Centrality of Hygienic Honey Bee Workers in Colony Social Networks
Simple Summary
Abstract
1. Introduction
2. Materials and Methods
2.1. Experimental Design
2.2. Statistics
| Measure | Igraph Functions | Description | Source |
|---|---|---|---|
| Degree Centrality | degree: Total exchanges; nectar receptions; nectar donations strength: Total time; time as receiver; time as donor | Number of edges connecting a node to other nodes. Can be directed (giver and receiver are distinguished) and weighted (edges are given an additional value based on the duration of the interaction). Each node’s degree and strength are a sum of all of their discrete connections and the duration of those interactions | [55] |
| Betweenness Centrality | betweenness | Centrality based on the number of shortest paths between every pair of nodes that pass through the considered node | [56] |
| Eigenvector Centrality | eigen_centrality | Centrality of a particular node based on its connection to other well-connected nodes. The igraph function uses an adjacency matrix to make this calculation; it is essentially proportional to the sum of centrality measures for all of the nodes connected to an original focal node in each calculation | [22] |
| Density | edge_density | The number of connections observed in a network divided by the theoretical maximum of connections | [57] |
| Assortativity | assortativity | Extent to which individuals preferentially interact with individuals of the same attribute (e.g., age, caste). This measure is calculated as the fraction of connections in a network between similarly labeled nodes over the total number of connections in the network | [22] |
3. Results
3.1. General Information on the Colonies and Their Networks
3.2. Are Workers That Perform Hygienic Behavior Less Central to the Colony Social Network?
3.3. Are Workers That Perform Hygienic Behavior Less Likely to Directly Interact with Younger Workers and the Queen?
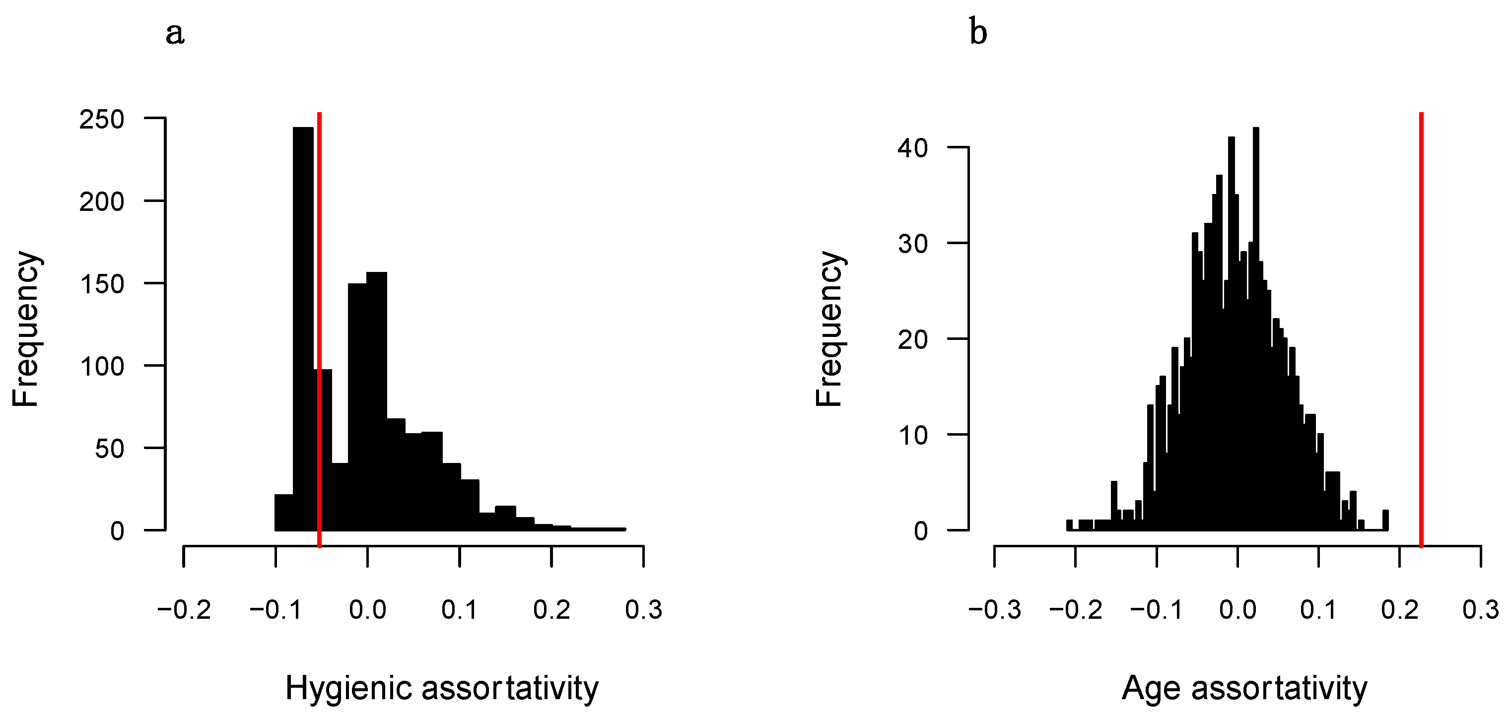
3.4. Are Hygienic Workers Positively Assortative?
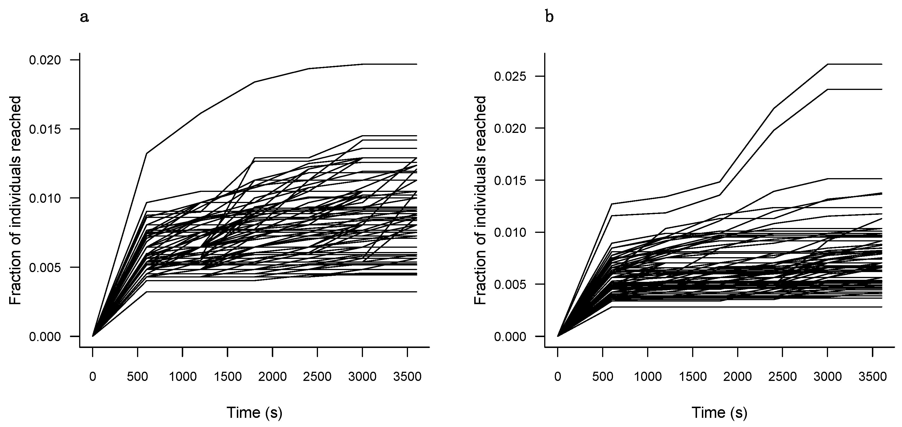
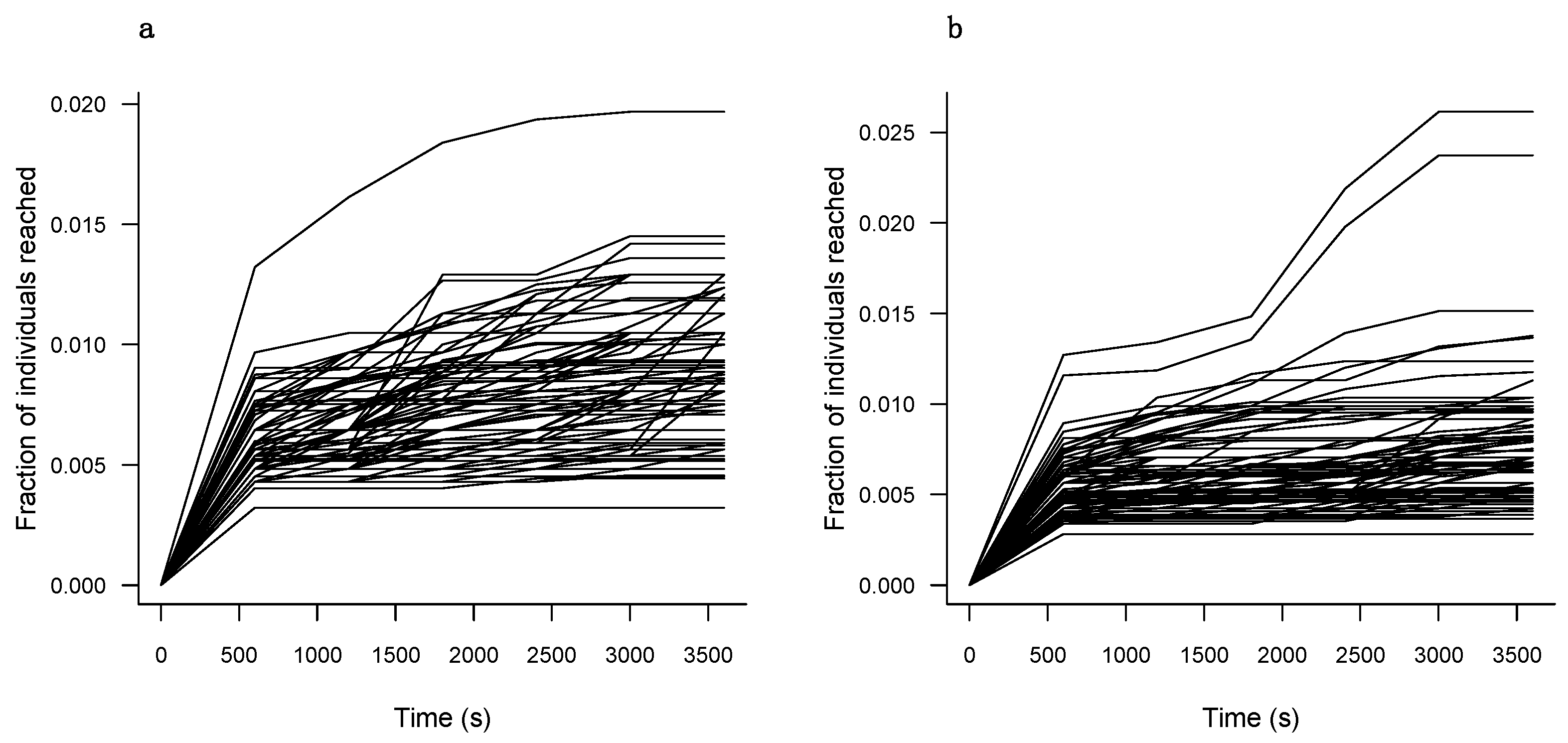
3.5. Do the Full Transmission Pathways of Hygienic Worker Interactions Make Them Less Likely to Serve as a Source of Widespread Infection in the Colony?
4. Discussion
4.1. General Information from the Colonies and Their Networks
4.2. Are Workers That Perform Hygienic Behavior Less Central to the Colony Social Network?
4.3. Are Workers That Perform Hygienic Behavior Less Likely to Directly Interact with Younger Workers and the Queen?
4.4. Are Hygienic Workers Positively Assortative?
4.5. Do the Full Transmission Pathways of Hygienic Worker Interactions Make Them Less Likely to Serve as a Source of Widespread Infection in the Colony?
Supplementary Materials
Author Contributions
Funding
Data Availability Statement
Acknowledgments
Conflicts of Interest
References
- Cremer, S.; Armitage, S.A.; Schmid-Hempel, P. Social immunity. Curr. Biol. 2007, 17, R693–R702. [Google Scholar] [CrossRef]
- Evans, J.D.; Spivak, M. Socialized medicine: Individual and communal disease barriers in honey bees. J. Invertebr. Pathol. 2010, 103, S62–S72. [Google Scholar] [CrossRef]
- Wilson-Rich, N.; Spivak, M.; Fefferman, N.H.; Starks, P.T. Genetic, individual, and group facilitation of disease resistance in insect societies. Annu. Rev. Entomol. 2009, 54, 405–423. [Google Scholar] [CrossRef] [PubMed]
- Stroeymeyt, N.; Casillas-Pérez, B.; Cremer, S. Organisational immunity in social insects. Curr. Opin. Insect Sci. 2014, 5, 1–15. [Google Scholar] [CrossRef]
- Park, O.W. Disease resistance and AFB. Am. Bee J. 1936, 76, 13–15. [Google Scholar]
- Rothenbuhler, W.C. Behaviour genetics of nest cleaning in honey bees. I. Responses of four inbred lines to disease-killed brood. Anim. Behav. 1964, 12, 578–583. [Google Scholar] [CrossRef]
- Rothenbuhler, W.C. Behavior genetics of nest cleaning in honey bees. IV. Responses of F1 and backcross generations to disease-killed brood. Am. Zool. 1964, 4, 111–123. [Google Scholar] [CrossRef] [PubMed]
- Spivak, M.; Gilliam, M. Facultative expression of hygienic behaviour of honey bees in relation to disease resistance. J. Apicult Res. 1993, 32, 147–157. [Google Scholar] [CrossRef]
- Naug, D.; Camazine, S. The role of colony organization on pathogen transmission in social insects. J. Theor. Biol. 2002, 215, 427–439. [Google Scholar] [CrossRef]
- Hart, A.G.; Ratnieks, F.L. Task partitioning, division of labour and nest compartmentalisation collectively isolate hazardous waste in the leafcutting ant Atta cephalotes. Behav. Ecol. Sociobiol. 2001, 49, 387–392. [Google Scholar] [CrossRef]
- Woyciechowski, M.; Moroń, D. Life expectancy and onset of foraging in the honeybee (Apis mellifera). Insectes Soc. 2009, 56, 193–201. [Google Scholar] [CrossRef]
- Heinze, J.; Walter, B. Moribund ants leave their nests to die in social isolation. Curr. Biol. 2010, 20, 249–252. [Google Scholar] [CrossRef]
- Rueppell, O.; Hayworth, M.K.; Ross, N.P. Altruistic self-removal of health-compromised honey bee workers from their hive. J. Evol. Biol. 2010, 23, 1538–1546. [Google Scholar] [CrossRef] [PubMed]
- Leclerc, J.B.; Detrain, C. Loss of attraction for social cues leads to fungal-infected Myrmica rubra ants withdrawing from the nest. Anim. Behav. 2017, 129, 133–141. [Google Scholar] [CrossRef]
- Pusceddu, M.; Cini, A.; Alberti, S.; Salaris, E.; Theodorou, P.; Floris, I.; Satta, A. Honey bees increase social distancing when facing the ectoparasite Varroa destructor. Sci. Adv. 2021, 7, 44. [Google Scholar] [CrossRef] [PubMed]
- Bos, N.; Lefèvre, T.; Jensen, A.B.; d’Ettorre, P. Sick ants become unsociable. J. Evol. Biol. 2012, 25, 342–351. [Google Scholar] [CrossRef] [PubMed]
- Naug, D. Structure of the social network and its influence on transmission dynamics in a honeybee colony. Behav. Ecol. Sociobiol. 2008, 62, 1719–1725. [Google Scholar] [CrossRef]
- Stroeymeyt, N.; Grasse, A.V.; Crespi, A.; Mersch, D.P.; Cremer, S.; Keller, L. Social network plasticity decreases disease transmission in a eusocial insect. Science 2018, 362, 941–945. [Google Scholar] [CrossRef] [PubMed]
- Whitehead, H. Analyzing Animal Societies: Quantitative Methods for Vertebrate Social Analysis; University of Chicago Press: Chicago, IL, USA, 2008. [Google Scholar]
- Croft, D.P.; James, R.; Krause, J. Exploring Animal Social Networks; Princeton University Press: Princeton, NJ, USA, 2008. [Google Scholar]
- Krause, J.; James, R.; Franks, D.W.; Croft, D.P. Animal Social Networks; Oxford University Press: New York, NY, USA, 2015. [Google Scholar]
- Newman, M. Networks, 2nd ed.; Oxford University Press: New York, NY, USA, 2008. [Google Scholar]
- Blonder, B.; Dornhaus, A. Time-ordered networks reveal limitations to information flow in ant colonies. PLoS ONE 2011, 6, e20298. [Google Scholar] [CrossRef]
- Blonder, B.; Wey, T.W.; Dornhaus, A.; James, R.; Sih, A. Temporal dynamics and network analysis. Methods Ecol. Evol. 2012, 3, 958–972. [Google Scholar] [CrossRef]
- Farine, D.R. When to choose dynamic vs. static social network analysis. J. Anim. Ecol. 2018, 87, 128–138. [Google Scholar] [CrossRef] [PubMed]
- Posada-Florez, F.; Lamas, Z.S.; Hawthorne, D.J.; Chen, Y.; Evans, J.D.; Ryabov, E.V. Pupal cannibalism by worker honey bees contributes to the spread of deformed wing virus. Sci. Rep. 2021, 11, 8989. [Google Scholar] [CrossRef]
- Woodrow, A.W.; Holst, E.C. The mechanism of colony resistance to American foulbrood. J. Econ. Entomol. 1942, 35, 327–330. [Google Scholar] [CrossRef]
- Malone, L.A.; Gatehouse, H.S. Effects of Nosema apis Infection on Honey Bee (Apis mellifera) Digestive Proteolytic Enzyme Activity. J. Invertbr Pathol. Mar. 1998, 71, 169–174. [Google Scholar] [CrossRef]
- Smith, M.L. The honey bee parasite Nosema ceranae: Transmissible via food exchange? PLoS ONE 2012, 7, e43319. [Google Scholar] [CrossRef]
- Chen, Y.; Evans, J.; Feldlaufer, M. Horizontal and vertical transmission of viruses in the honey bee, Apis mellifera. J. Invertebr. Pathol. 2006, 92, 152–159. [Google Scholar] [CrossRef] [PubMed]
- Chen, Y.P.; Pettis, J.S.; Corona, M.; Chen, W.P.; Li, C.J.; Spivak, M.; Visscher, P.K.; DeGrandi-Hoffman, G.; Boncristiani, H.; Zhao, Y.; et al. Israeli acute paralysis virus: Epidemiology, pathogenesis and implications for honey bee health. PLoS Pathogens 2014, 10, 1004261. [Google Scholar] [CrossRef]
- Colwell, M.J.; Pernal, S.F.; Currie, R.W. Treatment of waxborne honey bee (Hymenoptera: Apidae) viruses using time, temperature, and electron-beam irradiation. J. Econ. Entomol. 2024, 117, 34–42. [Google Scholar] [CrossRef] [PubMed]
- Quevillon, L.E.; Hanks, E.M.; Bansal, S.; Hughes, D.P. Social, spatial, and temporal organization in a complex insect society. Sci. Rep. 2015, 5, 13393. [Google Scholar] [CrossRef]
- Arathi, H.S.; Burns, I.; Spivak, M. Ethology of hygienic behaviour in the honey bee Apis mellifera L. (Hymenoptera: Apidae): Behavioural repertoire of hygienic bees. Ethology 2000, 106, 365–379. [Google Scholar] [CrossRef]
- Arathi, H.S.; Spivak, M. Influence of colony genotypic composition on the performance of hygienic behaviour in the honeybee, Apis mellifera L. Anim. Behav. 2001, 62, 57–66. [Google Scholar] [CrossRef]
- Perez, A.A.; Johnson, B.R. Task repertoires of hygienic workers reveal a link between specialized necrophoric behaviors in honey bees. Behav. Ecol. Sociobiol. 2019, 73, 123. [Google Scholar] [CrossRef]
- Masterman, R.; Smith, B.H.; Spivak, M. Brood odor discrimination abilities in hygienic honey bees (Apis mellifera L.) using proboscis extension reflex conditioning. J. Insect Behav. 2000, 13, 87–101. [Google Scholar] [CrossRef]
- Masterman, R.; Ross, R.; Mesce, K.; Spivak, M. Olfactory and behavioral response thresholds to odors of diseased brood differ between hygienic and non-hygienic honey bees (Apis mellifera L.). J. Comp. Physiol. A 2001, 187, 441–452. [Google Scholar]
- Gramacho, K.P.; Spivak, M. Differences in olfactory sensitivity and behavioral responses among honey bees bred for hygienic behavior. Behav. Ecol. Sociobiol. 2003, 54, 472–479. [Google Scholar] [CrossRef]
- Spivak, M.; Masterman, R.; Ross, R.; Mesce, K.A. Hygienic behavior in the honey bee (Apis mellifera L.) and the modulatory role of octopamine. J. Neurobiol. 2003, 55, 341–354. [Google Scholar] [CrossRef] [PubMed]
- Bailey, L.; Gibbs, J. Acute infection of bees with paralysis virus. J. Insect Pathol. 1964, 6, 395–407. [Google Scholar]
- Fries, I.; Camazine, S. Implications of horizontal and vertical pathogen transmission for honey bee epidemiology. Apidologie 2001, 32, 199–214. [Google Scholar] [CrossRef]
- Geffre, A.C.; Gernat, T.; Harwood, G.P.; Jones, B.M.; Gysi, D.M.; Hamilton, A.R.; Bonning, B.; Toth, A.L.; Robinson, G.E.; Dolezal, A.G. Honey bee virus causes context-dependent changes in host social behavior. Proc. Natl. Acad. Sci. USA 2020, 117, 10406–10413. [Google Scholar] [CrossRef] [PubMed]
- Seeley, T.D. Adaptive significance of the age polyethism schedule in honeybee colonies. Behav. Ecol. Sociobiol. 1982, 11, 287–293. [Google Scholar] [CrossRef]
- Spivak, M.; Downey, D.L. Field assays for hygienic behavior in honey bees (Hymenoptera: Apidae). J. Econ. Entomol. 1998, 91, 64–70. [Google Scholar] [CrossRef]
- Farina, W.M.; Wainselboim, A.J. Trophallaxis within the dancing context: A behavioral and thermographic analysis in honeybees (Apis mellifera). Apidologie 2005, 36, 43–47. [Google Scholar] [CrossRef][Green Version]
- Gernat, T.; Rao, V.D.; Middendorf, M.; Dankowicz, H.; Goldenfeld, N.; Robinson, G.E. Automated monitoring of behavior reveals bursty interaction patterns and rapid spreading dynamics in honeybee social networks. Proc. Natl. Acad. Sci. USA 2018, 115, 1433–1438. [Google Scholar] [CrossRef] [PubMed]
- R Core Team. R: A Language and Environment for Statistical Computing; R Foundation for Statistical Computing: Vienna, Austria, 2024; Available online: https://www.R-project.org/ (accessed on 1 December 2019).
- Posit Team. RStudio: Integrated Development Environment for R. Posit Software; PBC: Boston, MA, USA, 2024; Available online: http://www.posit.co/ (accessed on 1 December 2019).
- Csardi, G.; Nepusz, T. The igraph software package for complex network research. InterJournal Complex Syst. 2006, 1695, 1–9. [Google Scholar]
- Farine, D.R. Animal social network inference and permutations for ecologists in R using asnipe. Methods Ecol. Evol. 2013, 4, 1187–1194. [Google Scholar] [CrossRef]
- Farine, D.R. A guide to null models for animal social network analysis. Methods Ecol. Evol. 2017, 8, 1309–1320. [Google Scholar] [CrossRef]
- Firth, J.A.; Sheldon, B.C. Experimental manipulation of avian social structure reveals segregation is carried over across contexts. Proc. Royal Soc. B 2015, 282, 20142350. [Google Scholar] [CrossRef]
- Blonder, B. Timeordered: Time-Ordered and Time-Aggregated Network Analyses, R package version 0.9. 2015.
- Lloyd-Smith, J.O.; Schreiber, S.J.; Kopp, P.E.; Getz, W.M. Superspreading and the effect of individual variation on disease emergence. Nature 2005, 438, 355–359. [Google Scholar] [CrossRef]
- Wasserman, S.; Faust, K. Social Network Analysis: Methods and Applications; Cambridge University Press: New York, NY, USA, 1994. [Google Scholar]
- Barthélemy, M.; Barrat, A.; Pastor-Satorras, R.; Vespignani, A. Dynamical patterns of epidemic outbreaks in complex heterogeneous networks. J. Theor. Biol. 2009, 235, 275–288. [Google Scholar] [CrossRef]
- Palacio, M.A.; Rodriguez, E.; Goncalves, L.; Bedascarrasbure, E.; Spivak, M. Hygienic behaviors of honey bees in response to brood experimentally pin-killed or infected with Ascosphaera apis. Apidologie 2010, 41, 602–612. [Google Scholar] [CrossRef]
- Scannapieco, A.C.; Lanzavecchia, S.B.; Parreño, M.A.; Liendo, M.C.; Cladera, J.L.; Spivak, M.; Palacio, M.A. Individual precocity, temporal persistence, and task-specialization of hygienic bees from selected colonies of Apis mellifera. J. Apic. Sci. 2016, 60, 63–74. [Google Scholar] [CrossRef][Green Version]
- Sendova-Franks, A.B.; Hayward, R.K.; Wulf, B.; Klimek, T.; James, R.; Planqué, R.; Britton, N.F.; Franks, N.R. Emergency networking: Famine relief in ant colonies. Anim. Behav. 2010, 79, 473–485. [Google Scholar] [CrossRef]
- Feigenbaum, C.; Naug, D. The influence of social hunger on food distribution and its implications for disease transmission in a honeybee colony. Insectes Soc. 2010, 57, 217–222. [Google Scholar] [CrossRef]
- Otterstatter, M.C.; Thomson, J.D. Contact networks and transmission of an intestinal pathogen in bumble bee (Bombus impatiens) colonies. Oecologia 2007, 154, 411–421. [Google Scholar] [CrossRef] [PubMed]
- Jeanson, R. Long-term dynamics in proximity networks in ants. Animal Behav. 2012, 83, 915–923. [Google Scholar] [CrossRef]
- Baracchi, D.; Cini, A. A socio-spatial combined approach confirms a highly compartmentalised structure in honeybees. Ethology 2014, 120, 1167–1176. [Google Scholar] [CrossRef]
- Crall, J.D.; Switzer, C.M.; Oppenheimer, R.L.; Versypt, A.N.F.; Dey, B.; Brown, A.; Eyster, M.; Guérin, C.; Pierce, N.; Combes, S.; et al. Neonicotinoid exposure disrupts bumblebee nest behavior, social networks, and thermoregulation. Science 2018, 362, 683–686. [Google Scholar] [CrossRef]
- Seeley, T.D.; Camazine, S.; Sneyd, J. Collective decision-making in honey bees: How colonies choose among nectar sources. Behav. Ecol. Sociobiol. 1991, 28, 277–290. [Google Scholar] [CrossRef]
- Pratt, S.C.; Mallon, E.B.; Sumpter, D.J.; Franks, N.R. Quorum sensing, recruitment, and collective decision-making during colony emigration by the ant Leptothorax albipennis. Behav. Ecol. Sociobiol. 2002, 52, 117–127. [Google Scholar] [CrossRef]
- Greene, M.J.; Gordon, D.M. Cuticular hydrocarbons inform task decisions. Nature 2003, 423, 322. [Google Scholar] [CrossRef]
- Schmickl, T.; Crailsheim, K. Inner nest homeostasis in a changing environment with special emphasis on honey bee brood nursing and pollen supply. Apidologie 2004, 35, 249–263. [Google Scholar] [CrossRef]
- Johnson, B.R. Task partitioning in honey bees: The roles of signals and cues in group-level coordination of action. Behav. Ecol. 2010, 21, 1373–1379. [Google Scholar] [CrossRef]
- Johnson, B.R. Division of labor in honeybees: Form, function, and proximate mechanisms. Behav. Ecol. Sociobiol. 2010, 64, 305–316. [Google Scholar] [CrossRef] [PubMed]
- Prabhakar, B.; Dektar, K.N.; Gordon, D.M. The regulation of ant colony foraging activity without spatial information. PLoS Comput. Biol. 2012, 8, e1002670. [Google Scholar] [CrossRef]
- Friedman, D.A.; Johnson, B.R.; Linksvayer, T.A. Distributed physiology and the molecular basis of social life in eusocial insects. Horm. Behav. 2020, 122, 104757. [Google Scholar] [CrossRef] [PubMed]
- Farina, W.M. Food-exchange by foragers in the hive—A means of communication among honey bees? Behav. Ecol. Sociobiol. 1996, 38, 59–64. [Google Scholar] [CrossRef]
- Farina, W.M.; Grüter, C.; Acosta, L.; Mc Cabe, S. Honeybees learn floral odors while receiving nectar from foragers within the hive. Naturwissenschaften 2007, 94, 55–60. [Google Scholar] [CrossRef] [PubMed]
- LeBoeuf, A.C.; Waridel, P.; Brent, C.S.; Gonçalves, A.N.; Menin, L.; Ortiz, D.; Riba-Grognuz, O.; Koto, A.; Soares, Z.G.; Privman, E.; et al. Oral transfer of chemical cues, growth proteins and hormones in social insects. eLife 2016, 5, e20375. [Google Scholar] [CrossRef]
- LeBoeuf, A.C. Trophallaxis. Curr. Biol. 2017, 27, R1299–R1300. [Google Scholar] [CrossRef] [PubMed]
- Gordon, D.M. The organization of work in social insect colonies. Nature 1996, 380, 121–124. [Google Scholar] [CrossRef]
- Johnson, B.R. Reallocation of labor in honeybee colonies during heat stress: The relative roles of task switching and the activation of reserve labor. Behav. Ecol. Sociobiol. 2002, 51, 188–196. [Google Scholar] [CrossRef]
- Johnson, B.R. Organization of work in the honeybee: A compromise between division of labour and behavioural flexibility. Proc. R. Soc. B 2003, 270, 147–152. [Google Scholar] [CrossRef]
- Johnson, B.R. A self-organizing model for task allocation via frequent task quitting and random walks in the honeybee. Am. Nat. 2009, 174, 537–547. [Google Scholar] [CrossRef] [PubMed]
- Robinson, E.J.; Feinerman, O.; Franks, N.R. Flexible task allocation and the organization of work in ants. Proc. Royal Soc. Biol. 2009, 276, 4373–4380. [Google Scholar] [CrossRef]
- Arathi, H.S.; Ho, G.; Spivak, M. Inefficient task partitioning among nonhygienic honeybees, Apis mellifera L., and implications for disease transmission. Anim. Behav. 2006, 72, 431–438. [Google Scholar] [CrossRef]
- Johnson, B.R. Within-nest temporal polyethism in the honey bee. Behav. Ecol. Sociobiol. 2008, 62, 777–784. [Google Scholar] [CrossRef]
- Paleolog, J. Behavioural characteristics of honey bee (Apis mellifera) colonies containing mix of workers of divergent behavioural traits. Anim. Sci. Pap. Rep. 2009, 27, 237–248. [Google Scholar]
- Conroy, T.E.; Holman, L. Social immunity in the honey bee: Do immune-challenged workers enter enforced or self-imposed exile? Behav. Ecol. Sociobiol. 2022, 76, 32. [Google Scholar] [CrossRef]
- Salvy, M.; Martin, C.; Bagnères, A.G.; Provost, E.; Roux, M.; Le Conte, Y.; Clement, J.L. Modifications of the cuticular hydrocarbon profile of Apis mellifera worker bees in the presence of the ectoparasitic mite Varroa jacobsoni in brood cells. Parasitology 2001, 122, 145–159. [Google Scholar] [CrossRef] [PubMed]
- Konrad, M.; Vyleta, M.L.; Theis, F.J.; Stock, M.; Tragust, S.; Klatt, M.; Drescher, V.; Marr, C.; Ugelvig, L.V.; Cremer, S. Social transfer of pathogenic fungus promotes active immunisation in ant colonies. PLoS Biol. 2012, 10, e1001300. [Google Scholar] [CrossRef] [PubMed]
- Baracchi, D.; Fadda, A.; Turillazzi, S. Evidence for antiseptic behaviour towards sick adult bees in honey bee colonies. J. Insect Physiol. 2012, 58, 1589–1596. [Google Scholar] [CrossRef]
- Leclerc, J.B.; Detrain, C. Ants detect but do not discriminate diseased workers within their nest. Naturwissenschaften 2016, 103, 70. [Google Scholar] [CrossRef] [PubMed]
- Richard, F.J.; Aubert, A.; Grozinger, C.M. Modulation of social interactions by immune stimulation in honey bee, Apis mellifera, workers. BMC Biol. 2008, 6, 50. [Google Scholar] [CrossRef]
- Richard, F.J.; Holt, H.L.; Grozinger, C.M. Effects of immunostimulation on social behavior, chemical communication and genome-wide gene expression in honey bee workers (Apis mellifera). BMC Genom. 2012, 13, 558. [Google Scholar] [CrossRef] [PubMed]
- Shizuka, D.; Farine, D.R. Measuring the robustness of network community structure using assortativity. Anim. Behav. 2016, 112, 237–246. [Google Scholar] [CrossRef]
- Oster, G.F.; Wilson, E.O. Caste and ecology in the social insects. Monogr. Pop. Biol. 1978, 81, 1–352. [Google Scholar]
- Scholl, J.; Naug, D. Olfactory discrimination of age-specific hydrocarbons generates behavioral segregation in a honeybee colony. Behav. Ecol. Sociobiol. 2011, 65, 1967. [Google Scholar] [CrossRef]
- Kather, R.; Drijfhout, F.P.; Martin, S.J. Task group differences in cuticular lipids in the honey bee Apis mellifera. J. Chem. Ecol. 2011, 37, 205–212. [Google Scholar] [CrossRef]
- Vernier, C.L.; Krupp, J.J.; Marcus, K.; Hefetz, A.; Levine, J.D.; Ben-Shahar, Y. The cuticular hydrocarbon profiles of honey bee workers develop via a socially-modulated innate process. eLife 2019, 8, e41855. [Google Scholar] [CrossRef]





| Measure | Colony 1 | Colony 2 |
|---|---|---|
| Individuals (nodes) | 310 | 354 |
| Trophallactic connections (edges) | 258 | 302 |
| Maximum duration of trophallaxis | 170 s | 212 s |
| Network density | 0.003 | 0.002 |
| Total number of hygienic workers | 73 | 55 |
| Uncap | 55 (75.0%) | 38 (69.1%) |
| Remove | 13 (18.0%) | 15 (27.3%) |
| Both | 5 (7.0%) | 2 (3.6%) |
| Mean (±SD) age uncap | 17.7 (±9.4) days | 21.0 (±8.3) days |
| Mean (±SD) age remove | 21.4 (±7.4) days | 19.5 (±8.4) days |
| Hygienic workers in network | 20 (27.4%) | 20 (36.4%) |
| Non-hygienic middle-aged bees in network | 59 | 48 |
| Hygienic (N = 20) | Non-Hygienic (N = 59) | Permutation Test | ||
|---|---|---|---|---|
| Total Nectar Exchanges | 26 (1) | 99 (1) | 0.390; p = 0.038 | |
| Direct Connections | As Receiver | 11 (0.5) | 35 (1) | 0.302; p = 0.321 |
| As Donor | 15 (1) | 64 (1) | 0.088; p = 0.115 | |
| Total Time | 323 (6) | 1041 (7) | 8.288; p = 0.309 | |
| Time as Receiver | 199 (1) | 331 (2) | 2.140; p = 0.105 | |
| Time as Donor | 124 (2) | 710 (3) | 6.148; p = 0.082 | |
| Positional Metrics | Betweenness | 7 (0) | 109 (0) | 0.012; p = 0.144 |
| Eigenvector | 1 (0) | 0 (0) | 2.598; p = 0.095 |
| Hygienic (N = 20) | Non-Hygienic (N = 48) | Permutation Test | ||
|---|---|---|---|---|
| Total Nectar Exchanges | 27 (1) | 85 (1) | 0.378; p = 0.06 | |
| Direct Connections | As Receiver | 16 (1) | 37 (1) | 0.056; p = 0.328 |
| As Donor | 11 (0) | 48 (1) | 0.321; p = 0.034 | |
| Total Time | 333 (8) | 1508 (16) | 10.964; p = 0.029 | |
| Time as Receiver | 247 (3) | 537 (2) | 1.126; p = 0.308 | |
| Time as Donor | 86 (0) | 971 (4) | 9.748; p = 0.005 * | |
| Positional Metrics | Betweenness | 13 (0) | 45 (0) | 0.007; p = 0.349 |
| Eigenvector | 0.05 (0) | 0.11 (0) | 0.703; p = 0.328 |
| Hygienic | Non-Hygienic | Permutation Test | |
|---|---|---|---|
| Nectar Exchanges | 8 | 16 | 0.163; p = 0.443 |
| As Receiver | 3 | 7 | 0.136; p = 0.489 |
| As Donor | 5 | 9 | 0.026; p = 0.464 |
| Total Time | 111 | 411 | 6.113; p = 0.337 |
| Time as Receiver | 80 | 180 | 1.709; p = 0.157 |
| Time as Donor | 31 | 231 | 4.405; p = 0.130 |
| Hygienic | Non-Hygienic | Permutation Test | |
|---|---|---|---|
| Nectar Exchanges | 2 | 26 | 0.385; p = 0.012 * |
| As Receiver | 2 | 13 | 0.138; p = 0.467 |
| As Donor | 0 | 13 | 0.247; p = 0.006 * |
| Total Time | 4 | 684 | 8.592; p < 0.001 * |
| Time as Receiver | 4 | 236 | 4.187; p = 0.024 * |
| Time as Donor | 0 | 448 | 4.404; p = 0.006 * |
Disclaimer/Publisher’s Note: The statements, opinions and data contained in all publications are solely those of the individual author(s) and contributor(s) and not of MDPI and/or the editor(s). MDPI and/or the editor(s) disclaim responsibility for any injury to people or property resulting from any ideas, methods, instructions or products referred to in the content. |
© 2025 by the authors. Licensee MDPI, Basel, Switzerland. This article is an open access article distributed under the terms and conditions of the Creative Commons Attribution (CC BY) license (https://creativecommons.org/licenses/by/4.0/).
Share and Cite
Perez, A.; Johnson, B.R. Centrality of Hygienic Honey Bee Workers in Colony Social Networks. Insects 2025, 16, 58. https://doi.org/10.3390/insects16010058
Perez A, Johnson BR. Centrality of Hygienic Honey Bee Workers in Colony Social Networks. Insects. 2025; 16(1):58. https://doi.org/10.3390/insects16010058
Chicago/Turabian StylePerez, Adrian, and Brian R. Johnson. 2025. "Centrality of Hygienic Honey Bee Workers in Colony Social Networks" Insects 16, no. 1: 58. https://doi.org/10.3390/insects16010058
APA StylePerez, A., & Johnson, B. R. (2025). Centrality of Hygienic Honey Bee Workers in Colony Social Networks. Insects, 16(1), 58. https://doi.org/10.3390/insects16010058

