Performance of Artificial Diets for Zelus renardii (Hemiptera: Reduviidae) Rearing
Abstract
Simple Summary
Abstract
1. Introduction
2. Materials and Methods
2.1. Insect Sources
2.2. Diet Delivery
2.3. Dm: Living Prey, Drosophila Melanogaster
2.4. D0: Beef-Liver–Egg-Yolk–Based Oligidic Diet
2.5. D1: Holidic Diet Based on Meritene MOBILIS®
2.6. D2: Holidic Diet Based on Meritene MOBILIS® and KCl
2.7. D3: Holidic Artificial Diet Based on Nidina® 2 OPTIPRO®
2.8. D4: Meridic Artificial Diet Based on Meritene MOBILIS®, KCl, and OB
2.9. Management of Rearing Data and Pictures
2.10. Data Analysis
2.11. Life Tables
3. Results
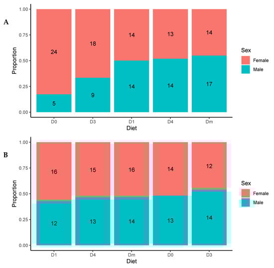
3.1. Sex and Mortality Ratios
3.2. Effect of Diet on the ADDs
3.3. Effect of Diet on Each Instar
3.4. Reproductive Parameters
3.5. Life Tables
3.6. Prediction of the Effect of the Diet in Each Instar
4. Discussion
5. Conclusions
Supplementary Materials
Author Contributions
Funding
Data Availability Statement
Acknowledgments
Conflicts of Interest
References
- van Lenteren, J.C. The state of commercial augmentative biological control: Plenty of natural enemies, but a frustrating lack of uptake. BioControl 2012, 57, 1–20. [Google Scholar] [CrossRef]
- Stiling, P.; Cornelissen, T. What makes a successful biocontrol agent? A meta-analysis of biological control agent performance. Biol. Control 2005, 34, 236–246. [Google Scholar] [CrossRef]
- Mackauer, M. Genetic aspects of insect production. Entomophaga 1972, 17, 27–48. [Google Scholar] [CrossRef]
- Capinera, J.L. Encyclopedia of Entomology, 2nd ed.; Springer: Dordrecht, The Netherlands, 2008; p. 4346. [Google Scholar]
- Cohen, A.C. The nature of unnatural insects infrastructure of insect rearing. Am. Entomol. 2019, 65, 122–135. [Google Scholar] [CrossRef]
- Sørensen, J.G.; Addison, M.F.; Terblanche, J.S. Mass-rearing of insects for pest management: Challenges, synergies and advances from evolutionary physiology. Crop Prot. 2012, 38, 87–94. [Google Scholar] [CrossRef]
- Poveda, J. Insect frass in the development of sustainable agriculture. A review. Agron. Sustain. Dev. 2021, 41, 5. [Google Scholar] [CrossRef]
- Molfetta, M.; Morais, E.G.; Barreira, L.; Bruno, G.L.; Porcelli, F.; Dugat-Bony, E.; Bonnarme, P.; Minervini, F. Protein sources alternative to meat: State of the art and involvement of fermentation. Foods 2022, 11, 2065. [Google Scholar] [CrossRef] [PubMed]
- Knipling, E.F. The Basic Principles of Insect Population Suppression and Management; Agriculture Handbook; United States Department of Agriculture: Washington, DC, USA, 1979; p. 664. [Google Scholar]
- Cohen, A.C. Insect Diets: Science and Technology, 2nd ed.; CRC Press: Boca Raton, FL, USA, 2015; p. 473. [Google Scholar]
- Cohen, A.C. Ecology of insect rearing systems: A mini-review of insect rearing papers from 1906–2017. Adv. Entomol. 2018, 6, 86–115. [Google Scholar] [CrossRef]
- Maciel-Vergara, G.; Jensen, A.B.; Lecocq, A.; Eilenberg, J. Diseases in edible insect rearing systems. J. Insects Food Feed 2021, 7, 621–638. [Google Scholar] [CrossRef]
- Bogdanow, E.A. About the dependence of the growth of larvae of bacteria and enzymes and about variability and inheritance in the flesh flies. Arch. Anat. Physiol. 1908, 6, 173–200. [Google Scholar]
- Dougherty, E.C. Introduction to axenic culture of invertebrate metazoa: A goal. Ann. N. Y. Acad. Sci. 1959, 77, 27–54. [Google Scholar] [CrossRef]
- Piper, M.D.W. Using artificial diets to understand the nutritional physiology of Drosophila melanogaster. Curr. Opin. Insect Sci. 2017, 23, 104–111. [Google Scholar] [CrossRef] [PubMed]
- Koul, O.; Dhaliwal, G.S. Predators and parasitoids: An introduction. In Predators and Parasitoids; Koul, O., Dhaliwal, G.S., Eds.; CRC Press: London, UK, 2003; pp. 12–26. [Google Scholar]
- Sahayaraj, K.; Balasubramanian, R. Artificial Rearing of Reduviid Predators for Pest Management; Springer: Singapore, 2016; p. 180. [Google Scholar]
- Hagen, K.S. Nutritional ecology of terrestrial insect predators. In Nutritional Ecology of Insects, Mites, Spiders, and Related Invertebrates; Slansky, F., Jr., Rodriquez, J.G., Eds.; Wiley: New York, NY, USA, 1987; pp. 533–577. [Google Scholar]
- Torres, J.B.; Boyd, D.W. Zoophytophagy in predatory Hemiptera. Braz. Arch. Biol. Technol. 2009, 52, 1199–1208. [Google Scholar] [CrossRef]
- Tan, X.L.; Wang, S.; Zhang, F. Optimization an optimal artificial diet for the predatory bug Orius sauteri (Hemiptera: Anthocoridae). PLoS ONE 2013, 8, e61129. [Google Scholar] [CrossRef] [PubMed]
- De Clercq, P.; Degheele, D. A meat-based diet for rearing the predatory stinkbugs Podisus maculiventris and Podisus sagitta [Het.: Pentatomidae]. Entomophaga 1992, 37, 149–157. [Google Scholar] [CrossRef]
- De Clercq, P.; Merlevede, F.; Tirry, L. Unnatural prey and artificial diets for rearing Podisus maculiventris (Heteroptera: Pentatomidae). Biol. Control 1998, 12, 137–142. [Google Scholar] [CrossRef]
- Grundy, P.R.; Maelzer, D.A.; Bruce, A.; Hassan, E. A mass-rearing method for the assassin bug Pristhesancus plagipennis (Hemiptera: Reduviidae). Biol. Control 2000, 18, 243–250. [Google Scholar] [CrossRef]
- Sahayaraj, K. Small scale laboratory rearing of a reduviid predator, Rhynocoris marginatus Fab. (Hemiptera: Reduviidae) on Corcyra cephalonica Stainton larvae by larval card method. J. Cent. Eur. Agric. 2002, 3, 137–148. [Google Scholar]
- Sahayaraj, K.; Martin, P.; Selvaraj, P.; Raju, G. Feeding behaviour of reduviid predators on meat and insect-based artificial diets. Belg. J. Entomol. 2006, 8, 55–65. [Google Scholar]
- Dejean, A.; Revel, M.; Azémar, F.; Roux, O. Altruism during predation in an assassin bug. Naturwissenschaften 2013, 100, 913–922. [Google Scholar] [CrossRef]
- Sahayaraj, K. Reduviids and their merits in biological control. In Basic and Applied Aspects of Biopesticides; Sahayaraj, K., Ed.; Springer: New Delhi, India, 2014; pp. 195–214. [Google Scholar]
- Weirauch, C.; Alvarez, C.; Zhang, G. Zelus renardii and Z. tetracanthus (Hemiptera: Reduviidae): Biological attributes and the potential for dispersal in two assassin bug species. Fla. Entomol. 2012, 95, 641–649. [Google Scholar] [CrossRef]
- Zhang, G.; Hart, E.; Weirauch, C. A taxonomic monograph of the assassin bug genus Zelus Fabricius (Hemiptera: Reduviidae): 71 species based on 10,000 specimens. Biodivers. Data J. 2016, 4, e8150. [Google Scholar] [CrossRef] [PubMed]
- Zimmerman, E.C. Insects of Hawaii, Vol. 3. Heteroptera. Bernice, P. Bishop Museum; Experiment Station, Hawaiian Sugar Planters’ Association: Honolulu, HI, USA, 1948. [Google Scholar]
- Garcia, F.R.M.; Gil-Santana, H.R.; Oliveira, J. Zelus pedestris (Hemiptera: Reduviidae): A new record of predator of Ceratitis capitata (Diptera: Tephritidae). Braz. J. Biol. 2023, 83, e248341. [Google Scholar] [CrossRef] [PubMed]
- Petrakis, P.V.; Moulet, P. First record of the Nearctic Zelus renardii (Heteroptera, Reduviidae, Harpactocorinae) in Europe. Entomol. Hell. 2017, 20, 75. [Google Scholar] [CrossRef]
- Davranoglou, L.R. Zelus renardii (Kolenati, 1856), a New World reduviid discovered in Europe (Hemiptera: Reduviidae: Harpactorinae). Entomol. Mon. Mag. 2011, 147, 157–162. [Google Scholar]
- Dioli, P. Zelus renardii (Kolenati, 1856) (Insecta Heteroptera Reduviidae). Quad. Stud. Not. Stor. Nat. Romagna 2013, 38, 232–233. [Google Scholar]
- van der Heyden, T. First records of Zelus renardii (Kolenati, 1856) (Hemiptera: Heteroptera: Reduviidae: Harpactorinae) for Albania. Arq. Entomolóxicos Galegos 2017, 18, 49–50. [Google Scholar]
- van der Heyden, T. First record of Zelus renardii Kolenati (Heteroptera: Reduviidae: Harpactorinae) in Israel. Rev. Chil. Entomol. 2018, 44, 463–465. [Google Scholar]
- van der Heyden, T.; Grosso–Silva, J.M. First record of Zelus renardii Kolenati, 1856 in Portugal (Heteroptera: Reduviidae: Harpactorinae). Arq. Entomolóxicos Galegos 2020, 22, 347–349. [Google Scholar]
- van der Heyden, T. Erstfund von Zelus renardii Kolenati, 1856 in Deutschland (Heteroptera: Reduviidae). Heteropteron 2021, 31, 31–32. [Google Scholar]
- van der Heyden, T. On the recent northern European dispersion of Zelus renardii Kolenati (Hemiptera: Heteroptera: Reduviidae) via human activity. Isr. J. Entomol. 2021, 51, 43–46. [Google Scholar]
- Kment, P.; van der Heyden, T. Zelus renardii (Hemiptera: Heteroptera: Reduviidae): First records from Croatia, Montenegro, and an accidental introduction to the Czech Republic. Heteroptera Pol.-Acta Faun. 2022, 16, 7–14. [Google Scholar]
- van der Heyden, T. First record of Zelus renardii Kolenati, 1857 (Hemiptera: Heteroptera: Reduviidae: Harpactorinae) in Bulgaria. J. Heteroptera Turk. 2022, 4, 139–140. [Google Scholar]
- van der Heyden, T. First records of Leptoglossus occidentalis Heidemann, 1910 (Hemiptera: Heteroptera: Coreidae) and Zelus renardii Kolenati, 1857 (Hemiptera: Heteroptera: Reduviidae) in Uzbekistan. J. Heteroptera Turk. 2023, 5, 7–9. [Google Scholar]
- van der Heyden, T.; Staudinger, V.A.E. First record of Zelus renardii Kolenati, 1857 (Hemiptera: Heteroptera: Reduviidae) for Austria. Heteroptera Pol. -Acta Faun. 2023, 17, 61–62. [Google Scholar]
- Garrouste, R. Zelus renardii (Kolenati, 1856): Une réduve nouvelle pour la France (Hemiptera, Reduviidae, Harpactorinae). Bull. Soc. Entomol. Fr. 2019, 124, 335–336. [Google Scholar] [CrossRef]
- van der Heyden, T. On the presence of Zelus renardii Kolenati, 1857 (Hemiptera: Heteroptera: Reduviidae) in Algeria. Heteroptera Pol. -Acta Faun. 2023, 17, 99–100. [Google Scholar]
- John, E.; Kolokotronis, D. Zelus renardii (Heteroptera: Reduviidae: Harpactorinae) for Cyprus. Entomol. Mon. Mag. 2023, 1, 59–65. [Google Scholar] [CrossRef]
- Lahbib, N.; Picciotti, U.; Sefa, V.; Boukhris-Bouhachem, S.; Porcelli, F.; Garganese, F. Zelus renardii roaming in southern Italy. Insects 2022, 13, 158. [Google Scholar] [CrossRef]
- Ables, J.R. Feeding behavior of an assassin bug, Zelus renardii. Ann. Entomol. Soc. Am. 1978, 71, 476–478. [Google Scholar] [CrossRef]
- Rosenheim, J.A.; Wilhoit, L.R.; Armer, C.A. Influence of intraguild predation among generalist insect predators on the suppression of an herbivore population. Oecologia 1993, 96, 439–449. [Google Scholar] [CrossRef] [PubMed]
- Cisneros, J.J.; Rosenheim, J.A. Changes in the foraging behavior, within-plant vertical distribution, and microhabitat selection of a generalist insect predator: An age analysis. Environ. Entomol. 1998, 27, 949–957. [Google Scholar] [CrossRef]
- Rosenheim, J.A.; Glik, T.E.; Goeriz, R.E.; Rämert, B. Linking a predator’s foraging behaviour with its effects on herbivore population suppression. Ecology 2004, 85, 3362–3372. [Google Scholar] [CrossRef]
- Di Serio, F.; Bodino, N.; Cavalieri, V.; Demichelis, S.; Di Carolo, M.; Dongiovanni, C.; Fumarola, G.; Gilioli, G.; Guerrieri, E.; Picciotti, U.; et al. Collection of data and information on biology and control of vectors of Xylella fastidiosa. EFSA Support. Publ. 2019, 16, 1628E. [Google Scholar] [CrossRef]
- Lahbib, N.; Picciotti, U.; Boukhris-Bouhachem, S.; Garganese, F.; Porcelli, F. Morphs of Philaenus species, candidate Xylella fastidiosa vectors. Bull. Insectology 2022, 75, 197–209. [Google Scholar]
- Picciotti, U.; Araujo Dalbon, V.; Ciancio, A.; Colagiero, M.; Cozzi, G.; De Bellis, L.; Finetti-Sialer, M.M.; Greco, D.; Ippolito, A.; Lahbib, N.; et al. “Ectomosphere”: Insects and microorganism interactions. Microorganisms 2023, 11, 440. [Google Scholar] [CrossRef] [PubMed]
- Fierro, A.; Liccardo, A.; Porcelli, F. A lattice model to manage the vector and the infection of the Xylella fastidiosa on olive trees. Sci. Rep. 2019, 9, 8723. [Google Scholar] [CrossRef] [PubMed]
- Nishida, T. Natural enemies of the melon fly, Dacus curcurbitae Coq. in Hawaii. Ann. Entomol. Soc. Am. 1955, 48, 171–178. [Google Scholar] [CrossRef]
- Garcia, F.R.M.; Ovruski, S.M.; Suárez, L.; Cancino, J.; Liburd, O.E. Biological control of tephritid fruit flies in the Americas and Hawaii: A review of the use of parasitoids and predators. Insects 2020, 11, 662. [Google Scholar] [CrossRef]
- Hizal, E.; Oztemiz, S.; Gjonov, I. Phenology and host preferences of the invasive Pochazia shantungensis (Chou & Lu, 1977) (Hemiptera: Ricaniidae), a risk for agriculture and forest areas in the West-Palaearctic region. Acta Zool. Bulg. 2023, 75, 251. [Google Scholar]
- Scortichini, M.; Loreti, S.; Scala, V.; Pucci, N.; Pilotti, M.; Tatulli, G.; Cesari, E.; L’Aurora, A.; Reverberi, M.; Cristella, N.; et al. Management of the olive decline disease complex caused by Xylella fastidiosa subsp. pauca and Neofusicoccum spp. in Apulia, Italy. Crop Prot. 2024, 184, 106782. [Google Scholar]
- Frem, M.; Chapman, D.; Fucilli, V.; Choueiri, E.; El Moujabber, M.; La Notte, P.; Nigro, F. Xylella Fastidiosa Invasion of new countries in Europe, the Middle East and North Africa: Ranking the potential exposure scenarios. NeoBiota 2020, 59, 77–97. [Google Scholar] [CrossRef]
- Savoia, M.A.; Fanelli, V.; Miazzi, M.M.; Taranto, F.; Procino, S.; Susca, L.; Montilon, V.; Potere, O.; Nigro, F.; Montemurro, C. Apulian autochthonous olive germplasm: A promising resource to restore cultivation in Xylella fastidiosa-infected areas. Agriculture 2023, 13, 1746. [Google Scholar] [CrossRef]
- Miazzi, M.M.; Pasqualone, A.; Zammitt-Mangion, M.; Savoia, M.A.; Fanelli, V.; Procino, S.; Gadaleta, S.; Aurelio, L.; Montemurro, C. A glimpse into the genetic heritage of the olive tree in Malta. Agriculture 2024, 14, 495. [Google Scholar] [CrossRef]
- Occhibove, F.; Chapman, D.S.; Mastin, A.J.; Parnell, S.S.R.; Agstner, B.; Mato-Amboage, R.; Jones, G.; Dunn, M.; Pollard, C.R.J.; Robinson, J.S.; et al. Eco-epidemiological uncertainties of emerging plant diseases: The challenge of predicting Xylella fastidiosa dynamics in novel environments. Phytopathology® 2020, 110, 1740–1750. [Google Scholar] [CrossRef] [PubMed]
- Mesmin, X.; Chartois, M.; Genson, G.; Rossi, J.-P.; Cruaud, A.; Rasplus, J.-Y. Ooctonus vulgatus (Hymenoptera, Mymaridae), a potential biocontrol agent to reduce populations of Philaenus spumarius (Hemiptera, Aphrophoridae) the main vector of Xylella fastidiosa in Europe. PeerJ 2020, 8, e8591. [Google Scholar] [CrossRef] [PubMed]
- Molinatto, G.; Demichelis, S.; Bodino, N.; Giorgini, M.; Mori, N.; Bosco, D. Biology and prevalence in northern Italy of Verrallia aucta (Diptera, Pipunculidae), a parasitoid of Philaenus spumarius (Hemiptera, Aphrophoridae), the main vector of Xylella fastidiosa in Europe. Insects 2020, 11, 607. [Google Scholar] [CrossRef] [PubMed]
- Benhadi-Marín, J.; Villa, M.; Pereira, L.F.; Rodrigues, I.; Morente, M.; Baptista, P.; Pereira, J.A. A guild-based protocol to target potential natural enemies of Philaenus spumarius (Hemiptera: Aphrophoridae), a vector of Xylella fastidiosa (Xanthomonadaceae): A case study with spiders in the olive grove. Insects 2020, 11, 100. [Google Scholar] [CrossRef] [PubMed]
- Rodrigues, I.; Ramos, V.; Benhadi-Marín, J.; Moreno, A.; Fereres, A.; Pereira, J.A.; Baptista, P. A novel molecular diagnostic method for the gut content analysis of Philaenus DNA. Sci. Rep. 2022, 12, 492. [Google Scholar] [CrossRef]
- Balzani, P.; Nencioni, A.; Grillini, M.; Masoni, A.; Zuri, F.; Picchi, S.; Frizzi, F.; Sacchetti, P.; Cantini, C.; Santini, G. Spittlebug invisibility cloak: Experimental tests on the antipredatory effect of the froth of Philaenus spumarius. Bull. Insectology 2023, 76, 21–28. [Google Scholar]
- Picciotti, U.; Lahbib, N.; Sefa, V.; Porcelli, F.; Garganese, F. Aphrophoridae role in Xylella fastidiosa subsp. pauca ST53 invasion in southern Italy. Pathogens 2021, 10, 1035. [Google Scholar] [PubMed]
- Mincuzzi, A.; Picciotti, U.; Sanzani, S.M.; Garganese, F.; Palou, L.; Addante, R.; Ragni, M.; Ippolito, A. Postharvest diseases of pomegranate: Alternative control means and a spiderweb effect. J. Fungi 2023, 9, 808. [Google Scholar] [CrossRef] [PubMed]
- Cisneros, J.; Rosenheim, J. Ontogenetic change of prey preference in the generalist predator Zelus renardii and its influence on predator-predator interactions. Ecol. Entomol. 1997, 22, 399–407. [Google Scholar] [CrossRef]
- ARBICO Organics®. Available online: https://www.arbico-organics.com/product/assassin-bug-zelus-renardii/free-shipping (accessed on 7 June 2024).
- Gardening in the Desert. Available online: https://www.gardeninginthedesert.com/product/assassin-bug-eggs-zelus-renardii/ (accessed on 7 June 2024).
- Bugs for Growers. Available online: https://bugsforgrowers.com/products/predatory-assassin-bug-zelus-renardii (accessed on 7 June 2024).
- Liccardo, A.; Fierro, A.; Garganese, F.; Picciotti, U.; Porcelli, F. A biological control model to manage the vector and the infection of Xylella fastidiosa on olive trees. PLoS ONE 2020, 15, e0232363. [Google Scholar] [CrossRef]
- Mifsud, D.; Porcelli, F. The psyllid Macrohomotoma gladiata Kuwayama, 1908 (Hemiptera: Psylloidea: Homotomidae): A Ficus pest recently introduced in the EPPO region. EPPO Bull. 2012, 42, 161–164. [Google Scholar] [CrossRef]
- Baser, N.; Ouantar, M.; Broutou, O.; Lamaj, F.; Verrastro, V.; Porcelli, F. First finding of Drosophila Suzukii (Matsumura) (Diptera: Drosophilidae) in Apulia, Italy, and its population dynamics throughout the year. Fruits 2015, 70, 225–230. [Google Scholar] [CrossRef]
- Baser, N.; Broutou, O.; Verrastro, V.; Porcelli, F.; Ioriatti, C.; Anfora, G.; Mazzoni, V.; Rossi Stacconi, M.V. Susceptibility of table grape varieties grown in south-eastern Italy to Drosophila suzukii. J. Appl. Entomol. 2018, 142, 465–472. [Google Scholar] [CrossRef]
- Bubici, G.; Prigigallo, M.I.; Garganese, F.; Nugnes, F.; Jansen, M.; Porcelli, F. First report of Aleurocanthus spiniferus on Ailanthus altissima: Profiling of the insect microbiome and microRNAs. Insects 2020, 11, 161. [Google Scholar] [CrossRef]
- Nugnes, F.; Laudonia, S.; Jesu, G.; Jansen, M.G.M.; Bernardo, U.; Porcelli, F. Aleurocanthus spiniferus (Hemiptera: Aleyrodidae) in some European countries: Diffusion, hosts, molecular characterization, and natural enemies. Insects 2020, 11, 42. [Google Scholar] [CrossRef]
- Melone, G.; Ascolese, R.; Nugnes, F.; Porcelli, F.; Rapisarda, C.; Farina, A.; Picciotti, U.; Garganese, F.; Laudonia, S. An Eretmocerus species, parasitoid of Aleurocanthus spiniferus, was found in europe: The secret savior of threatened plants. Sustainability 2024, 16, 2970. [Google Scholar] [CrossRef]
- El-Tom, H.A. The biology of Zelus renardii Kolenati and Zelus socius Uhler (Hemiptera-Reduviidae). Master’s Thesis, University of Arizona, Tucson, AZ, USA, 1965. [Google Scholar]
- Porcelli, F. Event Horizon Concept. Available online: https://doi.org/10.5281/zenodo.3229813 (accessed on 6 February 2024).
- Walter, H.; Lieth, H. Klimadiagramm-Weltatlas; Veb Gustav Fischer Verlag Jena: Leipzig/Gotha, Germany, 1960–1967. [Google Scholar]
- Wigglesworth, V.B. The Principles of Insect Physiology; Springer: Dordrecht, The Netherlands, 1972; p. 883. [Google Scholar]
- McMaster, G.; Wilhelm, W.W. Growing degree-days: One equation, two interpretations. Agric. For. Meteorol. 1997, 87, 291–300. [Google Scholar] [CrossRef]
- Butler, G.D. Development of several predaceous Hemiptera in relation to temperature. J. Econ. Entomol. 1966, 59, 1306–1307. [Google Scholar] [CrossRef]
- Beasley, T.M.; Schumacker, R.E. Multiple regression approach to analyzing contingency tables: Post hoc and planned comparison procedures. J. Exp. Educ. 1995, 64, 79–93. [Google Scholar] [CrossRef]
- Lee, S.; Lee, D.K. What is the proper way to apply the multiple comparison test? Korean J. Anesthesiol. 2018, 71, 353–360. [Google Scholar] [CrossRef]
- Liaw, A.; Wiener, M. Classification and regression by randomForest. R News 2002, 2, 18–22. [Google Scholar]
- Milborrow, S. Plotmo: Plot a Model’s Residuals, Response, and Partial Dependence Plots. Available online: https://CRAN.R-project.org/package=plotmo (accessed on 15 March 2024).
- Kassambara, A.; Mundt, F. Factoextra: Extract and Visualize the Results of Multivariate Data Analyses. Available online: https://cran.r-project.org/web/packages/factoextra/index.html (accessed on 13 May 2024).
- Maechler, M.; Rousseeuw, P.; Struyf, A.; Hubert, M.; Hornik, K. Cluster: Cluster Analysis Basics and Extensions. Available online: https://CRAN.R-project.org/package=cluster (accessed on 15 March 2024).
- Team, R. Core. A Language and Environment for Statistical Computing; R Foundation for Statistical Computing: Vienna, Austria, 2020. [Google Scholar]
- Carey, J.R. Insect biodemography. Annu. Rev. Entomol. 2001, 46, 79–110. [Google Scholar] [CrossRef]
- Festa-Bianchet, M. Condition-dependent reproductive success in bighorn ewes. Ecol. Lett. 1998, 1, 91–94. [Google Scholar] [CrossRef]
- Nager, R.G.; Monaghan, P.; Houston, D.C.; Genovart, M. Parental condition, brood sex ratio and differential young survival: An experimental study in gulls (Larus fuscus). Behav. Ecol. Sociobiol. 2000, 48, 452–457. [Google Scholar] [CrossRef]
- Kotiaho, J.S. Sexual selection and condition dependence of courtship display in three species of horned dung beetles. Behav. Ecol. 2002, 13, 791–799. [Google Scholar] [CrossRef]
- Møller, A.P.; Petrie, M. Condition dependence, multiple sexual signals, and immunocompetence in peacocks. Behav. Ecol. 2002, 13, 248–253. [Google Scholar] [CrossRef]
- Siva-Jothy, M.T.; Thompson, J.J.W. Short-term nutrient deprivation affects immune function. Physiol. Entomol. 2002, 27, 206–212. [Google Scholar] [CrossRef]
- Senar, J.C.; Figuerola, J.; Domènech, J. Plumage coloration and nutritional condition in the great tit Parus major: The roles of carotenoids and melanins differ. Naturwissenschaften 2003, 90, 234–237. [Google Scholar] [CrossRef]
- Ujvari, B.; Madsen, T. Age, parasites, and condition affect humoral immune response in tropical pythons. Behav. Ecol. 2006, 17, 20–24. [Google Scholar] [CrossRef]
- Smith, H.G.; Råberg, L.; Ohlsson, T.; Granbom, M.; Hasselquist, D. Carotenoid and protein supplementation have differential effects on pheasant ornamentation and immunity. J. Evol. Biol. 2007, 20, 310–319. [Google Scholar] [CrossRef]
- Judge, K.A.; Ting, J.J.; Gwynne, D.T. Condition dependence of male life span and calling effort in a field cricket. Evolution 2008, 62, 868–878. [Google Scholar] [CrossRef]
- Barrett, E.L.B.; Moore, A.J.; Moore, P. Diet and social conditions during sexual maturation have unpredictable influences on female life history trade-offs. J. Evol. Biol. 2009, 22, 571–581. [Google Scholar] [CrossRef]
- Cotter, S.C.; Simpson, S.J.; Raubenheimer, D.; Wilson, K. Macronutrient balance mediates trade-offs between immune function and life history traits. Funct. Ecol. 2011, 25, 186–198. [Google Scholar] [CrossRef]
- Graham, R.I.; Deacutis, J.M.; Pulpitel, T.; Ponton, F.; Simpson, S.J.; Wilson, K. Locusts increase carbohydrate consumption to protect against a fungal biopesticide. J. Insect Physiol. 2014, 69, 27–34. [Google Scholar] [CrossRef]
- Pincheira-Donoso, D.; Hunt, J. Fecundity selection theory: Concepts and evidence. Biol. Rev. 2017, 92, 341–356. [Google Scholar] [CrossRef]
- Poggio, M.G.; Bressa, M.J.; Papeschi, A.G. Karyotype evolution in Reduviidae (Insecta: Heteroptera) with special reference to Stenopodainae and Harpactorinae. Comp. Cytogenet. 2007, 1, 159–168. [Google Scholar]
- Neuenschwander, P.; Haug, T.; Ajounu, O.; Davis, H.; Akinwumi, B.; Madojemu, E. Quality requirements in natural enemies used for inoculative release: Practical experience from a successful biological control programme. J. Appl. Entomol. 1989, 108, 409–420. [Google Scholar] [CrossRef]
- Eilenberg, J.; Hajek, A.; Lomer, C. Suggestions for unifying the terminology in biological control. BioControl 2001, 46, 387–400. [Google Scholar] [CrossRef]
- Kumar, V.; Mehra, L.; McKenzie, C.L.; Osborne, L.S. “Predator-in-first”: A preemptive biological control strategy for sustainable management of pepper pests in Florida. Sustainability 2020, 12, 7816. [Google Scholar] [CrossRef]
- Avila, G.A.; Seehausen, M.L.; Lesieur, V.; Chhagan, A.; Caron, V.; Down, R.E.; Audsley, N.; Collatz, J.; Bukovinszki, T.; Sabbatini Peverieri, G.; et al. Guidelines and framework to assess the feasibility of starting pre-emptive risk assessment of classical biological control agents. Biol. Control 2023, 187, 105387. [Google Scholar] [CrossRef]
- Murray, M.S. Using Degree Days to Time Treatments for Insect Pests; Utah Pest Fact Sheet; Utah State University Extension: Logan, UT, USA, 2020; pp. 1–5. [Google Scholar]
- Haskell, N.H. Forensic entomology. In Medicolegal Investigation of Death. Guidelines for the Application of Pathology to Crime Investigation; Thomas: Chicago, IL, USA, 2006; pp. 149–173. [Google Scholar]
- Higley, L.G.; Haskell, N.H. Insect development and forensic entomology. In Forensic Entomology: The Utility of Arthropods in Legal Investigations; Byrd, J.H., Castner, J.L., Eds.; CRC Press: Boca Raton, FL, USA, 2001; pp. 389–405. [Google Scholar]
- Joseph, I.; Mathew, D.G.; Sathyan, P.; Vargheese, G. The use of insects in forensic investigations: An overview on the scope of forensic entomology. J. Forensic Dent. Sci. 2011, 3, 89–91. [Google Scholar] [CrossRef]
- Agnello, A.M.; Kain, D.P.; Spangler, S.M. Fruit pest events and phenological development according to accumulated heat units. N. Y. Food Life Sci. Bull. 1993, 142, 1–7. [Google Scholar]
- Beers, E.; Brunner, J.F.; Willett, M.J.; Warner, G.M. Degree day models. In Orchard Pest Management. A Resource Book for the Pacific Northwest; Beers, E., Ed.; Good Fruit Grower: Washington, DC, USA, 1993; pp. 45–48. [Google Scholar]
- Chen, S.; Fleischer, S.J.; Saunders, M.C.; Thomas, M.B. The influence of diurnal temperature variation on degree-day accumulation and insect life history. PLoS ONE 2015, 10, e0120772. [Google Scholar] [CrossRef]









| Dm | ||||||
|---|---|---|---|---|---|---|
| Instar (x) | Number Living (N) | Fraction Surviving (lx) | Period Survival (px) | Period Mortality (qx) | Frequence of Deaths (dx) | Expectation of Life (ADD) (ex) |
| First generation | ||||||
| EG | 33 | 1 | 1 | 0 | 0 | 2527.5 |
| N1 | 33 | 1 | 1 | 0 | 0 | 2399.5 |
| N2 | 33 | 1 | 1 | 0 | 0 | 2137.1 |
| N3 | 33 | 1 | 0.97 | 0.03 | 0.03 | 1892.3 |
| N4 | 32 | 0.97 | 0.97 | 0.03 | 0.03 | 1558.5 |
| N5 | 31 | 0.94 | 0.94 | 0.06 | 0.06 | 1128.7 |
| AD | 29 | 0.88 | 0 | 1 | 0.88 | 489.3 |
| EG | 338 | |||||
| T1 = 10.24 | ||||||
| Second generation | ||||||
| EG | 33 | 1 | 1 | 0 | 0 | 2184.2 |
| N1 | 33 | 1 | 0.97 | 0.03 | 0 | 2056.2 |
| N2 | 32 | 0.97 | 0.97 | 0.03 | 0.03 | 1814.4 |
| N3 | 31 | 0.94 | 0.97 | 0.03 | 0.03 | 1616.5 |
| N4 | 30 | 0.91 | 1 | 0 | 0 | 1323.4 |
| N5 | 30 | 0.91 | 1 | 0 | 0 | 969.2 |
| AD | 30 | 0.91 | 0 | 1 | 0.91 | 537.3 |
| EG | 416 | |||||
| T2 = 12.61 | ||||||
| TDm = 11.43 | ||||||
| D0 | ||||||
|---|---|---|---|---|---|---|
| Instar (x) | Number Living (N) | Fraction Surviving (lx) | Period Survival (px) | Period Mortality (qx) | Frequence of Deaths (dx) | Expectation of Life (ADD) (ex) |
| First generation | ||||||
| EG | 33 | 1 | 1 | 0 | 0 | 3552.2 |
| N1 | 33 | 1 | 0.97 | 0.03 | 0.03 | 3424.2 |
| N2 | 32 | 0.97 | 1 | 0 | 0 | 3039.7 |
| N3 | 32 | 0.97 | 0.97 | 0.03 | 0.03 | 2437.6 |
| N4 | 31 | 0.94 | 0.94 | 0.06 | 0.06 | 2117.5 |
| N5 | 29 | 0.88 | 0.93 | 0.07 | 0.06 | 1860.4 |
| AD | 27 | 0.82 | 0 | 1 | 0.82 | 1266 |
| EG | 624 | |||||
| T1 = 18.91 | ||||||
| Second generation | ||||||
| EG | 33 | 1 | 1 | 0 | 0 | 3300.1 |
| N1 | 32 | 0.97 | 1 | 0 | 0 | 3172.1 |
| N2 | 32 | 0.97 | 0.97 | 0.03 | 0.03 | 2849.8 |
| N3 | 31 | 0.94 | 0.94 | 0.06 | 0.06 | 2587.0 |
| N4 | 29 | 0.88 | 0.93 | 0.07 | 0.06 | 2143.9 |
| N5 | 27 | 0.82 | 1 | 0 | 0 | 1580.0 |
| AD | 27 | 0.82 | 0 | 1 | 0.82 | 838.4 |
| EG | 378 | |||||
| T2 = 11.45 | ||||||
| TD0 = 15.18 | ||||||
| D1 | ||||||
|---|---|---|---|---|---|---|
| Instar (x) | Number Living (N) | Fraction Surviving (lx) | Period Survival (px) | Period Mortality (qx) | Frequence of Deaths (dx) | Expectation of Life (ADD) (ex) |
| First generation | ||||||
| EG | 33 | 1 | 1 | 0 | 0 | 2647.6 |
| N1 | 33 | 1 | 0.94 | 0.06 | 0.06 | 2519.6 |
| N2 | 31 | 0.94 | 1 | 0 | 0 | 2158.4 |
| N3 | 31 | 0.94 | 0.94 | 0.06 | 0.06 | 1907.2 |
| N4 | 29 | 0.88 | 0.97 | 0.03 | 0.03 | 1476.7 |
| N5 | 28 | 0.85 | 1 | 0 | 0 | 1038.2 |
| AD | 28 | 0.85 | 0 | 1 | 0.85 | 593.9 |
| EG | 364 | |||||
| T1 = 11.03 | ||||||
| Second generation | ||||||
| EG | 33 | 1 | 1 | 0 | 0 | 2495.6 |
| N1 | 33 | 1 | 0.97 | 0.03 | 0.03 | 2367.6 |
| N2 | 32 | 0.97 | 0.97 | 0.03 | 0.03 | 2056.6 |
| N3 | 31 | 0.94 | 0.97 | 0.03 | 0.03 | 1802.1 |
| N4 | 30 | 0.91 | 0.97 | 0.03 | 0.03 | 1442.7 |
| N5 | 29 | 0.88 | 0.97 | 0.03 | 0.03 | 1028.6 |
| AD | 28 | 0.85 | 0 | 1 | 0.85 | 566.4 |
| EG | 432 | |||||
| T2 = 13.09 | ||||||
| TD1 = 12.06 | ||||||
| D3 | ||||||
|---|---|---|---|---|---|---|
| Instar (x) | Number Living (N) | Fraction Surviving (lx) | Period Survival (px) | Period Mortality (qx) | Frequence of Deaths (dx) | Expectation of Life (ADD) (ex) |
| First generation | ||||||
| EG | 33 | 1 | 1 | 0 | 0 | 3028.7 |
| N1 | 33 | 1 | 0.97 | 0.03 | 0.03 | 2900.7 |
| N2 | 32 | 0.97 | 0.97 | 0.03 | 0.03 | 2334.6 |
| N3 | 31 | 0.94 | 0.94 | 0.06 | 0.06 | 2052.8 |
| N4 | 29 | 0.88 | 0.93 | 0.07 | 0.06 | 1668.8 |
| N5 | 27 | 0.82 | 1 | 0 | 0 | 1282 |
| AD | 27 | 0.82 | 0 | 1 | 0.82 | 842.8 |
| EG | 468 | |||||
| T1 = 14.18 | ||||||
| Second generation | ||||||
| EG | 33 | 1 | 1 | 0 | 0 | 3034.1 |
| N1 | 33 | 1 | 0.88 | 0.12 | 0.12 | 2906.1 |
| N2 | 29 | 0.88 | 0.93 | 0.07 | 0.06 | 2479.9 |
| N3 | 27 | 0.82 | 1 | 0 | 0 | 2199.3 |
| N4 | 27 | 0.82 | 1 | 0 | 0 | 1805.4 |
| N5 | 27 | 0.82 | 0.96 | 0.04 | 0.03 | 1317.5 |
| AD | 26 | 0.79 | 0 | 1 | 0.79 | 702.3 |
| EG | 324 | |||||
| T2 = 9.82 | ||||||
| TD3 = 12 | ||||||
| D4 | ||||||
|---|---|---|---|---|---|---|
| Instar (x) | Number Living (N) | Fraction Surviving (lx) | Period Survival (px) | Period Mortality (qx) | Frequence of Deaths (dx) | Expectation of Life (ADD) (ex) |
| First generation | ||||||
| EG | 33 | 1 | 1 | 0 | 0 | 2760.1 |
| N1 | 33 | 1 | 0.94 | 0.06 | 0.06 | 2632.1 |
| N2 | 31 | 0.94 | 0.94 | 0.06 | 0.06 | 2054.2 |
| N3 | 29 | 0.88 | 0.97 | 0.03 | 0.03 | 1736.4 |
| N4 | 28 | 0.85 | 0.96 | 0.04 | 0.03 | 1337.3 |
| N5 | 27 | 0.82 | 1 | 0 | 0 | 901.4 |
| AD | 27 | 0.82 | 0 | 1 | 0.82 | 492.1 |
| EG | 338 | |||||
| T1 = 10.24 | ||||||
| Second generation | ||||||
| EG | 33 | 1 | 0 | 0 | 0 | 2690.9 |
| N1 | 33 | 1 | 0.97 | 0.03 | 0.03 | 2562.9 |
| N2 | 32 | 0.97 | 0.94 | 0.06 | 0.06 | 2213.0 |
| N3 | 30 | 0.91 | 0.97 | 0.03 | 0.03 | 1931.2 |
| N4 | 29 | 0.88 | 1 | 0 | 0 | 1523.5 |
| N5 | 29 | 0.88 | 0.97 | 0.03 | 0.03 | 1071.1 |
| AD | 28 | 0.85 | 0 | 1 | 0.85 | 578.9 |
| EG | 390 | |||||
| T2 = 11.82 | ||||||
| TD4 = 11.03 | ||||||
Disclaimer/Publisher’s Note: The statements, opinions and data contained in all publications are solely those of the individual author(s) and contributor(s) and not of MDPI and/or the editor(s). MDPI and/or the editor(s) disclaim responsibility for any injury to people or property resulting from any ideas, methods, instructions or products referred to in the content. |
© 2024 by the authors. Licensee MDPI, Basel, Switzerland. This article is an open access article distributed under the terms and conditions of the Creative Commons Attribution (CC BY) license (https://creativecommons.org/licenses/by/4.0/).
Share and Cite
Picciotti, U.; Valverde-Urrea, M.; Sefa, V.; Ragni, M.; Garganese, F.; Porcelli, F. Performance of Artificial Diets for Zelus renardii (Hemiptera: Reduviidae) Rearing. Insects 2024, 15, 607. https://doi.org/10.3390/insects15080607
Picciotti U, Valverde-Urrea M, Sefa V, Ragni M, Garganese F, Porcelli F. Performance of Artificial Diets for Zelus renardii (Hemiptera: Reduviidae) Rearing. Insects. 2024; 15(8):607. https://doi.org/10.3390/insects15080607
Chicago/Turabian StylePicciotti, Ugo, Miguel Valverde-Urrea, Valdete Sefa, Marco Ragni, Francesca Garganese, and Francesco Porcelli. 2024. "Performance of Artificial Diets for Zelus renardii (Hemiptera: Reduviidae) Rearing" Insects 15, no. 8: 607. https://doi.org/10.3390/insects15080607
APA StylePicciotti, U., Valverde-Urrea, M., Sefa, V., Ragni, M., Garganese, F., & Porcelli, F. (2024). Performance of Artificial Diets for Zelus renardii (Hemiptera: Reduviidae) Rearing. Insects, 15(8), 607. https://doi.org/10.3390/insects15080607

