Perceptual Effects of Walnut Volatiles on the Codling Moth
Abstract
Simple Summary
Abstract
1. Introduction
2. Methods and Materials
2.1. Insect Rearing
2.2. Investigation of Oviposition Behavior
2.2.1. Oviposition Organ Selection
2.2.2. Investigation of Egg-Laying Location
2.3. Extraction and Identification of Volatiles
2.4. Test Conditions of Gas Chromatography-Electroantennographic Detection (GC-EAD)
2.5. Electroantennography (EAG)
2.6. Olfactory Behavior Bioassays
2.7. Statistical Analysis
3. Results
3.1. Oviposition Behavior
3.2. Chemical Identification of Volatiles
3.3. Identification of the Candidate Volatiles
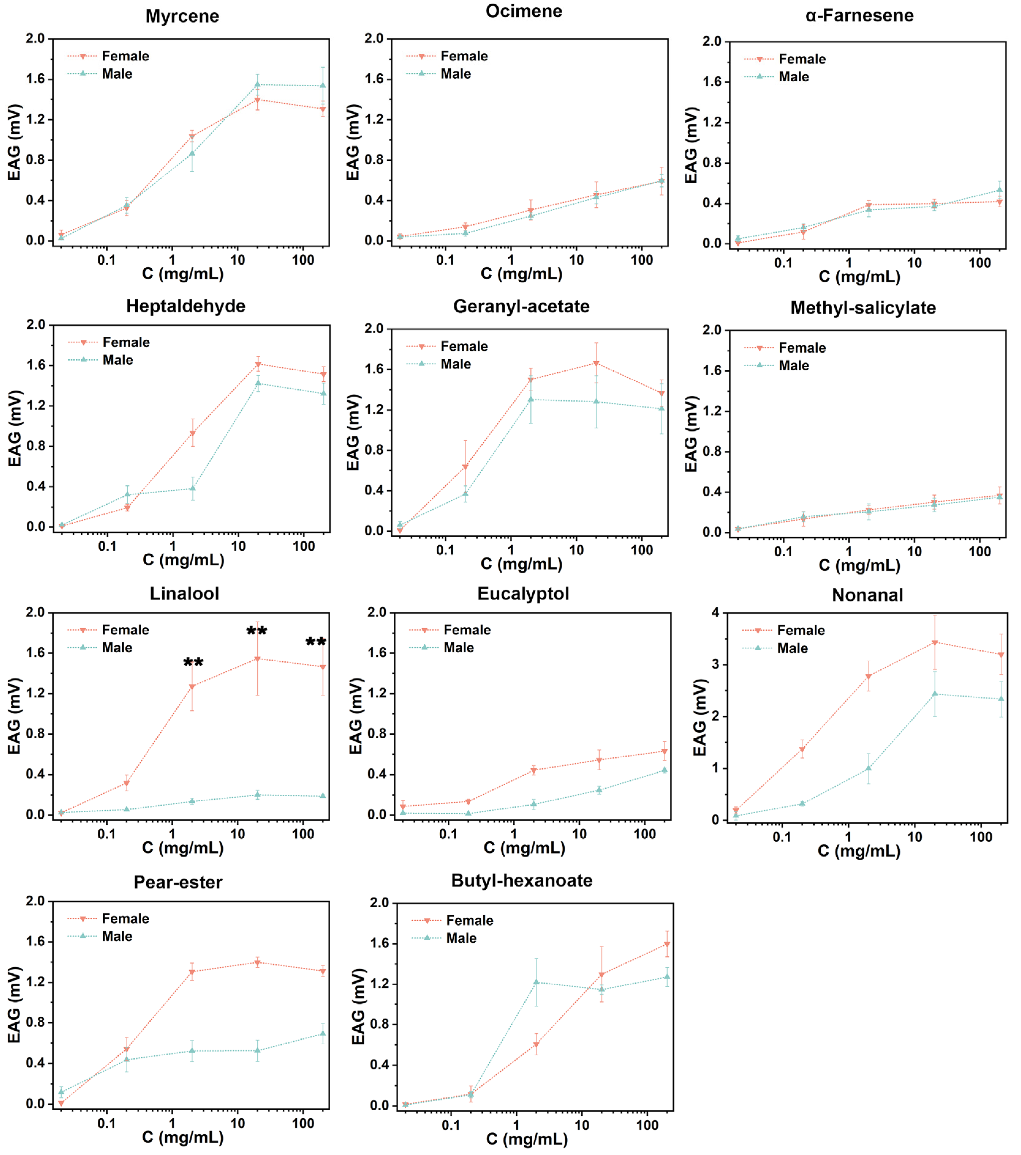
3.4. EAG Response to Candidate Volatiles
3.5. Olfactory Behavior
4. Discussion
5. Conclusions
Author Contributions
Funding
Data Availability Statement
Acknowledgments
Conflicts of Interest
References
- Kumar, S.; Neven, L.G.; Zhu, H.; Zhang, R. Assessing the global risk of establishment of Cydia pomonella (Lepidoptera: Tortricidae) using CLIMEX and MaxEnt niche models. J. Econ. Entomol. 2015, 108, 1708–1719. [Google Scholar] [CrossRef] [PubMed]
- Hu, C.; Liu, Y.-X.; Zhang, S.-P.; Wang, Y.-Q.; Gao, P.; Li, Y.-T.; Yang, X. Transcription factor AhR regulates glutathione S-transferases (GSTs) conferring resistance to lambda-cyhalothrin in Cydia pomonella. bioRxiv 2023. [Google Scholar] [CrossRef]
- Huisamen, E.; Bosua, H.J.; Karsten, M.; Terblanche, J.S. Sub-lethal effects of spinetoram application interacts with temperature in complex ways to influence respiratory metabolism, life history and macronutrient composition in false codling moth (Thaumatotibia leucotreta). J. Insect Physiol. 2023, 145, 104490. [Google Scholar] [CrossRef] [PubMed]
- Ju, D.; Liu, Y.-X.; Liu, X.; Dewer, Y.; Mota-Sanchez, D.; Yang, X.-Q. Exposure to lambda-cyhalothrin and abamectin drives sublethal and transgenerational effects on the development and reproduction of Cydia pomonella. Ecotoxicol. Environ. Saf. 2023, 252, 114581. [Google Scholar] [CrossRef]
- Sauphanor, B.; Franck, P.; Lasnier, T.; Toubon, J.-F.; Beslay, D.; Boivin, T.; Bouvier, J.-C.; Renou, M. Insecticide resistance may enhance the response to a host-plant volatile kairomone for the codling moth, Cydia pomonella (L.). Naturwissenschaften 2007, 94, 449–458. [Google Scholar] [CrossRef] [PubMed]
- Sustainability Research-Sustainable Pest Management; Recent Findings in Sustainable Pest Management Described by Researchers from Agroscope (Predicting the phenology of codling moth, Cydia pomonella, for sustainable pest management in Swiss apple orchards). Ecol. Environ. Conserv. 2018, 224. [CrossRef]
- Gonzalez, F.; Borrero-Echeverry, F.; Jósvai, J.K.; Strandh, M.; Unelius, C.R.; Tóth, M.; Witzgall, P.; Bengtsson, M.; Walker III, W.B. Odorant receptor phylogeny confirms conserved channels for sex pheromone and host plant signals in tortricid moths. Ecol. Evol. 2020, 10, 7334–7348. [Google Scholar] [CrossRef] [PubMed]
- Tlak Gajger, I.; Dar, S.A. Plant allelochemicals as sources of insecticides. Insects 2021, 12, 189. [Google Scholar] [CrossRef] [PubMed]
- Kadoić Balaško, M.; Bažok, R.; Mikac, K.M.; Lemic, D.; Pajač Živković, I. Pest management challenges and control practices in codling moth: A review. Insects 2020, 11, 38. [Google Scholar] [CrossRef]
- López, M.L.; Gomez, M.P.; Díaz, A.; Barud, F.J.; Camina, J.L.; Dambolena, J.S. Changes in the volatile profile of four cultivars of quince (Cydonia oblonga) produced by codling moth (Cydia pomonella) infestation. Phytochem. Lett. 2022, 49, 187–191. [Google Scholar] [CrossRef]
- Maletti, L.; D’Eusanio, V.; Durante, C.; Marchetti, A.; Tassi, L. VOCs Analysis of Three Different Cultivars of Watermelon (Citrullus lanatus L.) Whole Dietary Fiber. Molecules 2022, 27, 8747. [Google Scholar] [CrossRef] [PubMed]
- Deng, H.; He, R.; Huang, R.; Pang, C.; Ma, Y.; Xia, H.; Liang, D.; Liao, L.; Xiong, B.; Wang, X. Optimization of a static headspace GC-MS method and its application in metabolic fingerprinting of the leaf volatiles of 42 citrus cultivars. Front. Plant Sci. 2022, 13, 1050289. [Google Scholar] [CrossRef] [PubMed]
- Tripodi, G.; Condurso, C.; Cincotta, F.; Merlino, M.; Verzera, A. Aroma compounds in mini-watermelon fruits from different grafting combinations. J. Sci. Food Agric. 2020, 100, 1328–1335. [Google Scholar] [CrossRef] [PubMed]
- Kumeroa, F.; Komahan, S.; Sofkova-Bobcheva, S.; Clavijo McCormick, A. Characterization of the Volatile Profiles of Six Industrial Hemp (Cannabis sativa L.) Cultivars. Agronomy 2022, 12, 2651. [Google Scholar] [CrossRef]
- Das, A.; Lee, S.-H.; Hyun, T.K.; Kim, S.-W.; Kim, J.-Y. Plant volatiles as method of communication. Plant Biotechnol. Rep. 2013, 7, 9–26. [Google Scholar] [CrossRef]
- Conchou, L.; Lucas, P.; Meslin, C.; Proffit, M.; Staudt, M.; Renou, M. Insect odorscapes: From plant volatiles to natural olfactory scenes. Front. Physiol. 2019, 10, 972. [Google Scholar] [CrossRef] [PubMed]
- Rejmánková, E.; Higashi, R.; Grieco, J.; Achee, N.; Roberts, D. Volatile substances from larval habitats mediate species-specific oviposition in Anopheles mosquitoes. J. Med. Entomol. 2005, 42, 95–103. [Google Scholar] [CrossRef] [PubMed]
- Yuling, F.; Zhongning, Z. Influence of host-plant volatile components on oviposition behavior and sex pheromone attractiveness to Helicoverpa armigera. Kun Chong Xue Bao Acta Entomol. Sin. 2002, 45, 63–67. [Google Scholar]
- MA, Y.; XU, Y.; XIAO, C. Oviposition attraction effect of ten host-plant volatiles on potato tuber moth, Phthorimaea operculella. Chin. J. Biol. Control 2012, 28, 448. [Google Scholar]
- Sutherland, O.; Hutchins, R.; Wearing, C. The role of the hydrocarbon α-farnesene in the behaviour of codling moth larvae and adults. In Experimental Analysis of Insect Behaviour; Springer: Berlin/Heidelberg, Germany, 1974; pp. 249–263. [Google Scholar] [CrossRef]
- El-Sayed, A.M.; Cole, L.; Revell, J.; Manning, L.-A.; Twidle, A.; Knight, A.L.; Bus, V.G.; Suckling, D.M. Apple volatiles synergize the response of codling moth to pear ester. J. Chem. Ecol. 2013, 39, 643–652. [Google Scholar] [CrossRef]
- Hern, A.; Dorn, S. A female-specific attractant for the codling moth, Cydia pomonella, from apple fruit volatiles. Naturwissenschaften 2004, 91, 77–80. [Google Scholar] [CrossRef] [PubMed]
- Knight, A.; Light, D. Seasonal flight patterns of codling moth (Lepidoptera: Tortricidae) monitored with pear ester and codlemone-baited traps in sex pheromone-treated apple orchards. Environ. Entomol. 2005, 34, 1028–1035. [Google Scholar] [CrossRef]
- Casado, D.; Gemeno, C.; Avilla, J.; Riba, M. Diurnal variation of walnut tree volatiles and electrophysiological responses in Cydia pomonella (Lepidoptera: Tortricidae). Pest Manag. Sci. Former. Pestic. Sci. 2008, 64, 736–747. [Google Scholar] [CrossRef] [PubMed]
- Witzgall, P.; Ansebo, L.; Yang, Z.; Angeli, G.; Sauphanor, B.; Bengtsson, M. Plant volatiles affect oviposition by codling moths. Chemoecology 2005, 15, 77–83. [Google Scholar] [CrossRef]
- Wearing, C.H. Distribution characteristics of eggs and neonate larvae of codling moth, Cydia pomonella (L.)(Lepidoptera: Tortricidae). Int. J. Insect Sci. 2016, 8, S38587. [Google Scholar] [CrossRef] [PubMed]
- Stoeckli, S.; Mody, K.; Dorn, S. Influence of canopy aspect and height on codling moth (Lepidoptera: Tortricidae) larval infestation in apple, and relationship between infestation and fruit size. J. Econ. Entomol. 2008, 101, 81–89. [Google Scholar] [CrossRef] [PubMed]
- Blood, B.; Klingeman, W.; Paschen, M.; Hadžiabdić, Đ.; Couture, J.; Ginzel, M. Behavioral responses of Pityophthorus juglandis (Coleoptera: Curculionidae: Scolytinae) to volatiles of black walnut and Geosmithia morbida (Ascomycota: Hypocreales: Bionectriaceae), the causal agent of thousand cankers disease. Environ. Entomol. 2018, 47, 412–421. [Google Scholar] [CrossRef] [PubMed]
- Popitanu, C.; Lupitu, A.; Copolovici, L.; Bungău, S.; Niinemets, Ü.; Copolovici, D.M. Induced volatile emissions, photosynthetic characteristics, and pigment content in Juglans regia leaves infected with the Erineum-forming mite Aceria erinea. Forests 2021, 12, 920. [Google Scholar] [CrossRef]
- San Román, I.; Bartolomé, L.; Gee, W.S.; Alonso, R.M.; Beck, J.J. Comparison of ex situ volatile emissions from intact and mechanically damaged walnuts. Food Res. Int. 2015, 72, 198–207. [Google Scholar] [CrossRef]
- Howell, J.F. Codling moth: The effect of adult diet on longevity, fecundity, fertility, and mating. J. Econ. Entomol. 1981, 74, 13–18. [Google Scholar] [CrossRef]
- Wei, Y.; Luo, J.; Liu, Y.; Zhou, Z.; Zhang, D. Circadian rhythm of adult eclosion, oviposition and hatching in the codling moth, Cydia pomonella. Plant Prot. 2014, 40, 143–146. [Google Scholar]
- Du, Y.; Zhou, A.; Chen, J. Olfactory and behavioral responses to acetate esters in red imported fire ant, Solenopsis invicta. Pest Manag. Sci. 2021, 77, 1371–1382. [Google Scholar] [CrossRef]
- Luo, H.; Tang, X.a.; Deng, Y.; Deng, Z.; Liu, M. The extraction and identification of active components of the sex pheromones of Asian citrus psyllid, Diaphorina citri. Pestic. Biochem. Physiol. 2023, 192, 105421. [Google Scholar] [CrossRef]
- Cao, Y.; Pistillo, O.M.; Lou, Y.; D’Isita, I.; Maggi, F.; Hu, Q.; Germinara, G.S.; Li, C. Electrophysiological and behavioural responses of Stegobium paniceum to volatile compounds from Chinese medicinal plant materials. Pest Manag. Sci. 2022, 78, 3697–3703. [Google Scholar] [CrossRef] [PubMed]
- Wearing, C.H.; McLaren, G.F. Evidence that sweet cherry, Prunus avium L. is not a host of codling moth, Cydia pomonella, (Lepidoptera: Tortricidae). Crop Prot. 2001, 20, 571–579. [Google Scholar] [CrossRef]
- Hathaway, D.; Schoenlfber, L.; Lydin, L. Codling moths: Plastic pellets or waxed paper as oviposition substrates. J. Econ. Entomol. 1972, 65, 1756–1757. [Google Scholar] [CrossRef]
- Du, L.; Chai, S.; Guo, J.; Lu, T.; Zhang, R. Egg-laying features of Cydia pomonella adults. Chin. J. Appl. Entomol. (Chin.) 2012, 49, 70–79. [Google Scholar]
- Flores-Macías, A.; Flores-Sánchez, M.A.; León-Herrera, L.R.; Mondragón-Olguín, V.M.; Zavala-Gómez, C.E.; Tapia-Pérez, A.D.; Campos-Guillén, J.; Amaro-Reyes, A.; Sandoval-Cárdenas, D.I.; Romero-Gómez, S.d.J. Activity of chloroformic extract from Salvia connivens (Lamiales: Lamiaceae) and its principal compounds against Spodoptera frugiperda (Lepidoptera: Noctuidae). Appl. Sci. 2021, 11, 11813. [Google Scholar] [CrossRef]
- Saveer, A.M.; Hatano, E.; Wada-Katsumata, A.; Meagher, R.L.; Schal, C. Nonanal, a new fall armyworm sex pheromone component, significantly increases the efficacy of pheromone lures. Pest Manag. Sci. 2023, 79, 2831–2839. [Google Scholar] [CrossRef]
- Xiang, H.-M.; Ma, R.-Y.; Diao, H.-L.; Li, X.-W.; He, X.-J.; Guo, Y.-F. Peach-specific aldehyde nonanal attracts female oriental fruit moths, Grapholita molesta (Lepidoptera: Tortricidae). J. Asia-Pac. Entomol. 2017, 20, 1419–1424. [Google Scholar] [CrossRef]
- Wang, C.; Li, G.; Miao, C.; Zhao, M.; Wang, B.; Guo, X. Nonanal modulates oviposition preference in female Helicoverpa assulta (Lepidoptera: Noctuidae) via the activation of peripheral neurons. Pest Manag. Sci. 2020, 76, 3159–3167. [Google Scholar] [CrossRef] [PubMed]
- Jumean, Z.; Gries, R.; Unruh, T.; Rowland, E.; Gries, G. Identification of the larval aggregation pheromone of codling moth, Cydia pomonella. J. Chem. Ecol. 2005, 31, 911–924. [Google Scholar] [CrossRef] [PubMed]
- Ding, P.; Ding, Y. Stories of salicylic acid: A plant defense hormone. Trends Plant Sci. 2020, 25, 549–565. [Google Scholar] [CrossRef] [PubMed]
- Malichan, S.; Vannatim, N.; Chaowongdee, S.; Pongpamorn, P.; Paemanee, A.; Siriwan, W. Comparative analysis of salicylic acid levels and gene expression in resistant, tolerant, and susceptible cassava varieties following whitefly-mediated SLCMV infection. Sci. Rep. 2023, 13, 13610. [Google Scholar] [CrossRef] [PubMed]
- Yactayo-Chang, J.P.; Mendoza, J.; Willms, S.D.; Rering, C.C.; Beck, J.J.; Block, A.K. Zea mays volatiles that influence oviposition and feeding behaviors of Spodoptera frugiperda. J. Chem. Ecol. 2021, 47, 799–809. [Google Scholar] [CrossRef] [PubMed]
- Bengtsson, M.; Jaastad, G.; Knudsen, G.; Kobro, S.; Bäckman, A.C.; Pettersson, E.; Witzgall, P. Plant volatiles mediate attraction to host and non-host plant in apple fruit moth, Argyresthia conjugella. Entomol. Exp. Appl. 2006, 118, 77–85. [Google Scholar] [CrossRef]
- Vuts, J.; Furlan, L.; Csonka, É.B.; Woodcock, C.M.; Caulfield, J.C.; Mayon, P.; Pickett, J.A.; Birkett, M.A.; Tóth, M. Development of a female attractant for the click beetle pest Agriotes brevis. Pest Manag. Sci. 2014, 70, 610–614. [Google Scholar] [CrossRef] [PubMed]
- Dong, Y.; Hwang, S. Cucumber plants baited with methyl salicylate accelerates Scymnus (Pullus) sodalis (Coleoptera: Coccinellidae) visiting to reduce cotton aphid (Hemiptera: Aphididae) infestation. J. Econ. Entomol. 2017, 110, 2092–2099. [Google Scholar] [CrossRef]
- Rowen, E.; Gutensohn, M.; Dudareva, N.; Kaplan, I. Carnivore attractant or plant elicitor? Multifunctional roles of methyl salicylate lures in tomato defense. J. Chem. Ecol. 2017, 43, 573–585. [Google Scholar] [CrossRef]
- Jumean, Z.; Ma, B.O.; Chubaty, A.M.; Ellenor, C.W.; Roitberg, B.D.; Gries, G. A Theoretical Approach to Study the Evolution of Aggregation Behavior by Larval Codling Moth, Cydia pomonella (Lepidoptera: Tortricidae). J. Insect Behav. 2011, 24, 249–263. [Google Scholar] [CrossRef]
- Shayestehmehr, H.; Karimzadeh, R.; Feizizadeh, B.; Iranipour, S. Spatial distribution of Cydia pomonella (Lepidoptera: Tortricidae) populations and its relation with topographic variables. Appl. Entomol. Zool. 2021, 56, 187–197. [Google Scholar] [CrossRef]
- Manjunath, A.; Chinmayi, G.V.A.; Renganathan, S.; Chandramohan, V.; Sabat, S. Antimicrobial activity of Geranyl acetate against cell wall synthesis proteins of P. aeruginosa and S. aureus using molecular docking and simulation. J. Biomol. Struct. Dyn. 2023, 42, 3030–3050. [Google Scholar] [CrossRef] [PubMed]
- Quintans-Júnior, L.; Moreira, J.C.; Pasquali, M.A.; Rabie, S.M.; Pires, A.S.; Schröder, R.; Rabelo, T.K.; Santos, J.P.; Lima, P.S.; Cavalcanti, S.C.; et al. Antinociceptive Activity and Redox Profile of the Monoterpenes (+)-Camphene, p-Cymene, and Geranyl Acetate in Experimental Models. ISRN Toxicol. 2013, 2013, 459530. [Google Scholar] [CrossRef] [PubMed]
- de Brito, G.A.; Rocha de Oliveira, P.F.; de Andrade Silva, C.M.; de Araújo Neto, M.F.; Leite, F.H.A.; Mesquita, P.R.R.; Mota, T.F.; Magalhães-Junior, J.T. Identification of bioactive compounds against Aedes aegypti (Diptera: Culicidae) by bioassays and in silico assays. Chem. Biodivers. 2021, 18, e2100242. [Google Scholar] [CrossRef] [PubMed]
- Pinto-Zevallos, D.M.; Strapasson, P.; Zarbin, P.H. Herbivore-induced volatile organic compounds emitted by maize: Electrophysiological responses in Spodoptera frugiperda females. Phytochem. Lett. 2016, 16, 70–74. [Google Scholar] [CrossRef]
- Xi, B.-N.; Zhang, J.-J.; Xu, X.; Li, C.; Shu, Y.; Zhang, Y.; Shi, X.; Shen, Y. Characterization and metabolism pathway of volatile compounds in walnut oil obtained from various ripening stages via HS-GC-IMS and HS-SPME-GC–MS. Food Chem. 2024, 435, 137547. [Google Scholar] [CrossRef] [PubMed]
- Sun, L.; Qi, Y.; Meng, M.; Cui, K. Comparative Study on the Volatile Organic Compounds and Characteristic Flavor Fingerprints of Five Varieties of Walnut Oil in Northwest China Using Using Headspace Gas Chromatography-Ion Mobility Spectrometry. Molecules 2023, 28, 2949. [Google Scholar] [CrossRef]
- Caratti, A.; Squara, S.; Stilo, F.; Battaglino, S.; Liberto, E.; Cincera, I.; Genova, G.; Spigolon, N.; Bicchi, C.; Cordero, C. Integrated Strategy for Informative Profiling and Accurate Quantification of Key-Volatiles in Dried Fruits and Nuts: An Industrial Quality Control Perspective. Foods 2022, 11, 3111. [Google Scholar] [CrossRef]
- Blažytė-Čereškienė, L.; Aleknavičius, D.; Apšegaitė, V.; Būda, V. Response of Parasitic Wasp Cotesia glomerata L. (Hymenoptera: Braconidae) to Cabbage Plants of Two Varieties: Olfactory Spectra of Males and Females. J. Econ. Entomol. 2022, 115, 1464–1471. [Google Scholar] [CrossRef]
- Uefune, M.; Shiojiri, K.; Takabayashi, J. Oviposition of diamondback moth Plutella xylostella females is affected by herbivore-induced plant volatiles that attract the larval parasitoid Cotesia vestalis. Arthropod-Plant Interact. 2017, 11, 235–239. [Google Scholar] [CrossRef]
- Xu, H.; Zhou, G.; Dötterl, S.; Schäffler, I.; Degen, T.; Chen, L.; Turlings, T.C. Distinct roles of cuticular aldehydes as pheromonal cues in two Cotesia parasitoids. J. Chem. Ecol. 2020, 46, 128–137. [Google Scholar] [CrossRef] [PubMed]
- Zhang, S.; Wang, X.; Wang, G.; Liu, F.; Liu, Y. An odorant receptor of the green mirid bug, Apolygus lucorum, tuned to linalool. Insect Biochem. Mol. Biol. 2022, 144, 103764. [Google Scholar] [CrossRef] [PubMed]
- Kheloul, L.; Kellouche, A.; Bréard, D.; Gay, M.; Gadenne, C.; Anton, S. Trade-off between attraction to aggregation pheromones and repellent effects of spike lavender essential oil and its main constituent linalool in the flour beetle Tribolium Confusum. Entomol. Exp. Appl. 2019, 167, 826–834. [Google Scholar] [CrossRef]
- Papanastasiou, S.A.; Ioannou, C.S.; Papadopoulos, N.T. Oviposition-deterrent effect of linalool–a compound of citrus essential oils–on female Mediterranean fruit flies, Ceratitis capitata (Diptera: Tephritidae). Pest Manag. Sci. 2020, 76, 3066–3077. [Google Scholar] [CrossRef] [PubMed]
- Song, C.; Ma, L.; Zhao, J.; Xue, Z.; Yan, X.; Hao, C. Electrophysiological and behavioral responses of Plutella xylostella (Lepidoptera: Plutellidae) to volatiles from a non-host plant, geranium, pelargonium × hortorum (Geraniaceae). J. Agric. Food Chem. 2022, 70, 5982–5992. [Google Scholar] [CrossRef] [PubMed]
- Skirkevicius, A.; Tatjanskaite, L. The 24-hour rhythm of activity of the adults of the codling moth (Carpocapsa pomonella L.). Acta Entomol. Litu. 1970, 1, 99–104. [Google Scholar]
- Cui, X.; Liu, D.; Sun, K.; He, Y.; Shi, X. Expression profiles and functional characterization of two odorant-binding proteins from the apple buprestid beetle Agrilus mali (Coleoptera: Buprestidae). J. Econ. Entomol. 2018, 111, 1420–1432. [Google Scholar] [CrossRef] [PubMed]
- Bengtsson, J.M.; Trona, F.; Montagné, N.; Anfora, G.; Ignell, R.; Witzgall, P.; Jacquin-Joly, E. Putative chemosensory receptors of the codling moth, Cydia pomonella, identified by antennal transcriptome analysis. PLoS ONE 2012, 7, e31620. [Google Scholar] [CrossRef]
- Cattaneo, A.M. Current status on the functional characterization of chemosensory receptors of Cydia pomonella (Lepidoptera: Tortricidae). Front. Behav. Neurosci. 2018, 12, 189. [Google Scholar] [CrossRef]





| No. | RI | Chemical Formula | CAS No. | Compound | Relative Content (%) | ||
|---|---|---|---|---|---|---|---|
| Leaf | Fruit | Branch | |||||
| 1 | 722 | C7H14 | 108-87-2 | Methylcyclohexane | 0.43 | 1.31 | nd |
| 2 | 786 | C7H8 | 108-88-3 | Toluene | 0.78 | 2.95 | nd |
| 3 | 802 | C8H18 | 111-65-9 | Octane | nd | nd | 11.01 |
| 4 | 824 | C9H20 | 2213-23-2 | 2,4-Dimethylheptane | nd | 2.54 | nd |
| 5 | 876 | C8H18O | 142-96-1 | Butyl ether | 0.72 | nd | nd |
| 6 | 878 | C8H8 | 100-42-5 | Styrene | 0.46 | 1.58 | nd |
| 7 | 881 | C7H14O | 111-71-7 | Heptaldehyde | nd | 1.26 | nd |
| 8 | 936 | C10H16 | 80-56-8 | α-Pinene | 0.41 | nd | nd |
| 9 | 974 | C10H16 | 127-91-3 | β-Pinene | 3.55 | 3.2 | 4.13 |
| 10 | 989 | C10H16 | 123-35-3 | Myrcene | 1.15 | 1.68 | 0.9 |
| 11 | 992 | C8H14O2 | 3681-71-8 | Hexenyl acetate | 25.41 | nd | nd |
| 12 | 994 | C12H26 | 13475-82-6 | 2,2,4,6,6-Pentamethyl-heptane | 0.44 | nd | 0.68 |
| 13 | 997 | C10H16 | 99-83-2 | α-Phellandrene | 0.63 | nd | 0.51 |
| 14 | 1015 | C10H22 | 124-18-5 | Decane | nd | nd | 1.7 |
| 15 | 1020 | C10H16 | 555-10-2 | β-Phellandrene | 0.69 | nd | 1.44 |
| 16 | 1024 | C10H16 | 5989-27-5 | Limonene | 10.54 | 8.92 | 10.66 |
| 17 | 1032 | C10H18O | 470-82-6 | Eucalyptol | 0.12 | 0.11 | 0.66 |
| 18 | 1039 | C10H16 | 13877-91-3 | β-Ocimene | 5.85 | 3.75 | 1.75 |
| 19 | 1080 | C10H14 | 99-87-6 | p-Cymene | 2.12 | 2.09 | 2.45 |
| 20 | 1086 | C10H18O | 78-70-6 | Linalool | 1.09 | 1.43 | 4.15 |
| 21 | 1099 | C9H18O | 124-19-6 | Nonanal | 1.2 | 5.81 | 1.79 |
| 22 | 1123 | C11H18 | 19945-61-0 | (3E)-4,8-Dimethylnona-1,3,7-triene | 8.58 | nd | 3.66 |
| 23 | 1131 | C10H16O | 1753-35-1 | 3(10)-Caren-4-ol | nd | nd | 0.66 |
| 24 | 1135 | C10H16O | 473-67-6 | Berbenol | 2.12 | nd | nd |
| 25 | 1138 | C12H26 | 1002-17-1 | 2,9-Dimethyl-decane | 0.54 | 2.76 | nd |
| 26 | 1141 | C10H14O | 30460-92-5 | Pinocarvon | 0.78 | nd | 0.54 |
| 27 | 1160 | C10H20O | 2216-51-5 | L-Menthol | 0.35 | nd | 1.42 |
| 28 | 1162 | C10H20O | 98167-53-4 | (−)-Menthyl alcohol | 0.6 | nd | nd |
| 29 | 1163 | C10H14O | 1197-01-9 | p-Cymen-8-ol | 0.95 | nd | nd |
| 30 | 1173 | C12H26 | 1002-43-3 | 3-Methylundecane | 0.24 | nd | 1.22 |
| 31 | 1175 | C8H8O3 | 119-36-8 | Methyl salicylate | 1.48 | 6.53 | nd |
| 32 | 1176 | C10H18O | 98-55-5 | α-Terpineol | nd | nd | 1.09 |
| 33 | 1177 | C10H16O | 6712-79-4 | Isopinocarveol | 1.35 | nd | nd |
| 34 | 1215 | C12H26 | 112-40-3 | Dodecane | 3.76 | 5.11 | nd |
| 35 | 1218 | C10H14O | 99-49-0 | Carvone | 0.49 | 6.7 | 0.86 |
| 36 | 1264 | C15H32 | 31295-56-4 | 2,6,11-Trimethydodecane | 0.37 | nd | nd |
| 37 | 1279 | C11H10 | 91-57-6 | 2-Methylnaphthalene | nd | 4.39 | nd |
| 38 | 1312 | C13H28 | 629-50-5 | Tridecane | 4.29 | 14.28 | 4.47 |
| 39 | 1330 | C12H24 | 294-62-2 | Cyclododecan | 2.72 | nd | nd |
| 40 | 1339 | C14H22 | 61227-89-2 | 5,7-Diethyl-5,6-decadien-3-yne | 1.68 | nd | 1.1 |
| 41 | 1343 | C12H20O2 | 141-12-8 | Neryl acetate | nd | nd | 0.57 |
| 42 | 1361 | C12H20O2 | 105-87-3 | Geranyl acetate | nd | 2.63 | nd |
| 43 | 1377 | C15H32 | 3891-98-3 | 2,6,10-Trimethyl-dodecane | 0.77 | 4.03 | nd |
| 44 | 1412 | C12H10 | 827-54-3 | 2-Vinylnaphthalene | 1.67 | nd | nd |
| 45 | 1413 | C14H30 | 629-59-4 | Tetradecane | 1.71 | 1.21 | 1.73 |
| 46 | 1425 | C10H16 | 36144-40-8 | 1-Butenylidene-cyclohexane | nd | nd | 2.38 |
| 47 | 1448 | C15H24 | 18794-84-8 | (E)-β-Farnesene | 1.38 | 2.79 | 2.18 |
| 48 | 1475 | C15H22 | 644-30-4 | α-Curcumene | nd | nd | 1.56 |
| 49 | 1479 | C15H24 | 23986-74-5 | Germacrene D | 7.49 | 2.03 | 15.48 |
| 50 | 1491 | C15H24O | 128-37-0 | Butylated hydroxytoluene | nd | 2.51 | 18.54 |
| 51 | 1495 | C15H24 | 502-61-4 | α-Farnesene | 0.62 | nd | nd |
| 52 | 1555 | C13H28 | 17312-57-1 | 3-Methyl-dodecane | nd | 3.22 | nd |
| 53 | 1866 | C8H16 | 1647-08-1 | 4,4-Dimethyl-1-hexene | nd | 1.46 | nd |
| 54 | 1923 | C16H22O4 | 84-74-2 | Dibutyl phthalate | 0.48 | 3.72 | 0.71 |
| Compound | EAG | Olfactory Response | |||||
|---|---|---|---|---|---|---|---|
| F | df | sig. | chi-square | df | p | ||
| myrcene | female | 66.960 | 4 | <0.01 | 15.000 | 3 | 0.002 |
| male | 29.553 | 4 | <0.01 | 14.755 | 3 | 0.002 | |
| β-ocimene | female | 5.362 | 4 | <0.05 | 15.000 | 3 | 0.002 |
| male | 30.092 | 4 | <0.01 | 13.653 | 3 | 0.003 | |
| α-farnesene | female | 15.576 | 4 | <0.01 | 13.776 | 3 | 0.003 |
| male | 11.087 | 4 | <0.01 | 13.250 | 3 | 0.004 | |
| heptaldehyde | female | 87.935 | 4 | <0.01 | 11.816 | 3 | 0.008 |
| male | 52.706 | 4 | <0.01 | 14.040 | 3 | 0.003 | |
| geranyl acetate | female | 17.749 | 4 | <0.01 | 13.080 | 3 | 0.004 |
| male | 9.039 | 4 | <0.01 | 14.755 | 3 | 0.002 | |
| methyl salicylate | female | 4.503 | 4 | <0.05 | 13.562 | 3 | 0.004 |
| male | 5.178 | 4 | <0.05 | 13.653 | 3 | 0.003 | |
| linalool | female | 8.956 | 4 | <0.01 | 10.340 | 3 | 0.016 |
| male | 9.766 | 4 | <0.01 | 10.714 | 3 | 0.013 | |
| eucalyptol | female | 12.414 | 4 | <0.01 | 14.125 | 3 | 0.003 |
| male | 34.361 | 4 | <0.01 | 13.174 | 3 | 0.004 | |
| nonanal | female | 86.478 | 4 | <0.01 | 13.560 | 3 | 0.004 |
| male | 76.42 | 4 | <0.01 | 12.437 | 3 | 0.006 | |
| pear ester | female | 73.539 | 4 | <0.01 | 14.040 | 3 | 0.003 |
| male | 4.546 | 4 | <0.05 | 15.000 | 3 | 0.002 | |
| butyl hexanoate | female | 22.638 | 4 | <0.01 | 14.040 | 3 | 0.003 |
| male | 29.471 | 4 | <0.01 | 15.000 | 3 | 0.002 | |
Disclaimer/Publisher’s Note: The statements, opinions and data contained in all publications are solely those of the individual author(s) and contributor(s) and not of MDPI and/or the editor(s). MDPI and/or the editor(s) disclaim responsibility for any injury to people or property resulting from any ideas, methods, instructions or products referred to in the content. |
© 2024 by the authors. Licensee MDPI, Basel, Switzerland. This article is an open access article distributed under the terms and conditions of the Creative Commons Attribution (CC BY) license (https://creativecommons.org/licenses/by/4.0/).
Share and Cite
Li, P.; Wei, Y.; Chen, G.; Sattar, A. Perceptual Effects of Walnut Volatiles on the Codling Moth. Insects 2024, 15, 402. https://doi.org/10.3390/insects15060402
Li P, Wei Y, Chen G, Sattar A. Perceptual Effects of Walnut Volatiles on the Codling Moth. Insects. 2024; 15(6):402. https://doi.org/10.3390/insects15060402
Chicago/Turabian StyleLi, Peixuan, Yang Wei, Guoxiang Chen, and Adil Sattar. 2024. "Perceptual Effects of Walnut Volatiles on the Codling Moth" Insects 15, no. 6: 402. https://doi.org/10.3390/insects15060402
APA StyleLi, P., Wei, Y., Chen, G., & Sattar, A. (2024). Perceptual Effects of Walnut Volatiles on the Codling Moth. Insects, 15(6), 402. https://doi.org/10.3390/insects15060402

