Functional Responses of the Warehouse Pirate Bug Xylocoris flavipes (Reuter) (Hemiptera: Anthocoridae) on a Diet of Liposcelis decolor (Pearman) (Psocodea: Liposcelididae)
Simple Summary
Abstract
1. Introduction
2. Materials and Methods
2.1. Rearing of Liposcelis decolor
2.2. Rearing of Xylocoris flavipes
2.3. Experimental Arenas
2.4. Functional Responses of Adult♀ and Nymphs of X. flavipes
2.5. Statistical Analysis
3. Results
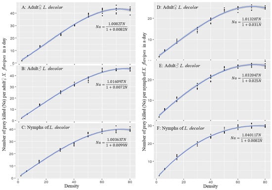
3.1. Functional Response Curves
3.2. Holling Type II Functional Response Models for Fitted Curves
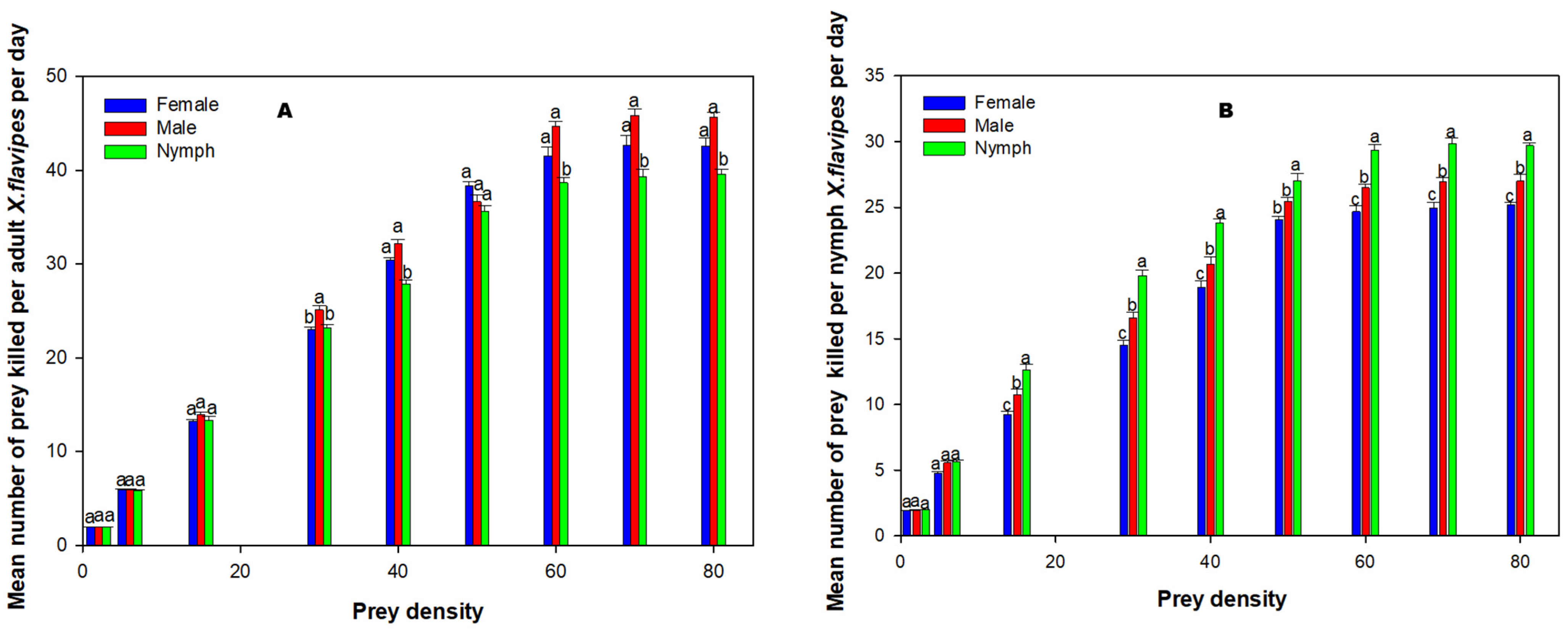
3.3. Per Capita Predation and Searching Efficiency of Adult♀ or Nymphs of X. flavipes on a Diet of L. decolor at Different Life Stages and Densities
4. Discussion
5. Conclusions
Author Contributions
Funding
Data Availability Statement
Acknowledgments
Conflicts of Interest
References
- Nayak, M.K.; Collins, P.J.; Throne, J.E.; Wang, J.J. Biology and management of psocids infesting stored products. Annu. Rev. Entomol. 2014, 59, 279–297. [Google Scholar] [CrossRef] [PubMed]
- Stejskal, V.; Hubert, J.; Aulicky, R.; Kučerová, Z. Overview of present and past and pest-associated risks in stored food and feed products: European perspective. J. Stored Prod. Res. 2015, 64, 122–132. [Google Scholar] [CrossRef]
- Wei, D.D.; He, W.; Miao, Z.Q.; Tu, T.Q.; Wang, L.; Dou, W.; Wang, J.J. Characterization of esterase genes involving malathion detoxification and establishment of an RNA interference method in Liposcelis bostrychophila. Front. Physiol. 2020, 11, 274. [Google Scholar] [CrossRef] [PubMed]
- Ahmedani, M.S.; Shagufta, N.; Aslam, M.; Hussnain, S.A. Psocid: A new risk for global food security and safety. Appl. Entomol. Zool. 2010, 45, 89–100. [Google Scholar] [CrossRef]
- Stejskal, V.; Douda, O.; Zouhar, M.; Throne, J.E.; Opit, G.P.; Flinn, P.W. Seasonal distribution of psocids in stored wheat. In Proceedings of the 9th International Working Conference on Stored-Product Protection, Campinas, Brazil, 15–18 October 2006; Lorini, I., Bacaltchuk, B., Beckel, H., Deckers, E., Sundfeld, E., Dos Santos, J.P., Biagi, J.D., Celaro, J.C., Faroni, L.R.D.A., Bortolini, L., et al., Eds.; ABRAPOS: Rodovia, Brazil, 2006. [Google Scholar]
- Athanassiou, C.G.; Arthur, F.H.; Throne, J.E.; Opit, G.P.; Hasan, M.M.; Aikins, M.J.; Phillips, T.W.; Kavallieratos, N.G. Efficacy of insecticides for control of stored-product psocid. In Proceedings of the 10th International Working Conference on Stored Product Protection, Estoril, Portugal, 27 June–2 July 2010; Carvalho, O.M., Fields, P.G., Adler, C.S., Arthur, F.H., Athanassiou, C.G., Campbell, J.F., Fleurat-Lessard, F., Flinn, P.W., Hodges, R.J., Isikber, A.A., et al., Eds.; Julius-Kuhn-Archiv: Berlin, Germany, 2010; pp. 805–814. [Google Scholar] [CrossRef]
- Gautam, S.G.; Opit, G.P.; Giles, K.L.; Adam, B. Weight loss and germination failure caused by psocids in different wheat varieties. J. Econ. Entomol. 2013, 106, 491–498. [Google Scholar] [CrossRef] [PubMed]
- Athanassiou, C.G.; Rumbos, C.I. Emerging pests in durable stored products. In Recent Advances in Stored Product Protection; Athanassiou, C.G., Arthur, F.H., Eds.; Springer: Berlin/Heidelberg, Germany, 2018. [Google Scholar] [CrossRef]
- Diaz-Montano, J.; Campbell, J.F.; Phillips, T.W.; Throne, J.E. Evaluation of light attraction for the stored-product psocids, Liposcelis entomophila, Liposcelis paeta, and Liposcelis brunnea. J. Econ. Entomol. 2018, 111, 1476–1480. [Google Scholar] [CrossRef] [PubMed]
- Danso, J.K.; Opit, G.P.; Noden, B.H.; Giles, K.L. Estimating discriminating doses of phosphine for adults of eight species of psocids of genera Liposcelis (Psocodea: Liposcelididae) and Lepinotus (Psocodea: Trogiidae). J. Stored Prod. Res. 2022, 99, 102025. [Google Scholar] [CrossRef]
- Opit, G.P.; Throne, J.E. Population growth and development of the psocid Lepinotus reticulatus at constant temperatures and relative humidities. J. Econ. Entomol. 2008, 101, 605–615. [Google Scholar] [CrossRef] [PubMed]
- Athanassiou, C.G.; Kavallieratos, N.G.; Throne, J.E.; Nakas, C.T. Competition among species of stored product psocids in stored grains (Psocoptera). PloS ONE 2014, 9, e102867. [Google Scholar] [CrossRef]
- Ocran, A.F.; Opit, G.P.; Noden, B.H.; Arthur, F.H.; Kard, B.M. Effects of dehumidification on the survivorship of four psocid species. J. Econ. Entomol. 2021, 114, 1380–1388. [Google Scholar] [CrossRef]
- Phillips, T.W.; Throne, J.E. Biorational approaches to managing stored product insects. Ann. Rev. Entomol. 2010, 55, 375–397. [Google Scholar] [CrossRef] [PubMed]
- Smith, H.S. On some phases of insect control by the biological method 1. J. Econ. Entomol. 1919, 12, 288–292. [Google Scholar] [CrossRef]
- Huffaker, C.B.; Messenger, P.S. Theory and Practice of Biological Control; Academic Press: New York, NY, USA, 1976. [Google Scholar]
- Danso, J.K.; Opit, G.P.; Goad, C.L.; Noden, B.H.; Giles, K.L. Functional responses of predatory mites, Cheyletus eruditus (Schrank) and Cheyletus malaccensis Oudemans (Trombidiformes: Cheyletidae) to Liposcelis decolor (Pearman) (Psocodea: Liposcelididae). J. Stored Prod. Res. 2023, 103, 102–141. [Google Scholar] [CrossRef]
- DeLong, J.P. Predator Ecology: Evolutionary Ecology of the Functional Response, 1st ed.; Oxford University Press: Oxford, UK, 2021; p. 1. [Google Scholar]
- Ali, S.; Li, S.; Jaleel, W.; Khan, M.M.; Wang, J.; Zhou, X. Using a two-sex life table tool to calculate the fitness of Orius strigicollis as a predator of Pectinophora gossypiella. Insects 2020, 11, 275. [Google Scholar] [CrossRef] [PubMed]
- Ali, S.; Zhu, Q.; Jaleel, W.; Rehman, S.U.; Rasheed, M.A.; Khan, M.M.; Islam, Y.; Hafeez, M.; Zhou, X. Determination of fitness traits of Orius strigicollis Poppius (Hemiptera: Anthocoridae) on Pectinophora gossypiella (Lepidoptera: Gelechiidae) using two-sex life table analysis. PeerJ 2020, 8, e9594. [Google Scholar] [CrossRef] [PubMed]
- Sarmad, M.; Jaleel, W.; Zaka, S.M.; Saeed, Q.; Azher, F.; Rabbani, M.K.; Ullah, R.M.K. Fitness and predating potential of Antilochus coquebertii (Hemiptera: Pyrrhocoridae): A predator of the red cotton bug (Dysdercus koenigii). J. Kans. Entomol. Soc. 2020, 92, 589–601. [Google Scholar] [CrossRef]
- Hanson, L.S. Potential for widespread application of biolocal control of stored-product pests–the European perspective. J. Stored Prod. Res. 2007, 43, 312–313. [Google Scholar] [CrossRef]
- Schöller, M.E.; Flinn, P.W.; Grieshop, M.J.; Zd’árková, E. Biological control of stored product pests. In Insect Management for Food Storage and Processing, 2nd ed.; Heaps, J.W., Ed.; American Association of Cereal Chemistry International: St Paul, MN, USA, 2006; pp. 67–87. [Google Scholar] [CrossRef]
- Prozell, S.; Schöller, M. Five years of biological control of stored-product moths in Germany. In Advances in Stored Product Protection, Proceedings of the 8th International Working Conference on Stored Product Protection, 22–26 July 2002, York, UK; Credland, P.F., Armitage, D.M., Bell, C.H., Cogan, P.M., Highley, E., Eds.; Research Information Ltd.: Burnham, UK; pp. 322–324.
- Ždárková, E.; Horák, E. Preventive biological control of stored food mites in empty stores using Cheyletus eruditus (Schrank). Crop Prot. 1990, 9, 378–382. [Google Scholar] [CrossRef]
- Hagstrum, D.W.; Subramanyam, B. Fundamentals of Stored-Product Entomology; AACC International: St. Paul, MN, USA, 2006. [Google Scholar]
- LeCato, G.L.; Davis, R. Preferences of the predator Xylocoris flavipes (Hemiptera: Anthocoridae) for species and instars of stored products insects. Fla. Entomol. 1973, 56, 57–59. Available online: https://journals.flvc.org/flaent/article/view/56764 (accessed on 22 May 2024). [CrossRef]
- Arbogast, R.T. Cannibalism in Xylocoris flavipes (Reuter) (Hemiptera: Anthocoridae), a predator of stored-product insects. Entomol. Exp. Appl. 1979, 25, 128–135. [Google Scholar] [CrossRef]
- Press, J.W.; Flaherty, B.R.; Arbogast, R.T. Control of the red flour beetle, Tribolium castaneum, in a warehouse by a predacious bug, Xylocoris flavipes. J. Ga. Entomol. Soc. 1975, 10, 76–78. [Google Scholar]
- Schöller, M.; Prozell, S. Potential of Xylocoris flavipes (Hemiptera: Anthocoridae) to control Tribolium confusum (Coleoptera:Tenebrionidae) in Central Europe. IOBC/WPRS Bull. 2011, 69, 163–168. [Google Scholar]
- Berger, A.; Degenkolb, T.; Vilcinskas, A.; Schöller, M. Evaluating the combination of a parasitoid and a predator for biological control of seed beetles (Chrysomelidae: Bruchinae) in stored beans. J. Stored Prod. Res. 2017, 74, 22–26. [Google Scholar] [CrossRef]
- Reichmuth, C.; Schöller, M.; Ulrichs, C. Stored Product Pests in Grain. Morphology, Biology, Damage, and Control; AgroConcept Verlagsgesellschaft: Bonn, Germany, 2007; 170p. [Google Scholar]
- Rabinder, K.; Singh, V.J. Role of Blaptostetus pallescens Poppius and Xylocoris flavipes (Reuter) in the suppression of Corcyra cephalonica Stainton in stored rice grain. J. Biol. Ctr. 2011, 25, 329–332. [Google Scholar]
- Suma, P.M.; Amante, S.; Bella, A.; Pergola, L.; Russo, A. Stored-product insects natural enemies in wheat industry in Sicily. IOBC-WPRS Bull. 2013, 98, 227–233. [Google Scholar]
- Donnelly, B.E.; Phillips, T.W. Functional response of Xylocoris flavipes (Hemiptera: Anthocoridae) effects of prey species and habitat. Environ. Entomol. 2001, 30, 617–624. [Google Scholar] [CrossRef]
- Basumatary, M.M.; Patgiri, P.; Handique, G. First report of warehouse pirate bug (Xylocoris flavipes (Reuter) (Hemiptera: Anthocoridae) on stored paddy from north-east India. Insect Environ. 2013, 19, 94–95. [Google Scholar]
- Danso, J.K.; Opit, G.P.; Giles, K.L.; Noden, B.H. Ecological interactions of predatory mites, Cheyletus eruditus (Schrank) (Trombidiformes: Cheyletidae) and Cheyletus malaccensis Oudemans, and prey, Liposcelis decolor (Pearman) (Psocodea: Liposcelididae), under different thermo-hygrometric regimes. Insects 2023, 14, 717. [Google Scholar] [CrossRef] [PubMed]
- Fathipour, Y.; Maleknia, B. Mite predators. In Ecofriendly Pest Management for Food Security; Omkar, Ed.; Elsevier: San Diego, CA, USA, 2016; pp. 329–366. [Google Scholar]
- Holling, C.S. The components of predation as revealed by a study of small mammal predation of the European pine sawfly. Can. Entomol. 1959, 91, 293–320. [Google Scholar] [CrossRef]
- Holling, C.S. Some characteristics of simple types of predation and parasitism. Can. Entomol. 1959, 91, 385–398. [Google Scholar] [CrossRef]
- Rahman, V.J.; Babu, A.; Roobakkumar, A.; Perumalsamy, K. Functional and numerical responses of the predatory mite, Neoseiulus longispinosus to the red spider mites, Oligonychus coffeae, infesting tea. J. Insect Sci. 2012, 12, 125. [Google Scholar] [CrossRef] [PubMed]
- Sepúlveda, F.; Carrillo, R. Functional response of the predatory mite Chileseius camposi (Acarina: Phytoseiidae) on densities of its prey, Panonychus ulmi (Acarina: Tetranychidae). Rev. Biol. Trop. 2008, 56, 1255–1260. [Google Scholar] [CrossRef] [PubMed]
- Opit, G.P.; Roitberg, B.; Gillespie, D.R. The functional response and prey preference of Feltiella acarisuga (Vollot) (Diptera: Cecidomiidae) for two of its prey: Male and female two-spotted spider mites, Tetranychus urticae Koch (Acari: Tetranychiidae). Can. Entomol. 1997, 129, 221–227. [Google Scholar] [CrossRef]
- Kucerova, Z. Weight loss of wheat grains caused by psocid infestation (Liposcelis bostrychophila: Liposcelididae: Psocoptera). Plt. Proct. Sci. 2002, 38, 103–107. [Google Scholar]
- Juliano, S. Nonlinear curve fitting: Predation and functional response curves. In Design and Analysis of Ecological Experiments; Scheiner, S.M., Gurevitch, J., Eds.; Oxford University Press: New York, NY, USA, 2001; pp. 178–196. [Google Scholar]
- Lividahl, J.P.; Stiven, A.E. Statistical difficulties in the analysis of predation functional response data. Can. Entomol. 1983, 115, 1365–1370. [Google Scholar] [CrossRef]
- Yao, H.; Zheng, W.; Tario, K.; Zhang, H. Functional and numerical responses of three species of predatory Phytoseiid mites (Acari: Phytoseiidae) to Thrips flavidulus (Thysanoptera: Thripidae). Neotrop. Entomol. 2014, 43, 437–445. [Google Scholar] [CrossRef]
- Loko, Y.L.; Dansi, A.; Tamo, M.; Bokonon-Gantaa, H.; Assogba, P.; Dansi, M.; Vodouhe’, R.; Akoegninou, A.; Sanni, A. Storage insects on yam chips and their traditional management in Northern Benin. Sci. World J. 2013, 2013, 485636. [Google Scholar] [CrossRef]
- Adarkwah, C.; Obeng-Ofori, D.; Opuni-Frimpong, E.; Ulrichs, C.; Schöller, M. Predator-parasitoid-host interaction: Biological control of Rhyzopertha dominica and Sitophilus oryzae by a combination of Xylocoris flavipes and Theocolax elegans in stored cereals. Entomol. Exp. Appl. 2018, 167, 118–128. [Google Scholar] [CrossRef]
- Solomon, M.E. The natural control of animal populations. J. Anim. Ecol. 1949, 18, 1–35. [Google Scholar] [CrossRef]
- Lester, P.J.; Harmsen, R. Functional and numerical responses do not always indicate the most effective predator for biological control: An analysis of two predators in a two-prey system. J. Appl. Ecol. 2002, 39, 455–468. [Google Scholar] [CrossRef]
- Holling, C.S. Principles of insect predation. Ann. Rev. Entomol. 1961, 6, 163–182. [Google Scholar] [CrossRef]
- Hassel, M.P. Dynamics of Arthropod Predator-Prey Systems; Princeton University Press: Princeton, NJ, USA, 1978; 237p. [Google Scholar]
- Sing, S.E.; Arbogast, R.T. Optimal Xylocoris flavipes (Reuter) (Hemiptera: Anthocoridae) density and time of introduction for suppression of Bruchid progeny in stored legumes. Environ. Entomol. 2008, 37, 131–142. [Google Scholar] [CrossRef] [PubMed][Green Version]
- Schoeller, E.N.; Hogan, J.; McKenzie, C.L.; Osborne, L.S. Functional response of Franklinothrips vespiformis (Thysanoptera: Aeolothripidae) to eggs and nymphs of Bemisia tabaci (Hemiptera: Aleyrodidae). J. Insect Sci. 2024, 24, 3. [Google Scholar] [CrossRef] [PubMed]
- Cedola, C.V.; Sanchez, N.L.; Lijesthrom, G. Effect of tomato leaf hairiness on functional and numerical response of Neoseiulus californicus (Acari: Phytoseiidae). Exp. Appl. Acarol. 2001, 25, 819–831. [Google Scholar] [CrossRef] [PubMed]
- Trubl, P.; Blackmore, V.; Johnson, J.C. Wasteful killing in urban black widows: Gluttony in response to food abundance. Ethology 2011, 117, 236–245. [Google Scholar] [CrossRef]
- Lounibos, L.P.; Makhni, S.; Alto, B.W.; Kesavaraju, B. Surplus killing by predatory larvae of Corethrella appendiculata: Prepupal timing and site-specific attack on mosquito prey. J. Insect Behav. 2008, 21, 47–54. [Google Scholar] [CrossRef][Green Version]
- Bazgir, F.; Shakaram, J.; Jafari, S. Functional response of the predatory mite Amblyseius sweirskii (Acari: Phytoseiidae) to Eotetranychus frosti (Tetranychidae) and Cenopalpus irani (Tenuipalpidae). Acarologie 2020, 60, 30–39. [Google Scholar] [CrossRef]
- Zhu, P.; Fan, Y.; Mo, W.; Xin, T.; Xia, B.; Zou, Z. Functional response of adult Cheyletus malaccensis (Acari: Cheyletidae) to different developmental stages of Aleuroglyphus ovatus (Acari: Acaridae). J. Stored Prod. Res. 2019, 84, 101–525. [Google Scholar] [CrossRef]
- Bijleveld, A.I.; MacCurdy, R.B.; Chan, Y.; Penning, E.; Gabrielson, R.M.; Cluderay, J.; Spaulding, E.L.; Dekinga, A.; Holthuijsen, S.; ten Horn, J.; et al. Understanding spatial distributions: Negative density-dependence in prey causes predators to trade-off prey quantity with quality. Proc. R. Soc. B 2016, 283, 20151557. [Google Scholar] [CrossRef] [PubMed]
- de Oliveira, S.J.; Nascimento, V.F.; de Lacerda, L.B.; de Souza, J.M.; Ramalho, D.M.; Izidro, Y.E.; De Bortoli, S.A. Predator–Prey Interaction Between Xylocoris sordidus (Hemiptera: Anthocoridae) and Enneothrips enigmaticus (Thysanoptera: Thripidae). Neotrop. Entomol. 2024, 53, 391–399. [Google Scholar] [CrossRef]
- Polis, G.A.; Myers, C.A. The ecology and evolution of intra guild predation: Potential competitors that eat each other. Ann. Rev. Ecol. Syst. 1989, 20, 297–330. [Google Scholar] [CrossRef]
- Pekas, A.; Tena, A.; Harvey, J.A.; Garcia-Marí, F.; Frago, E. Host size and spatiotemporal patterns mediate the coexistence of specialist parasitoids. Ecology 2016, 97, 134–1356. [Google Scholar] [CrossRef] [PubMed]
- Gitonga, L.M.; Overholt, W.A.; Löhr, B.; Magambo, J.K.; Mueke, J.M. Functional response of Orius albidipennis (Hemiptera: Anthocoridae) to Megalurothrips sjostedti (Thysanoptera: Thripidae). Biol. Cont. 2002, 24, 1–6. [Google Scholar] [CrossRef]


| Predator | Prey Stage | Parameter | Estimate | Standard Error | Chi-Square (χ2) | p-Value |
|---|---|---|---|---|---|---|
| Adult♀ X. flavipes | Female | Intercept (P0) | 3.5969 | 0.6847 | 27.6007 | <0.0001 |
| Linear (P1) | −0.1303 | 0.0470 | 7.6938 | 0.0055 | ||
| Quadratic (P2) | 0.00237 | 0.00101 | 5.5262 | 0.0187 | ||
| Cubic (P3) | −0.00002 | 0.0000067 | 5.8132 | 0.0159 | ||
| Male | Intercept (P0) | 4.8241 | 0.9347 | 26.6389 | <0.0001 | |
| Linear (P1) | −0.1806 | 0.0604 | 8.9428 | 0.0028 | ||
| Quadratic (P2) | 0.00310 | 0.00123 | 6.3143 | 0.0120 | ||
| Cubic (P3) | −0.00002 | 0.0000079 | 6.0423 | 0.0140 | ||
| Nymph | Intercept (P0) | 3.7547 | 0.6971 | 29.0105 | <0.0001 | |
| Linear (P1) | −0.1409 | 0.0473 | 8.8845 | 0.0029 | ||
| Quadratic (P2) | 0.00237 | 0.00101 | 5.5390 | 0.0186 | ||
| Cubic (P3) | −0.00001 | 0.0000066 | 5.1165 | 0.0237 | ||
| Nymph X. flavipes | Female | Intercept (P0) | 1.8712 | 0.4185 | 19.9931 | <0.0001 |
| Linear (P1) | −0.1111 | 0.0323 | 11.8468 | 0.0006 | ||
| Quadratic (P2) | 0.00208 | 0.000752 | 7.6244 | 0.0058 | ||
| Cubic (P3) | −0.00001 | 0.0000053 | 6.9291 | 0.0085 | ||
| Male | Intercept (P0) | 2.7667 | 0.5007 | 30.5352 | <0.0001 | |
| Linear (P1) | −0.1438 | 0.0366 | 15.4136 | <0.0001 | ||
| Quadratic (P2) | 0.00253 | 0.000823 | 9.4421 | 0.0021 | ||
| Cubic (P3) | −0.00002 | 0.0000059 | 7.9996 | 0.0047 | ||
| Nymph | Intercept (P0) | 3.5212 | 0.6190 | 32.3601 | <0.0001 | |
| Linear (P1) | −0.1513 | 0.0428 | 12.4832 | 0.0004 | ||
| Quadratic (P2) | 0.00235 | 0.000925 | 6.4674 | 0.0110 | ||
| Cubic (P3) | −0.00001 | 0.0000062 | 4.9282 | 0.0264 |
| Predator | Prey Stage | a (d−1) | Th (d) | K (Prey d−1) | η (Prey d−1) | p-Value | R2 [n] |
|---|---|---|---|---|---|---|---|
| Adult♀ X. flavipes | Female | 1.010 a | 0.008 a | 122.294 a | 122.395 a | <0.0001 | 0.998 (54) |
| Male | 1.016 a | 0.007 a | 141.985 a | 144.269 a | <0.0001 | 0.999 (54) | |
| Nymph | 1.004 a | 0.009 a | 100.969 a | 101.336 a | <0.0001 | 0.997 (54) | |
| Nymph X. flavipes | Female | 1.013 a | 0.031 b | 32.591 b | 33.022 b | <0.0001 | 0.993 (54) |
| Male | 1.032 a | 0.024 b | 41.943 b | 43.287 b | <0.0001 | 0.996 (54) | |
| Nymph | 1.040 a | 0.018 b | 54.469 b | 56.654 b | <0.0001 | 0.999 (54) |
| Predator | Variable | Source | Df | F | p-Value |
|---|---|---|---|---|---|
| Adult♀ X. flavipes | Na | PS | 2, 135 | 71.37 | <0.0001 |
| N | 8, 135 | 2797.49 | <0.0001 | ||
| PS*N | 16, 135 | 7.80 | <0.0001 | ||
| Na/N | PS | 2, 135 | 11.50 | <0.0001 | |
| N | 8, 135 | 149.92 | <0.0001 | ||
| PS*N | 16, 135 | 1.30 | <0.2042 | ||
| Nymph of X. flavipes | Na | PS | 2, 135 | 232.05 | <0.0001 |
| N | 8, 135 | 2447.86 | <0.0001 | ||
| PS*N | 16, 135 | 7.72 | <0.0001 | ||
| Na/N | PS | 2, 135 | 38.07 | <0.0001 | |
| N | 8, 135 | 170.92 | <0.0001 | ||
| PS*N | 16, 135 | 5.91 | <0.0001 |
| Predator | Prey Density (N) | Searching Efficiency (Na/N) | ||
|---|---|---|---|---|
| Prey Stage | ||||
| Female | Male | Nymph | ||
| Adult♀ X. flavipes | 2 | 0.99 ± 0.00 A | 0.99 ± 0.00 A | 0.99 ± 0.00 A |
| 6 | 0.99 ± 0.00 A | 0.99 ± 0.00 A | 0.99 ± 0.00 A | |
| 15 | 0.88 ± 0.01 bB | 0.94 ± 0.01 aA | 0.90 ± 0.01 bB | |
| 30 | 0.76 ± 0.02 bC | 0.84 ± 0.02 aB | 0.77 ± 0.02 bC | |
| 40 | 0.76 ± 0.02 aC | 0.80 ± 0.02 aB | 0.69 ± 0.02 bC | |
| 50 | 0.76 ± 0.01 aC | 0.73 ± 0.02 aC | 0.71 ± 0.02 bC | |
| 60 | 0.69 ± 0.02 bD | 0.74 ± 0.03 aC | 0.64 ± 0.02 cD | |
| 70 | 0.61 ± 0.02 aE | 0.65 ± 0.02 aD | 0.56 ± 0.02 bD | |
| 80 | 0.53 ± 0.02 bF | 0.60 ± 0.02 aD | 0.49 ± 0.03 cE | |
| 2 | 0.99 ± 0.00 A | 0.99 ± 0.00 A | 0.99 ± 0.00 A | |
| Nymph of X. flavipes | 6 | 0.80 ± 0.02 bB | 0.97 ± 0.01 aA | 0.97 ± 0.01 aA |
| 15 | 0.62 ± 0.02 cC | 0.72 ± 0.02 bB | 0.85 ± 0.08 aB | |
| 30 | 0.48 ± 0.02 cD | 0.55 ± 0.02 bC | 0.66 ± 0.02 aC | |
| 40 | 0.47 ± 0.02 bD | 0.52 ± 0.02 bC | 0.59 ± 0.02 aD | |
| 50 | 0.48 ± 0.01 bD | 0.51 ± 0.03 aC | 0.54 ± 0.02 aD | |
| 60 | 0.41 ± 0.02 cE | 0.44 ± 0.01 bD | 0.49 ± 0.02 aE | |
| 70 | 0.36 ± 0.02 bE | 0.39 ± 0.02 aD | 0.43 ± 0.01 aF | |
| 80 | 0.32 ± 0.01 bF | 0.34 ± 0.01 aE | 0.37 ± 0.02 aG | |
Disclaimer/Publisher’s Note: The statements, opinions and data contained in all publications are solely those of the individual author(s) and contributor(s) and not of MDPI and/or the editor(s). MDPI and/or the editor(s) disclaim responsibility for any injury to people or property resulting from any ideas, methods, instructions or products referred to in the content. |
© 2025 by the authors. Licensee MDPI, Basel, Switzerland. This article is an open access article distributed under the terms and conditions of the Creative Commons Attribution (CC BY) license (https://creativecommons.org/licenses/by/4.0/).
Share and Cite
Bosomtwe, A.; Opit, G.; Giles, K.; Kard, B.; Goad, C. Functional Responses of the Warehouse Pirate Bug Xylocoris flavipes (Reuter) (Hemiptera: Anthocoridae) on a Diet of Liposcelis decolor (Pearman) (Psocodea: Liposcelididae). Insects 2025, 16, 101. https://doi.org/10.3390/insects16010101
Bosomtwe A, Opit G, Giles K, Kard B, Goad C. Functional Responses of the Warehouse Pirate Bug Xylocoris flavipes (Reuter) (Hemiptera: Anthocoridae) on a Diet of Liposcelis decolor (Pearman) (Psocodea: Liposcelididae). Insects. 2025; 16(1):101. https://doi.org/10.3390/insects16010101
Chicago/Turabian StyleBosomtwe, Augustine, George Opit, Kristopher Giles, Brad Kard, and Carla Goad. 2025. "Functional Responses of the Warehouse Pirate Bug Xylocoris flavipes (Reuter) (Hemiptera: Anthocoridae) on a Diet of Liposcelis decolor (Pearman) (Psocodea: Liposcelididae)" Insects 16, no. 1: 101. https://doi.org/10.3390/insects16010101
APA StyleBosomtwe, A., Opit, G., Giles, K., Kard, B., & Goad, C. (2025). Functional Responses of the Warehouse Pirate Bug Xylocoris flavipes (Reuter) (Hemiptera: Anthocoridae) on a Diet of Liposcelis decolor (Pearman) (Psocodea: Liposcelididae). Insects, 16(1), 101. https://doi.org/10.3390/insects16010101

