem, Ltd., Vrhnika, Slovenija) | |
| 25 July | Ortiva (supplier: Syngenta Agro, Ltd., Ljubljana, Slovenia) | |
| 26 July | Shirlan 500 SC (supplier: Certis Belchim, Ltd., Trzin, Slovenia) | |
| Treatment 6 | 17 April | Deployment of white sticky boards with lures |
| 9 June | Ortiva (supplier: Syngenta Agro, Ltd., Ljubljana, Slovenia) and Algo-plasmin (supplier: Metrob, Ltd., Začret, Slovenia) | |
| 20 June | Deployment of light-blue sticky boards with lures | |
| 6 July | Shirlan 500 SC (supplier: Certis Belchim, Ltd., Trzin, Slovenia) | |
| 12 July | Applied liquid fertilizer Bio Plantella Vrt (supplier: Unichem, Ltd., Vrhnika, Slovenija) | |
| 25 July | Ortiva (supplier: Syngenta Agro, Ltd., Ljubljana, Slovenia) | |
| 26 July | Shirlan 500 SC (supplier: Certis Belchim, Ltd., Trzin, Slovenia) | |
| Treatment 7 | 14 April | 1st spraying with combination of Naturalis (27 mL/10 L H2O) and Nemopak SF (50 mio/10 L H2O) |
| 17 April | Deployment of white sticky boards | |
| 25 April | 2nd spraying (as described on 14 April) | |
| 12 May | 3rd spraying (as described on 14 April) | |
| 31 May | 4th spraying (as described on 14 April) | |
| 9 June | Ortiva (supplier: Syngenta Agro, Ltd., Ljubljana, Slovenia) and Algo-plasmin | |
| 13 June | 5th spraying (as described on 14 April) | |
| 20 June | Deployment of light-blue sticky boards with lures | |
| 4 June | Shirlan 500 SC (supplier: Certis Belchim, Ltd., Trzin, Slovenia) | |
| 28 June | 6th spraying (as described on 14 April) | |
| 11 July | 7th spraying (as described on 14 April) | |
| 12 July | Liquid fertilizer Bio Plantella Vrt (supplier: Unichem, Ltd., Vrhnika, Slovenija) | |
| 25 July | Ortiva (supplier: Syngenta Agro, Ltd., Ljubljana, Slovenia) | |
| 26 July | Shirlan 500 SC (supplier: Certis Belchim, Ltd., Trzin, Slovenia) | |
| In 2024 | ||
| Treatment 1 | 16 May | Applied insecticide Benevia (a.i. cyantraniliprole (supplier: Picount, Ltd., Mošnje, Slovenia) (at 0.75 L/ha) |
| 6 June | Shirlan 500 SC (supplier: Certis Belchim, Ltd., Trzin, Slovenia) and Ortiva | |
| 19 June | Karate Zeon 5 CS (supplier: Syngenta Agro, Ltd., Ljubljana, Slovenia) Ortiva (supplier: Syngenta Agro, Ltd., Ljubljana, Slovenia) Shirlan 500 SC (supplier: Certis Belchim, Ltd., Trzin, Slovenia) | |
| 2 July | Laser Plus (supplier: Karsia, Ltd., Ljubljana, Slovenia) | |
| 10 July | Ortiva (supplier: Syngenta Agro, Ltd., Ljubljana, Slovenia) Shirlan 500 SC (supplier: Certis Belchim, Ltd., Trzin, Slovenia) | |
| 18 July | Karate Zeon 5 CS (supplier: Syngenta Agro, Ltd., Ljubljana, Slovenia) | |
| Treatment 2 | 6 June | Applied fungicide Shirlan 500 SC (supplier: Certis Belchim, Ltd., Trzin, Slovenia) and Ortiva (supplier: Syngenta Agro, Ltd., Ljubljana, Slovenia) |
| 19 June | Ortiva (supplier: Syngenta Agro, Ltd., Ljubljana, Slovenia) Shirlan 500 SC (supplier: Certis Belchim, Ltd., Trzin, Slovenia) | |
| 10 July | Ortiva (supplier: Syngenta Agro, Ltd., Ljubljana, Slovenia) Shirlan 500 SC (supplier: Certis Belchim, Ltd., Trzin, Slovenia) | |
| Treatment 3 | 3 May | 1st spraying with combination of Naturalis (27 mL/10 L H2O) and Nemopak SF (50 mio/10 L H2O) |
| 16 May | 2nd spraying with products described on 3 May | |
| 31 May | 3rd spraying with products described on 3 May | |
| 6 June | Shirlan 500 SC (supplier: Certis Belchim, Ltd., Trzin, Slovenia) and Ortiva (supplier: Syngenta Agro, Ltd., Ljubljana, Slovenia) | |
| 13 June | 4th spraying with products described on 3 May | |
| 19 June | Ortiva (supplier: Syngenta Agro, Ltd., Ljubljana, Slovenia) Shirlan 500 SC (supplier: Certis Belchim, Ltd., Trzin, Slovenia) | |
| 24 June | 5th spraying with products described on 3 May | |
| 2 July | 6th spraying with products described on 3 May | |
| 10 July | Ortiva (supplier: Syngenta Agro, Ltd., Ljubljana, Slovenia) Shirlan 500 SC (supplier: Certis Belchim, Ltd., Trzin, Slovenia) | |
| 19 July | 7th spraying with products described on 3 May | |
| Treatment 4 | 16 April | Sowing white clover var. Apolo (80 g/10 m2) (supplier: Semenarna Ljubljana, Ltd., Ljubljana, Slovenia) |
| 6 June | Applied fungicide Shirlan 500 SC (supplier: Certis Belchim, Ltd., Trzin, Slovenia) and Ortiva (supplier: Syngenta Agro, Ltd., Ljubljana, Slovenia) | |
| 19 June | Ortiva (supplier: Syngenta Agro, Ltd., Ljubljana, Slovenia) Shirlan 500 SC (supplier: Certis Belchim, Ltd., Trzin, Slovenia) | |
| 10 July | Ortiva (supplier: Syngenta Agro, Ltd., Ljubljana, Slovenia) Shirlan 500 SC (supplier: Certis Belchim, Ltd., Trzin, Slovenia) | |
| Treatment 5 | 16 April | Sowing white clover var. Apolo (80 g/10 m2) |
| 3 May | 1st spraying with combination of Naturalis (27 mL/10 L H2O) and Nemopak SF (50 mio/10 L H2O) | |
| 16 May | 2nd spraying with products described on 3 May | |
| 31 May | 3rd spraying with products described on 3 May | |
| 6 June | Applied fungicide Shirlan 500 SC (supplier: Syngenta Agro, Ltd., Ljubljana, Slovenia) and Ortiva (supplier: Syngenta Agro, Ltd., Ljubljana, Slovenia) | |
| 13 June | 4th spraying with products described on 3 May | |
| 19 June | Ortiva (supplier: Syngenta Agro, Ltd., Ljubljana, Slovenia) Shirlan 500 SC (supplier: Certis Belchim, Ltd., Trzin, Slovenia) | |
| 24 June | 5th spraying with products described on 3 May | |
| 2 July | 6th spraying with products described on 3 May | |
| 10 July | Ortiva (supplier: Syngenta Agro, Ltd., Ljubljana, Slovenia) Shirlan 500 SC (supplier: Certis Belchim, Ltd., Trzin, Slovenia) | |
| 19 July | 7th spraying with products described on 3 May | |
| Treatment 6 | 30 April | Deployment of white sticky board with lures |
| 6 June | Applied fungicide Shirlan 500 SC and Ortiva (supplier: Syngenta Agro, Ltd., Ljubljana, Slovenia) | |
| 11 June | Deployment of light-blue sticky boards | |
| 9 June | Ortiva (supplier: Syngenta Agro, Ltd., Ljubljana, Slovenia) Shirlan 500 SC (supplier: Certis Belchim, Ltd., Trzin, Slovenia) | |
| 10 July | Ortiva (supplier: Syngenta Agro, Ltd., Ljubljana, Slovenia) Shirlan 500 SC (supplier: Certis Belchim, Ltd., Trzin, Slovenia) | |
| Treatment 7 | 3 May | 1st spraying with combination of Naturalis (27 mL/10 L H2O) and Nemopak SF (50 mio/10 L H2O) |
| 16 May | 2nd spraying with products described on 3 May | |
| 31 May | 3rd spraying with products described on 3 May | |
| 6 June | Shirlan 500 SC (supplier: Certis Belchim, Ltd., Trzin, Slovenia) and Ortiva (supplier: Syngenta Agro, Ltd., Ljubljana, Slovenia) | |
| 11 June | Deployment of light blue sticky boards | |
| 13 June | 4th spraying with products described on 3 May | |
| 19 June | Ortiva (supplier: Syngenta Agro, Ltd., Ljubljana, Slovenia) Shirlan 500 SC (supplier: Certis Belchim, Ltd., Trzin, Slovenia) | |
| 24 June | 5th spraying with products described on 3 May | |
| 2 July | 6th spraying with products described on 3 May | |
| 10 July | Ortiva (supplier: Syngenta Agro, Ltd., Ljubljana, Slovenia) Shirlan 500 SC (supplier: Certis Belchim, Ltd., Trzin, Slovenia) | |
| 19 July | 7th spraying with products described on 3 May |
| In 2023 | Average Healthy Yield (t/ha) | Average Rotten Yield (t/ha) |
|---|---|---|
| Positive control | 9.39 ± 3.28 | 3.76 ± 1.59 |
| Lures + Sticky boards | 7.79 ± 1.43 | 2.34 ± 0.99 |
| White clover | 2.63 ± 0.07 | 9.29 ± 3.2 |
| White clover + EPN/EPF | 2.57 ± 0.11 | 9.21 ± 3.4 |
| EPN/EPF | 11.20 ± 1.64 | 5.75 ± 0.92 |
| Lures + sticky boards + EPN/EPF | 13.72 ± 2.27 | 2.07 ± 0.34 |
| Negative control | 6.64 ± 0.74 | 5.78 ± 3.2 |
| In 2024 | ||
| Positive control | 7.36 ± 1.9 | 3.23 ± 1.02 |
| Lures + sticky boards | 9.11 ± 0.7 | 2.5 ±0.4 |
| White clover | 5.00 ± 0.1 | 1.2 ± 0.4 |
| White clover + EPN/EPF | 5.19 ± 0.2 | 1.38 ± 0.5 |
| EPN/EPF | 7.63 ± 1.9 | 3.40 ± 0.70 |
| Lures + sticky boards + EPN/EPF | 7.39 ± 1.5 | 2.48 ± 1.02 |
| Negative control | 7.22 ± 0.8 | 2.01 ± 0.6 |
Disclaimer/Publisher’s Note: The statements, opinions and data contained in all publications are solely those of the individual author(s) and contributor(s) and not of MDPI and/or the editor(s). MDPI and/or the editor(s) disclaim responsibility for any injury to people or property resulting from any ideas, methods, instructions or products referred to in the content. |
© 2025 by the authors. Licensee MDPI, Basel, Switzerland. This article is an open access article distributed under the terms and conditions of the Creative Commons Attribution (CC BY) license (https://creativecommons.org/licenses/by/4.0/).
Share and Cite
Bohinc, T.; Trdan, S. Limiting Onion Fly (Delia antiqua) and Onion Thrips (Thrips tabaci) Damage to Onions by Combined Use of Environmentally Acceptable Control Methods: Fact or Fantasy? Insects 2025, 16, 1097. https://doi.org/10.3390/insects16111097
Bohinc T, Trdan S. Limiting Onion Fly (Delia antiqua) and Onion Thrips (Thrips tabaci) Damage to Onions by Combined Use of Environmentally Acceptable Control Methods: Fact or Fantasy? Insects. 2025; 16(11):1097. https://doi.org/10.3390/insects16111097
Chicago/Turabian StyleBohinc, Tanja, and Stanislav Trdan. 2025. "Limiting Onion Fly (Delia antiqua) and Onion Thrips (Thrips tabaci) Damage to Onions by Combined Use of Environmentally Acceptable Control Methods: Fact or Fantasy?" Insects 16, no. 11: 1097. https://doi.org/10.3390/insects16111097
APA StyleBohinc, T., & Trdan, S. (2025). Limiting Onion Fly (Delia antiqua) and Onion Thrips (Thrips tabaci) Damage to Onions by Combined Use of Environmentally Acceptable Control Methods: Fact or Fantasy? Insects, 16(11), 1097. https://doi.org/10.3390/insects16111097

