Identification and Evaluation of qRT-PCR Reference Genes in Melanaphis sacchari
Abstract
Simple Summary
Abstract
1. Introduction
2. Materials and Methods
2.1. Insect Rearing
2.2. Biotic Conditions
2.2.1. Developmental Stage
2.2.2. Tissue and Wing Dimorphism
2.3. Abiotic Conditions
2.3.1. Temperature Treatment
2.3.2. Insecticide Treatment
2.4. Total RNA Extraction and cDNA Synthesis
2.5. Selection of Reference Genes and Design of the Primers
2.6. Real-Time qPCR Analysis
2.6.1. Analysis of Expression Stability of Candidate Reference Genes
2.6.2. Verification of the Stability of Selected Reference Genes
3. Results
3.1. Cloning of the Candidate Genes and qRT-PCR Primer Selection
3.2. Evaluation of the Levels of Gene Expression in Potential Reference Genes
3.3. Stability of the Reference Genes under Various Experimental Conditions
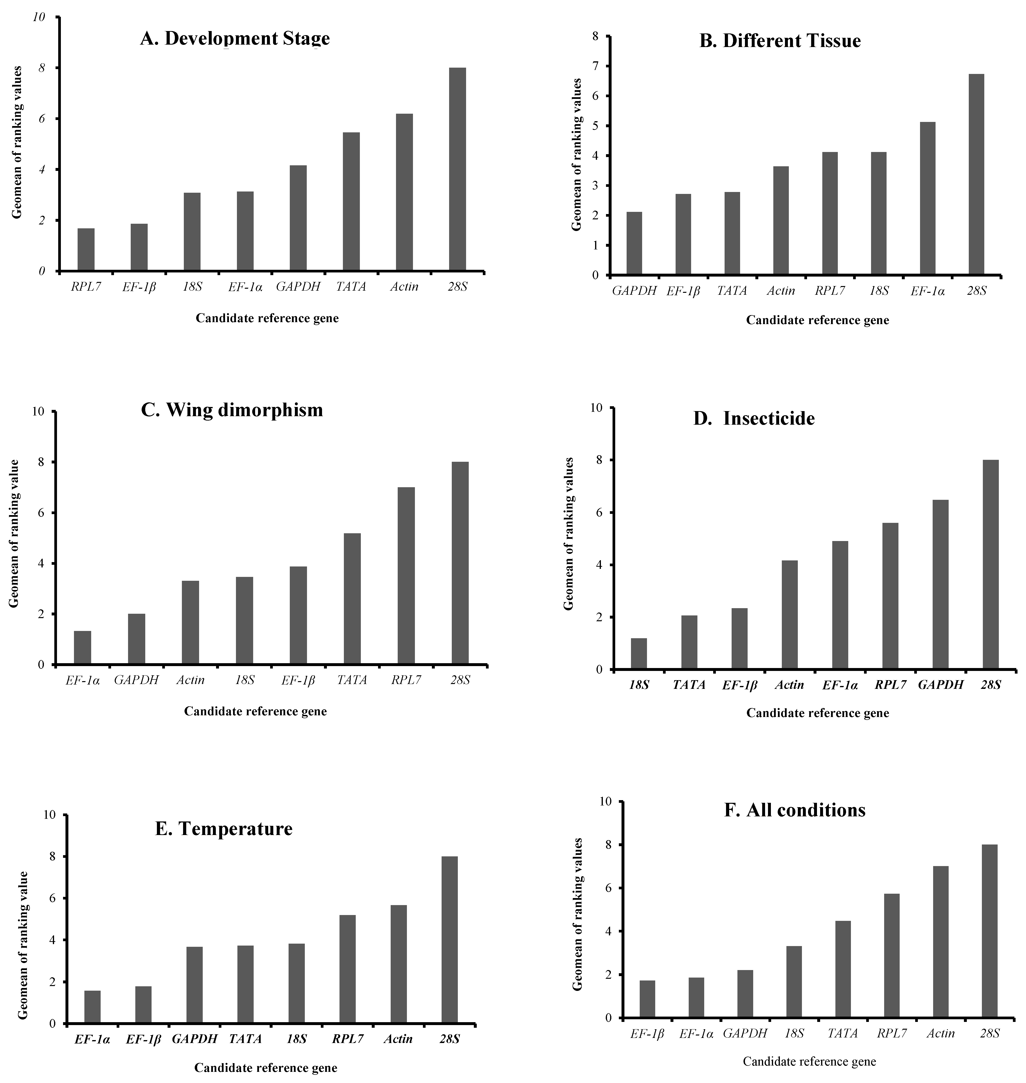
3.3.1. Development Stages
3.3.2. Different Tissue
3.3.3. Wing Dimorphism
3.3.4. Insecticide Treatment
3.3.5. Temperature
3.3.6. RefFinder’s Comprehensive Ranking of Reference Genes
3.4. Selection Verification of Reference Genes
4. Discussion
5. Conclusions
Supplementary Materials
Author Contributions
Funding
Data Availability Statement
Acknowledgments
Conflicts of Interest
References
- Bowling, R.D.; Brewer, M.J.; Kerns, D.L.; Gordy, J.; Seiter, N.; Elliott, N.E.; Buntin, G.D.; Way, M.O.; Royer, T.A.; Biles, S.; et al. Sugarcane Aphid (Hemiptera: Aphididae): A New Pest on Sorghum in North America. J. Integr. Pest Manag. 2016, 7, 12. [Google Scholar] [CrossRef] [PubMed]
- Huang, J.; Shrestha, K.; Huang, Y. Revealing Differential Expression of Phytohormones in Sorghum in Response to Aphid Attack Using the Metabolomics Approach. Int. J. Mol. Sci. 2022, 23, 13782. [Google Scholar] [CrossRef] [PubMed]
- Keerthana, A.; Keerthana, M.; Shireesh Kumar, M.P.; Bahuguna, R.N.; Singh, S.K.; Rai, D.; Reddy, M.S.S. Characterizing and assessing the wheat-aphid complex under varying temperature and humidity. Cereal Res. Commun. 2023, 29, 259–268. [Google Scholar] [CrossRef]
- Liu, J.; Xie, J.; Khashaveh, A.; Zhou, J.; Zhang, Y.; Dong, H.; Cong, B.; Gu, S. Identification and Tissue Expression Profiles of Odorant Receptor Genes in the Green Peach Aphid Myzus persicae. Insects 2022, 13, 398. [Google Scholar] [CrossRef] [PubMed]
- Halawa, S. Susceptibility of Certain Corn Varieties to Infestation with Two Aphid Species in Qalubia Governorate. Ann. Agric. Sci. Moshtohor 2021, 59, 563–576. [Google Scholar] [CrossRef]
- Wilson, B.E.; Reay-Jones, F.P.F.; Lama, L.; Mulcahy, M.; Reagan, T.E.; Davis, J.A.; Yang, Y.; Wilson, L.T.; Musser, F. Influence of Sorghum Cultivar, Nitrogen Fertilization, and Insecticides on Infestations of the Sugarcane Aphid (Hemiptera: Aphididae) in the Southern United States. J. Econ. Entomol. 2020, 113, 1850–1857. [Google Scholar] [CrossRef] [PubMed]
- Liu, Y.; Xu, P.; Dai, H.; Wang, F.; Zong, H.; Yang, H.; Wang, L.; Graham, R.I.; Wang, X.; Zhang, Y.; et al. An aphid-transmitted polerovirus is mutualistic with its insect vector by accelerating population growth in both winged and wingless individuals. J. Plant Interact. 2024, 19, 2321151. [Google Scholar] [CrossRef]
- Yue, B.-S.; Nibouche, S.; Costet, L.; Holt, J.R.; Jacobson, A.; Pekarcik, A.; Sadeyen, J.; Armstrong, J.S.; Peterson, G.C.; McLaren, N.; et al. Invasion of sorghum in the Americas by a new sugarcane aphid (Melanaphis sacchari) superclone. PLoS ONE 2018, 13, e0196124. [Google Scholar]
- Brewer, M.J.; Gordy, J.W.; Kerns, D.L.; Woolley, J.B.; Rooney, W.L.; Bowling, R.D. Sugarcane Aphid Population Growth, Plant Injury, and Natural Enemies on Selected Grain Sorghum Hybrids in Texas and Louisiana. J. Econ. Entomol. 2017, 110, 2109–2118. [Google Scholar] [CrossRef]
- Zhang, B.-Z.; Liu, J.-J.; Yuan, G.-H.; Chen, X.-L.; Gao, X.-W. Selection and evaluation of potential reference genes for gene expression analysis in greenbug (Schizaphis graminum Rondani). J. Integr. Agric. 2018, 17, 2054–2065. [Google Scholar] [CrossRef]
- Zhang, P.; Chen, S.; Chen, S.; Zhu, Y.; Lin, Y.; Xu, X.; Liu, Z.; Zou, S. Selection and Validation of qRT-PCR Internal Reference Genes to Study Flower Color Formation in Camellia impressinervis. Int. J. Mol. Sci. 2024, 25, 3029. [Google Scholar] [CrossRef] [PubMed]
- Bustin, S.A.; Benes, V.; Garson, J.A.; Hellemans, J.; Huggett, J.; Kubista, M.; Mueller, R.; Nolan, T.; Pfaffl, M.W.; Shipley, G.L.; et al. The MIQE guidelines: Minimum information for publication of quantitative real-time PCR experiments. Clin. Chem. 2009, 55, 611–622. [Google Scholar] [CrossRef]
- Shakeel, M.; Rodriguez, A.; Tahir, U.B.; Jin, F. Gene expression studies of reference genes for quantitative real-time PCR: An overview in insects. Biotechnol. Lett. 2018, 40, 227–236. [Google Scholar] [CrossRef]
- Bagnall, N.H.; Kotze, A.C. Evaluation of reference genes for real-time PCR quantification of gene expression in the Australian sheep blowfly, Lucilia cuprina. Med. Vet. Entomol. 2010, 24, 176–181. [Google Scholar] [CrossRef]
- Kang, Z.W.; Liu, F.H.; Tian, H.G.; Zhang, M.; Guo, S.S.; Liu, T.X. Evaluation of the reference genes for expression analysis using quantitative real-time polymerase chain reaction in the green peach aphid, Myzus persicae. Insect Sci. 2017, 24, 222–234. [Google Scholar] [CrossRef] [PubMed]
- Bustin, S.A. Improving the quality of quantitative polymerase chain reaction experiments: 15 years of MIQE. Mol. Asp. Med. 2024, 96, 101249. [Google Scholar] [CrossRef]
- Zhang, Y.; Pan, H.; Yang, X.; Bidne, K.; Hellmich, R.L.; Siegfried, B.D.; Zhou, X. Selection of Reference Genes for RT-qPCR Analysis in the Monarch Butterfly, Danaus plexippus (L.), a Migrating Bio-Indicator. PLoS ONE 2015, 10, e0129482. [Google Scholar]
- Wang, G.; Cheng, H.; Li, M.; Zhang, C.; Deng, W.; Li, T. Selection and validation of reliable reference genes for Tolypocladium guangdongense gene expression analysis under differentially developmental stages and temperature stresses. Gene 2020, 734, 144380. [Google Scholar] [CrossRef]
- Chiu, J.; Gou, Y.; Gao, S.; Liu, A.; Sun, S.; Zhu, X.; Meng, Q.; Wang, Z. Identification and Evaluation of Reference Genes for Normalization of Gene Expression in Developmental Stages, Sexes, and Tissues of Diaphania caesalis (Lepidoptera, Pyralidae). J. Insect Sci. 2020, 20, 6. [Google Scholar]
- López-Martínez, G.; Velada, I.; Ragonezi, C.; Arnholdt-Schmitt, B.; Cardoso, H. Reference Genes Selection and Normalization of Oxidative Stress Responsive Genes upon Different Temperature Stress Conditions in Hypericum perforatum L. PLoS ONE 2014, 9, e115206. [Google Scholar]
- Nagy, N.A.; Németh, Z.; Juhász, E.; Póliska, S.; Rácz, R.; Kosztolányi, A.; Barta, Z. Evaluation of potential reference genes for real-time qPCR analysis in a biparental beetle, Lethrus apterus (Coleoptera: Geotrupidae). PeerJ 2017, 5, e4047. [Google Scholar] [CrossRef] [PubMed]
- Basu, S.; Pereira, A.E.; Pinheiro, D.H.; Wang, H.; Valencia-Jiménez, A.; Siegfried, B.D.; Louis, J.; Zhou, X.J.; Vélez, A.M. Evaluation of reference genes for real-time quantitative PCR analysis in southern corn rootworm, Diabrotica undecimpunc TATA howardi (Barber). Sci. Rep. 2019, 9, 10703. [Google Scholar] [CrossRef] [PubMed]
- Batista, D.S.; Moreira, V.S.; Felipe, S.H.S.; Fortini, E.A.; Silva, T.D.; Chagas, K.; Louback, E.; Romanel, E.; Costa, M.G.C.; Otoni, W.C. Reference gene selection for qRT-PCR in Brazilian-ginseng [Pfaffia glomerata (Spreng.) Pedersen] as affected by various abiotic factors. Plant Cell Tissue Organ Cult. 2019, 138, 97–107. [Google Scholar] [CrossRef]
- Cameron, R.C.; Duncan, E.J.; Dearden, P.K. Stable reference genes for the measurement of transcript abundance during larval caste development in the honeybee. Apidologie 2013, 44, 357–366. [Google Scholar] [CrossRef]
- Wang, Z.; Meng, Q.; Zhu, X.; Sun, S.; Gao, S.; Gou, Y.; Liu, A. Evaluation and Validation of Reference Genes for Quantitative Real-Time PCR in Helopeltis theivora Waterhouse (Hemiptera: Miridae). Sci. Rep. 2019, 9, 13291. [Google Scholar] [CrossRef] [PubMed]
- Geng, A.; Cheng, Y.; Wang, Y.; Zhu, D.; Le, Y.; Wu, J.; Xie, R.; Yuan, J.S.; Sun, J. Transcriptome analysis of the digestive system of a wood-feeding termite (Coptotermes formosanus) revealed a unique mechanism for effective biomass degradation. Biotechnol. Biofuels 2018, 11, 24. [Google Scholar] [CrossRef]
- Wang, W.A.; Liu, W.X.; Durnaoglu, S.; Lee, S.K.; Lian, J.; Lehner, R.; Ahnn, J.; Agellon, L.B.; Michalak, M. Loss of Calreticulin Uncovers a Critical Role for Calcium in Regulating Cellular Lipid Homeostasis. Sci. Rep. 2017, 7, 5941. [Google Scholar] [CrossRef]
- Bhanja, S.K.; Goel, A.; Pandey, N.; Mehra, M.; Majumdar, S.; Mandal, A.B. In ovo carbohydrate supplementation modulates growth and immunity-related genes in broiler chickens. J. Anim. Physiol. Anim. Nutr. 2015, 99, 163–173. [Google Scholar] [CrossRef]
- Chen, J.; Castelvecchi, G.D.; Li-Villarreal, N.; Raught, B.; Krezel, A.M.; McNeill, H.; Solnica-Krezel, L. Atypical Cadherin Dachsous1b Interacts with Ttc28 and Aurora B to Control Microtubule Dynamics in Embryonic Cleavages. Dev. Cell 2018, 45, 376–391.e5. [Google Scholar] [CrossRef]
- Seelan, R.S.; Pisano, M.M.; Greene, R.M.; Casanova, M.F.; Parthasarathy, R.N. Differential methylation of the gene encoding myo-inositol 3-phosphate synthase (Isyna1) in rat tissues. Epigenomics 2011, 3, 111–124. [Google Scholar] [CrossRef]
- Kermarrec, L.; Eissa, N.; Wang, H.; Kapoor, K.; Diarra, A.; Gounni, A.S.; Bernstein, C.N.; Ghia, J.E. Semaphorin-3E attenuates intestinal inflammation through the regulation of the communication between splenic CD11C(+) and CD4(+) CD25(-) T-cells. Br. J. Pharmacol. 2019, 176, 1235–1250. [Google Scholar] [CrossRef] [PubMed]
- Yoo, I.; Seo, H.; Choi, Y.; Jang, H.; Han, J.; Lee, S.; Choi, Y.; Ka, H. Analysis of interferon-γ receptor IFNGR1 and IFNGR2 expression and regulation at the maternal-conceptus interface and the role of interferon-γ on endometrial expression of interferon signaling molecules during early pregnancy in pigs. Mol. Reprod. Dev. 2019, 86, 1993–2004. [Google Scholar] [CrossRef] [PubMed]
- Zheng, W.; Peng, Z.; Peng, S.; Yu, Z.; Cao, Z. Multinuclei Occurred Under Cryopreservation and Enhanced the Pathogenicity of Melampsora larici-populina. Front. Microbiol. 2021, 12, 650902. [Google Scholar] [CrossRef]
- Øvrebø, J.I.; Campsteijn, C.; Kourtesis, I.; Hausen, H.; Raasholm, M.; Thompson, E.M. Functional specialization of chordate CDK1 paralogs during oogenic meiosis. Cell Cycle 2015, 14, 880–893. [Google Scholar] [CrossRef]
- Lim, L.; Ab Majid, A.H. Analysis of Transcriptome Difference between Blood-Fed and Starved Tropical Bed Bug, Cimex hemipterus (F.) (Hemiptera: Cimicidae). Insects 2022, 13, 387. [Google Scholar] [CrossRef]
- Kannan, U.; Sharma, R.; Gangola, M.P.; Ganeshan, S.; Båga, M.; Chibbar, R.N. Sequential expression of raffinose synthase and stachyose synthase corresponds to successive accumulation of raffinose, stachyose and verbascose in developing seeds of Lens culinaris Medik. J. Plant Physiol. 2021, 265, 153494. [Google Scholar] [CrossRef]
- Matta, B.P.; Bitner-Mathé, B.C.; Alves-Ferreira, M. Getting real with real-time qPCR: A case study of reference gene selection for morphological variation in Drosophila melanogaster wings. Dev. Genes Evol. 2011, 221, 49–57. [Google Scholar] [CrossRef] [PubMed]
- Lord, J.C.; Hartzer, K.; Toutges, M.; Oppert, B. Evaluation of quantitative PCR reference genes for gene expression studies in Tribolium castaneum after fungal challenge. J. Microbiol. Methods 2010, 80, 219–221. [Google Scholar] [CrossRef]
- Smagghe, G.; Zhu, X.; Yuan, M.; Shakeel, M.; Zhang, Y.; Wang, S.; Wang, X.; Zhan, S.; Kang, T.; Li, J. Selection and Evaluation of Reference Genes for Expression Analysis Using qRT-PCR in the Beet Armyworm Spodoptera exigua (Hübner) (Lepidoptera: Noctuidae). PLoS ONE 2014, 9, e84730. [Google Scholar]
- Hu, C.; Yang, J.; Qi, Z.; Wu, H.; Wang, B.; Zou, F.; Mei, H.; Liu, J.; Wang, W.; Liu, Q. Heat shock proteins: Biological functions, pathological roles, and therapeutic opportunities. MedComm 2022, 3, e161. [Google Scholar] [CrossRef]
- Jo, V.; Katleen, D.P.; Filip, P.; Bruce, P.; Nadine, V.R.; Anne, D.P.; Frank, S. Accurate normalization of real-time quantitative RT-PCR data by geometric averaging of multiple internal control genes. Genome Biol. 2002, 3, RESEARCH0034. [Google Scholar]
- Andersen, C.L.; Jensen, J.L.; Orntoft, T.F. Normalization of Real-Time Quantitative Reverse Transcription-PCR Data: A Model-Based Variance Estimation Approach to Identify Genes Suited for Normalization, Applied to Bladder and Colon Cancer Data Sets. Cancer Res. 2004, 64, 5245–5250. [Google Scholar] [CrossRef] [PubMed]
- Pfaffl, M.W.; Tichopad, A.; Prgomet, C.; Neuvians, T.P. Determination of stable housekeeping genes, differentially regulated target genes and sample integrity: BestKeeper—Excel-based tool using pair-wise correlations. Biotechnol. Lett. 2004, 26, 509–515. [Google Scholar] [CrossRef] [PubMed]
- Livak, K.J.; Schmittgen, T.D. Analysis of Relative Gene Expression Data Using Real-Time Quantitative PCR and the 2−ΔΔCT Method. Methods 2001, 25, 402–408. [Google Scholar] [CrossRef] [PubMed]
- Liu, Y.; Zhou, J.; Qiu, Z.; Hu, P.; Chen, X.; Yang, Z. Identification and Validation of Reference Genes for Expression Analysis Using RT-qPCR in Leptocybe invasa Fisher and La Salle (Hymenoptera: Eulophidae). Insects 2023, 14, 456. [Google Scholar] [CrossRef] [PubMed]
- Zheng, C.; Zhao, D.; Xu, Y.; Shi, F.; Zong, S.; Tao, J. Reference Gene Selection for Expression Analyses by qRT-PCR in Dendroctonus valens. Insects 2020, 11, 328. [Google Scholar] [CrossRef] [PubMed]
- Melcher, U.; Bai, B.; Ren, J.; Bai, F.; Hao, L. Selection and validation of reference genes for gene expression studies in Pseudomonas brassicacearum GS20 using real-time quantitative reverse transcription PCR. PLoS ONE 2020, 15, e0227927. [Google Scholar]
- Zhang, Y.; Lü, J.; Chen, S.; Guo, M.; Ye, C.; Qiu, B.; Yang, C.; Pan, H. Selection of appropriate reference genes for RT-qPCR analysis in Propylea japonica (Coleoptera: Coccinellidae). PLoS ONE 2018, 13, e0208027. [Google Scholar]
- Li, Y.; Yang, C.; Pan, H.; Liu, Y.; Zhou, X. Selection of Reference Genes for Expression Analysis Using Quantitative Real-Time PCR in the Pea Aphid, Acyrthosiphon pisum (Harris) (Hemiptera, Aphidiae). PLoS ONE 2014, 9, e110454. [Google Scholar]
- Buyuk, I.; Su, X.; Lu, L.; Li, Y.; Zhen, C.; Hu, G.; Jiang, K.; Yan, Y.; Xu, Y.; Wang, G.; et al. Reference gene selection for quantitative real-time PCR (qRT-PCR) expression analysis in Galium aparine L. PLoS ONE 2020, 15, e0226668. [Google Scholar]
- Zhang, S.; An, S.; Li, Z.; Wu, F.; Yang, Q.; Liu, Y.; Cao, J.; Zhang, H.; Zhang, Q.; Liu, X. Identification and validation of reference genes for normalization of gene expression analysis using qRT-PCR in Helicoverpa armigera (Lepidoptera: Noctuidae). Gene 2015, 555, 393–402. [Google Scholar] [CrossRef] [PubMed]
- Yu, S.-H.; Yang, P.; Sun, T.; Qi, Q.; Wang, X.-Q.; Xu, D.-L.; Chen, X.-M. Identification and evaluation of reference genes in the Chinese white wax scale insect Ericerus pela. SpringerPlus 2016, 5, 719. [Google Scholar] [CrossRef] [PubMed]
- Koch, E.L.; Guillaume, F. Additive and mostly adaptive plastic responses of gene expression to multiple stress in Tribolium castaneum. PLoS Genet. 2020, 16, e1008768. [Google Scholar] [CrossRef] [PubMed]
- Jeon, J.H.; Moon, K.; Kim, Y.; Kim, Y.H. Reference gene selection for qRT-PCR analysis of season- and tissue-specific gene expression profiles in the honey bee Apis mellifera. Sci. Rep. 2020, 10, 13935. [Google Scholar] [CrossRef] [PubMed]
- Lin, X.; Zhang, L.; Jiang, Y. Distinct Roles of Met and Interacting Proteins on the Expressions of takeout Family Genes in Brown Planthopper. Front. Physiol. 2017, 8, 100. [Google Scholar] [CrossRef] [PubMed]
- Zhang, Y.; Zhai, Y.; Lin, Q.; Zhou, X.; Zhang, X.; Liu, T.; Yu, Y. Identification and Validation of Reference Genes for Quantitative Real-Time PCR in Drosophila suzukii (Diptera: Drosophilidae). PLoS ONE 2014, 9, e106800. [Google Scholar]
- Guoqing, L.; Ruiheng, D.; Shenglin, H.; Peng, L.; Guisu, J.; Suying, L. Resistance to Aphids in Sorghum: A Review. Chin. Bull. Bot. 2012, 47, 171–187. [Google Scholar] [CrossRef]
- Schönbach, C.; Gao, X.-K.; Zhang, S.; Luo, J.-Y.; Wang, C.-Y.; Lü, L.-M.; Zhang, L.-J.; Zhu, X.-Z.; Wang, L.; Cui, J.-J. Identification and validation of reference genes for gene expression analysis in Aphidius gifuensis (Hymenoptera: Aphidiidae). PLoS ONE 2017, 12, e0188477. [Google Scholar]
- Zhou, C.; Yang, X.-b.; Yang, H.; Long, G.-y.; Wang, Z.; Jin, D.-c. Effects of abiotic stress on the expression of HSP70 genes in Sogatella furcifera (Horváth). Cell Stress Chaperones 2020, 25, 119–131. [Google Scholar] [CrossRef]
- Li, Y.; Zhao, Q.; Duan, X.; Song, C.; Chen, M. Transcription of four Rhopalosiphum padi (L.) heat shock protein genes and their responses to heat stress and insecticide exposure. Comp. Biochem. Physiol. Part A Mol. Integr. Physiol. 2017, 205, 48–57. [Google Scholar] [CrossRef]




| Genes | Primer Sequences (5′-3′) | Gene | Accession No. | Length (bp) |
|---|---|---|---|---|
| Actin | F:TGCTGTCTTCCCGTCCAT | Actin | XM_025350371.1 | 746 |
| R:TTTCGTGGATACCGCAAG | ||||
| 18S | F:TGGCAGTGTTGCTGAAGA | 18S ribosomal | XM_025343011.1 | 624 |
| R:CCACTCCTTGATCGTCCT | ||||
| GAPDH | F:GTAGCCATCAATGACCCA | Glyceraldehyde-3-phosphate | XM_025343821 | 700 |
| R:GGCAGCACCTCTACCATC | ||||
| RPL7 | F:ACGTAAGGCTCGTACAGC | Ribosomal protein L 7 | XM_025345708.1 | 406 |
| R:TGAAAGGCCAAAGGAAGT | ||||
| EF-1α | F:TCATTGACGCACCTGGAC | Elongation factor 1 alpha | XM_025346188.1 | 574 |
| R:AAGACCACAACCATACCG | ||||
| EF-1β | F:ATGGCTGCCGTTGACTTA | Elongation fator 1 beta | XM_025337882.1 | 644 |
| R:TTGAATGCAGCAATGTCC | ||||
| 28S | F:AAAAGGTCCTGGACGAAA | 28S ribosomal | XM_025343486.1 | 1136 |
| R:ACGCCATAACAGGTAACATAC | ||||
| TATA | F:GGATCAAATGTTACCGAGTC | TATA box binding protein | XM_025347315.1 | 828 |
| R:CGTACTTTGGCACCTGTC | ||||
| HSP70 | F:ATGGTCGGAAAGACTGCTAT | Heat Shock Protein 70 | XM_025350978.1 | 1004 |
| R:ATGTCGTGGATGTCTCCCT |
| Genes | Primer Sequences (5′-3′) | Accession No. | Length (bp) | Amplification Efficiency (%) | R2 |
|---|---|---|---|---|---|
| Actin | F:TTTGGACTCAGGTGACGGTG | XM_025350371.1 | 166 | 105.797 | 0.9997 |
| R:TTCACGCTCAGCAGTAGTGG | |||||
| 18S | F:ACATTGGTGATGGCGTTCCA | XM_025343011.1 | 172 | 104.623 | 0.9993 |
| R:AAGACTGCTCTAGCGTTGCG | |||||
| GAPDH | F:AGGTGTTCTCTGAACGCGAC | XM_025343821 | 78 | 105.681 | 0.9990 |
| R:CACCGGTGGATTCAACAACG | |||||
| RPL7 | F:AACGCGCTGAAGCTTATGTT | XM_025345708.1 | 151 | 105.575 | 0.9997 |
| R:GCCACTTGATTCACACCACG | |||||
| EF-1α | F:CAACTGACAAGGCTCTCCGT | XM_025346188.1 | 77 | 101.577 | 0.9992 |
| R:ACGACCAACTGGGACTGTTC | |||||
| EF-1β | F:TTTGCTGCGATTCAAGCACC | XM_025337882.1 | 141 | 103.375 | 0.9990 |
| R:TGCAGCATTAGCCGAAGACA | |||||
| 28S | F:GCTTGAGCAAGGTCACGTCT | XM_025343486.1 | 160 | 102.747 | 0.9997 |
| R:CCAGTGAAACGCCTAGACCA | |||||
| TATA | F:GGTATGCACTGGCGCAAAAA | XM_025347315.1 | 167 | 108.547 | 0.9995 |
| R:GTACCAATCCCTCAAGCCGT | |||||
| HSP70 | F:CTGCGGAAAGCCCAAAATCC | XM_025350978.1 | 119 | 109.320 | 0.9943 |
| R:TTCGTCAGCACCATCGAACT |
| Treatments | Genes | ΔCt | BestKeeper | NormFinder | geNorm | ||||
|---|---|---|---|---|---|---|---|---|---|
| Stability | Rank | Stability | Rank | Stability | Rank | Stability | Rank | ||
| Development Stages | Actin | 0.962 | 7 | 0.57 | 2 | 0.311 | 6 | 0.481 | 6 |
| 18S | 0.827 | 5 | 0.45 | 1 | 0.292 | 5 | 0.418 | 5 | |
| GAPDH | 0.817 | 4 | 0.72 | 5 | 0.107 | 1 | 0.390 | 4 | |
| RPL7 | 0.772 | 1 | 0.58 | 3 | 0.271 | 4 | 0.321 | 2 | |
| EF-1α | 0.784 | 3 | 0.81 | 6 | 0.123 | 2 | 0.283 | 1 | |
| EF-1β | 0.777 | 2 | 0.67 | 4 | 0.158 | 3 | 0.283 | 1 | |
| 28S | 3.029 | 8 | 1.94 | 8 | 2.251 | 8 | 1.177 | 7 | |
| TATA | 0.869 | 6 | 0.91 | 7 | 0.408 | 7 | 0.351 | 3 | |
| Different Tissues | Actin | 0.340 | 4 | 0.36 | 7 | 0.319 | 4 | 0.011 | 1 |
| 18S | 0.350 | 5 | 0.37 | 8 | 0.332 | 5 | 0.011 | 1 | |
| GAPDH | 0.260 | 1 | 0.20 | 5 | 0.042 | 1 | 0.126 | 3 | |
| RPL7 | 0.310 | 3 | 0.32 | 6 | 0.253 | 3 | 0.043 | 2 | |
| EF-1α | 0.390 | 6 | 0.08 | 2 | 0.352 | 6 | 0.289 | 6 | |
| EF-1β | 0.300 | 1 | 0.04 | 1 | 0.145 | 2 | 0.227 | 5 | |
| 28S | 0.47 | 7 | 0.14 | 4 | 0.465 | 7 | 0.335 | 7 | |
| TATA | 0.26 | 2 | 0.14 | 3 | 0.042 | 1 | 0.172 | 4 | |
| Wing dimorphism | Actin | 1.059 | 4 | 1.15 | 2 | 0.068 | 4 | 0.455 | 4 |
| 18S | 1.141 | 6 | 1.01 | 1 | 0.068 | 3 | 0.552 | 5 | |
| GAPDH | 0.954 | 2 | 1.48 | 4 | 0.001 | 2 | 0.004 | 1 | |
| RPL7 | 1.312 | 7 | 2.07 | 7 | 1.023 | 7 | 0.646 | 6 | |
| EF-1α | 0.952 | 1 | 1.48 | 3 | 0.001 | 1 | 0.004 | 1 | |
| EF-1β | 1.021 | 3 | 1.72 | 5 | 0.524 | 5 | 0.228 | 2 | |
| 28S | 4.482 | 8 | 2.56 | 8 | 4.008 | 8 | 1.931 | 7 | |
| TATA | 1.089 | 5 | 1.83 | 6 | 0.693 | 6 | 0.303 | 3 | |
| Insecticide | Actin | 0.194 | 5 | 0.06 | 4 | 0.094 | 6 | 0.044 | 2 |
| 18S | 0.259 | 3 | 0.01 | 1 | 0.032 | 2 | 0.016 | 1 | |
| GAPDH | 0.235 | 7 | 0.12 | 7 | 0.094 | 5 | 0.124 | 6 | |
| RPL7 | 0.205 | 6 | 0.07 | 5 | 0.113 | 7 | 0.052 | 3 | |
| EF-1α | 0.176 | 2 | 0.09 | 6 | 0.052 | 4 | 0.101 | 5 | |
| EF-1β | 0.169 | 4 | 0.03 | 3 | 0.020 | 1 | 0.071 | 4 | |
| 28S | 0.240 | 8 | 0.18 | 8 | 0.163 | 8 | 0.153 | 7 | |
| TATA | 0.199 | 1 | 0.02 | 2 | 0.049 | 3 | 0.016 | 1 | |
| Temperature | Actin | 0.801 | 6 | 0.65 | 7 | 0.301 | 6 | 0.329 | 5 |
| 18S | 0.954 | 7 | 0.27 | 1 | 0.163 | 5 | 0.221 | 3 | |
| GAPDH | 0.672 | 4 | 0.35 | 4 | 0.144 | 4 | 0.138 | 1 | |
| RPL7 | 0.653 | 3 | 0.49 | 6 | 0.086 | 3 | 0.256 | 4 | |
| EF-1α | 0.632 | 2 | 0.33 | 3 | 0.048 | 1 | 0.138 | 1 | |
| EF-1β | 0.626 | 1 | 0.32 | 2 | 0.051 | 2 | 0.175 | 2 | |
| 28S | 2.834 | 8 | 2.23 | 8 | 2.140 | 8 | 1.159 | 7 | |
| TATA | 0.673 | 5 | 0.39 | 5 | 0.727 | 7 | 0.507 | 6 | |
| Biotic Factor | Reference Gene | Abiotic Factor | Reference Gene |
|---|---|---|---|
| Developmental stage | RPL7, EF-1β | Temperature | EF-1α, EF-1β |
| Tissue | GAPDH, EF-1β | Insecticide | 18S, TATA |
| Wing dimorphism | EF-1α, GAPDH | All conditions | EF-1β, EF-1α |
Disclaimer/Publisher’s Note: The statements, opinions and data contained in all publications are solely those of the individual author(s) and contributor(s) and not of MDPI and/or the editor(s). MDPI and/or the editor(s) disclaim responsibility for any injury to people or property resulting from any ideas, methods, instructions or products referred to in the content. |
© 2024 by the authors. Licensee MDPI, Basel, Switzerland. This article is an open access article distributed under the terms and conditions of the Creative Commons Attribution (CC BY) license (https://creativecommons.org/licenses/by/4.0/).
Share and Cite
Zou, K.; Wang, T.; Guan, M.; Liu, Y.; Li, J.; Liu, Y.; Du, J.; Wu, D. Identification and Evaluation of qRT-PCR Reference Genes in Melanaphis sacchari. Insects 2024, 15, 522. https://doi.org/10.3390/insects15070522
Zou K, Wang T, Guan M, Liu Y, Li J, Liu Y, Du J, Wu D. Identification and Evaluation of qRT-PCR Reference Genes in Melanaphis sacchari. Insects. 2024; 15(7):522. https://doi.org/10.3390/insects15070522
Chicago/Turabian StyleZou, Kunliang, Tonghan Wang, Minghui Guan, Yang Liu, Jieqin Li, Yanlong Liu, Junli Du, and Degong Wu. 2024. "Identification and Evaluation of qRT-PCR Reference Genes in Melanaphis sacchari" Insects 15, no. 7: 522. https://doi.org/10.3390/insects15070522
APA StyleZou, K., Wang, T., Guan, M., Liu, Y., Li, J., Liu, Y., Du, J., & Wu, D. (2024). Identification and Evaluation of qRT-PCR Reference Genes in Melanaphis sacchari. Insects, 15(7), 522. https://doi.org/10.3390/insects15070522

