Does This Look Infected? Hidden Host Plant Infection by the Pathogen Botrytis cinerea Alters Interactions between Plants, Aphids and Their Natural Enemies in the Field
Simple Summary
Abstract
1. Introduction
2. Materials and Methods
2.1. Study System
2.2. Sentinel Experiment
2.3. Established Aphid Colony Experiment
2.4. Plant Traits
2.5. Assessing B. cinerea Infection
2.6. Statistical Analyses
3. Results
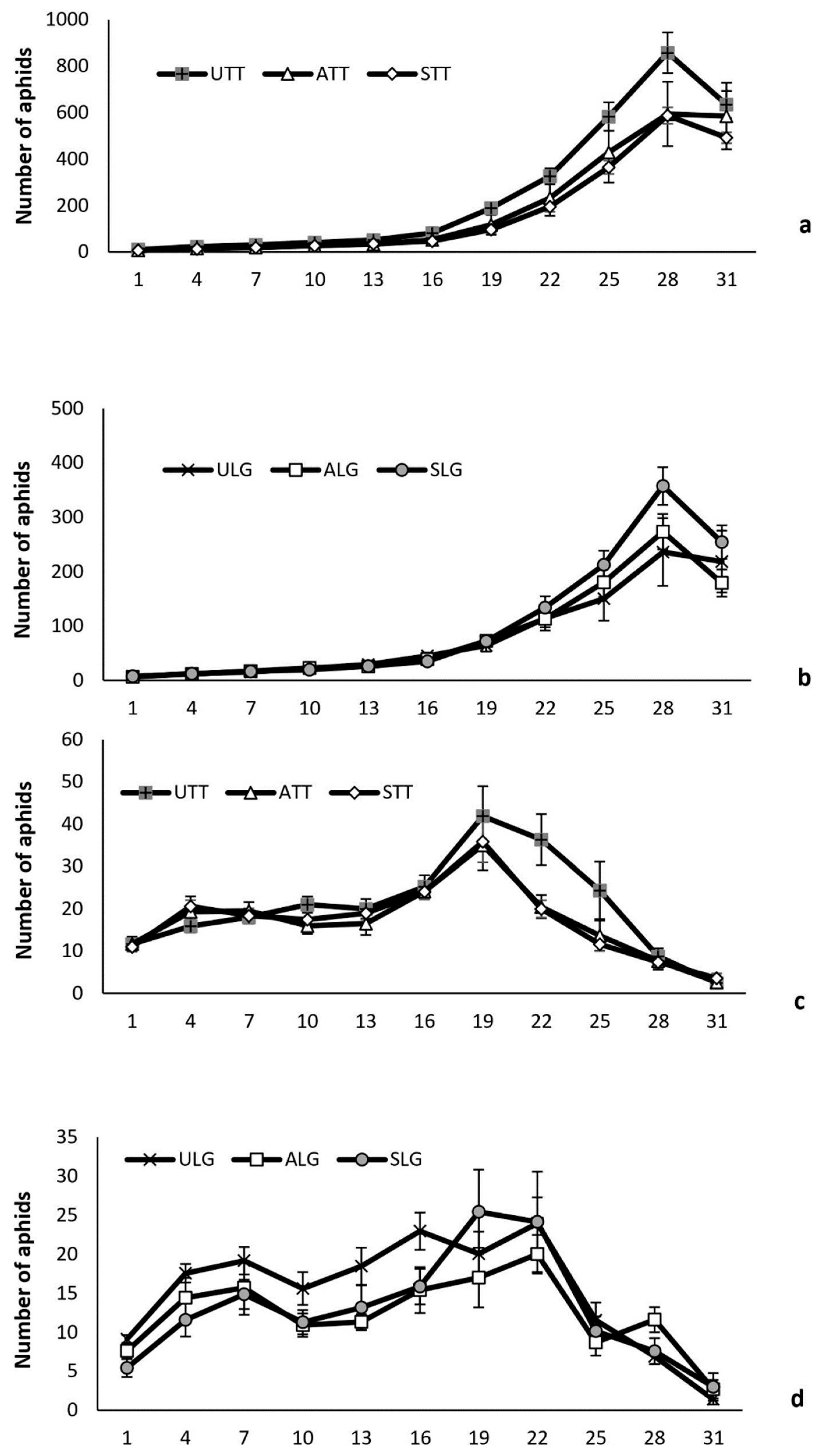
3.1. Sentinel Experiment
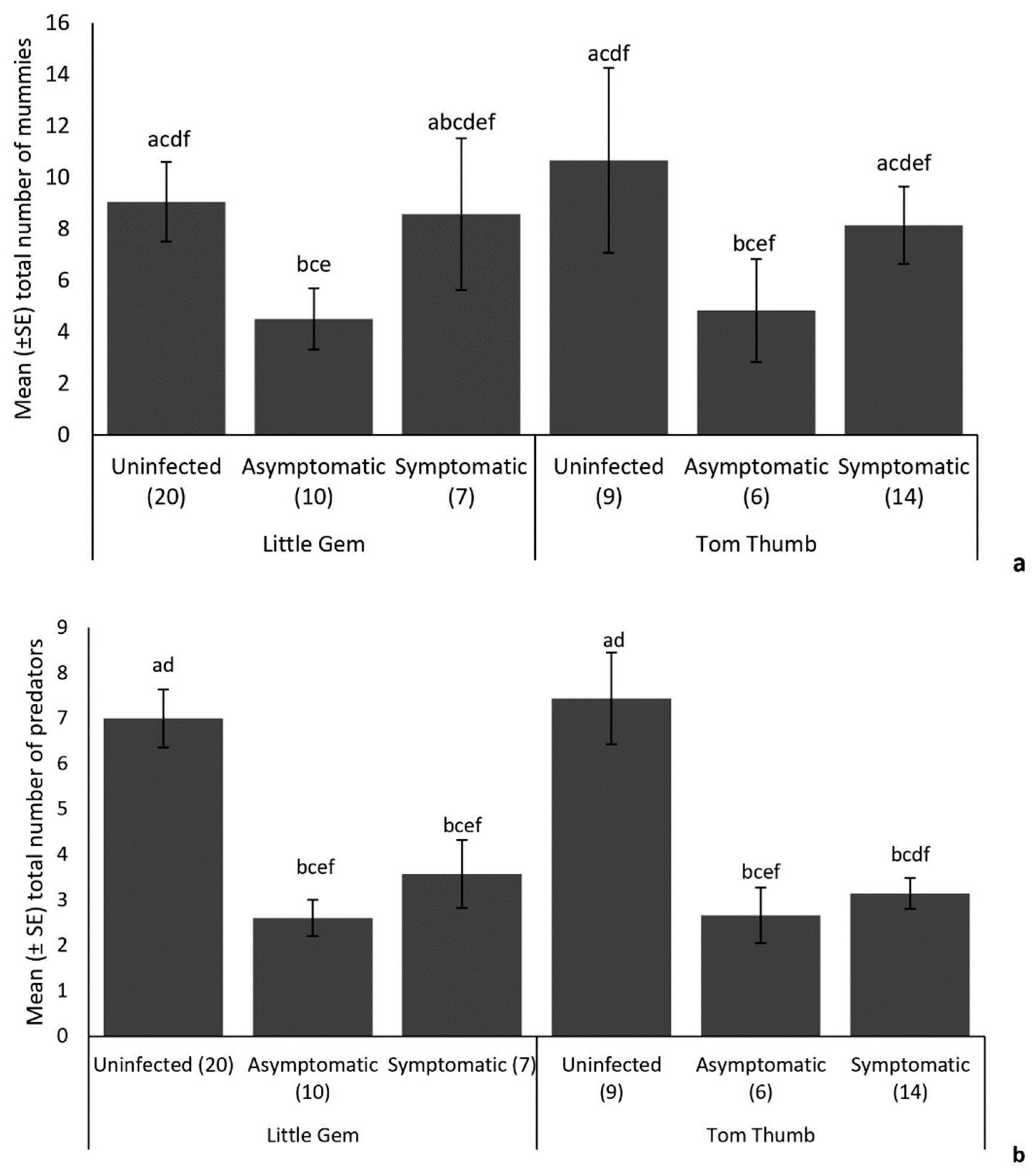
Natural Enemies
3.2. Established Aphid Colony Experiment
Natural Enemies
4. Discussion
5. Conclusions
Supplementary Materials
Author Contributions
Funding
Data Availability Statement
Acknowledgments
Conflicts of Interest
References
- Kumar, R.; Kumar Lal, M.; Prasad, P.; Tiwari, R.K. Current advancements in real-time plant pathogen diagnostics: From lab assays to in-field detection. Front. Plant Sci. 2023, 14, 1255654. [Google Scholar] [CrossRef] [PubMed]
- Mazumdar, P. Sclerotinia stem rot in tomato: A review on biology, pathogenicity, disease management and future research priorities. J. Plant Dis. Prot. 2021, 128, 1403–1431. [Google Scholar] [CrossRef]
- Martinelli, F.; Scalenghe, R.; Davino, S.; Panno, S.; Scuderi, G.; Ruisi, P.; Panno, S. Advanced methods of plant disease detection. Agron. Sustain. Dev. 2016, 3, 1–25. [Google Scholar] [CrossRef]
- Robert-Seilaniantz, A.; Grant, M.; Jones, J.D.G. Hormone crosstalk in plant disease and defense: More than just Jasmonate-Salicylate antagonism. Annu. Rev. Phytopathol. 2011, 49, 317–343. [Google Scholar] [CrossRef] [PubMed]
- Pieterse, C.M.J.; Van der Does, D.; Zamioudis, C.; Leon-Reyes, A.; Van Wees, S.C.M. Hormonal modulation of plant immunity. Annu. Rev. Cell Dev. Biol. 2012, 28, 489–521. [Google Scholar] [CrossRef] [PubMed]
- Barber, N.A.; Kiers, E.T.; Theis, N.; Hazzard, R.V.; Adler, L.S. Linking agricultural practices, mycorrhizal fungi, and traits mediating plant-insect interactions. Ecol. Appl. Publ. Ecol. Soc. Am. 2013, 23, 1519–1530. Available online: http://www.ncbi.nlm.nih.gov/pubmed/24261037 (accessed on 19 April 2023). [CrossRef] [PubMed]
- Overmyer, K.; Brosché, M.; Kangasjärvi, J. Reactive oxygen species and hormonal control of cell death. Trends Plant Sci. 2003, 8, 335–342. [Google Scholar] [CrossRef] [PubMed]
- Gimenez-Ibanez, S.; Solano, R. Nuclear jasmonate and salicylate signaling and crosstalk in defense against pathogens. Front. Plant Sci. 2013, 4, 72. [Google Scholar] [CrossRef] [PubMed]
- Yang, Y.; Ahammed, G.; Wu, C.; Fan, S.; Zhou, Y. Crosstalk among Jasmonate, Salicylate and Ethylene signaling pathways in plant disease and immune responses. Curr. Protein Pept. Sci. 2015, 16, 450–461. [Google Scholar] [CrossRef]
- Elad, Y.; Williamson, B.; Tudzynski, P.; Delen, N. Botrytis: Biology, Pathology and Control; Elad, Y., Williamson, B., Tudzynski, P., Delen, N., Eds.; Kluwer Academic Publishers: Dordrecht, The Netherlands, 2004. [Google Scholar]
- Ribera, A.E.; Zuñiga, G. Induced plant secondary metabolites for phytopatogenic fungi control: A review. J. Soil Sci. Plant Nutr. 2012, 12, 893–911. [Google Scholar] [CrossRef]
- Pusztahelyi, T.; Holb, I.J.; Pocsi, I. Secondary metabolites in fungus-plant interactions. Front. Plant Sci. 2015, 6, 573. [Google Scholar] [CrossRef]
- Bruce, T.J.A. Variation in plant responsiveness to defense elicitors caused by genotype and environment. Front. Plant Sci. 2014, 5, 349. [Google Scholar] [CrossRef] [PubMed]
- Rashed, A.; Kwan, J.; Baraff, B.; Ling, D.; Daugherty, M.P.; Killiny, N.; Almeida, R.P.P. Relative susceptibility of Vitis vinifera cultivars to vector-borne Xylella fastidiosa through time. PLoS ONE 2013, 8, e55326. [Google Scholar] [CrossRef]
- Ngah, N.; Thomas, R.L.; Shaw, M.W.; Fellowes, M.D.E. Asymptomatic host plant infection by the widespread pathogen Botrytis cinerea alters the life histories, behaviors, and interactions of an aphid and its natural enemies. Insects 2018, 9, 80. [Google Scholar] [CrossRef]
- Tack, A.J.M.; Dicke, M. Plant pathogens structure arthropod communities across multiple spatial and temporal scales. Funct. Ecol. 2013, 27, 633–645. [Google Scholar] [CrossRef]
- Felton, G.W.; Tumlinson, J.H. Plant-insect dialogs: Complex interactions at the plant-insect interface. Curr. Opin. Plant Biol. 2008, 11, 457–463. [Google Scholar] [CrossRef]
- Beyaert, I.; Hilker, M. Plant odour plumes as mediators of plant-insect interactions. Biol. Rev. 2014, 89, 68–81. [Google Scholar] [CrossRef]
- Kaplan, I.; Denno, R.F. Review in interspecific interactions in phytophagous insects revisited: A quantitative assessment of competition theory. Ecol. Lett. 2007, 10, 977–994. [Google Scholar] [CrossRef] [PubMed]
- Zhong, Z.W.; Li, X.F.; Wang, D.L. Research progresses of plant-herbivore interactions. Chin. J. Plant Ecol. 2021, 45, 1036. [Google Scholar] [CrossRef]
- Trębicki, P.; Dáder, B.; Vassiliadis, S.; Fereres, A. Insect–plant–pathogen interactions as shaped by future climate: Effects on biology, distribution, and implications for agriculture. Insect Sci. 2017, 24, 975–989. [Google Scholar] [CrossRef]
- Veloso, J.; van Kan, J.A. Many shades of grey in Botrytis–host plant interactions. Trends Plant Sci. 2018, 23, 613–622. [Google Scholar] [CrossRef] [PubMed]
- Zhao, Y.; Vlasselaer, L.; Ribeiro, B.; Terzoudis, K.; Van den Ende, W.; Hertog, M.; De Coninck, B. Constitutive defense mechanisms have a major role in the resistance of woodland strawberry leaves against Botrytis cinerea. Front. Plant Sci. 2022, 13, 912667. [Google Scholar] [CrossRef] [PubMed]
- Glazebrook, J. Contrasting mechanisms of defense against biotrophic and necrotrophic pathogens. Annu. Rev. Phytopathol. 2005, 43, 205–227. [Google Scholar] [CrossRef] [PubMed]
- van Loon, L.C.; Rep, M.; Pieterse, C.M.J. Significance of inducible defense-related proteins in infected plants. Annu. Rev. Phytopathol. 2006, 44, 135–162. [Google Scholar] [CrossRef] [PubMed]
- Al-Naemi, F.; Hatcher, P.E. Contrasting effects of necrotrophic and biotrophic plant pathogens on the aphid Aphis fabae. Entomol. Exp. Et Appl. 2013, 148, 234–245. [Google Scholar] [CrossRef]
- Mouttet, R.; Bearez, P.; Thomas, C.; Desneux, N. Phytophagous arthropods and a pathogen sharing a host plant: Evidence for indirect plant-mediated interactions. PLoS ONE 2011, 6, e18840. [Google Scholar] [CrossRef] [PubMed]
- Desneux, N.; Mouttet, R.; Bearez, P.; Poncet, C. Indirect two-way interactions between aphids and a pathogen on roses. Acta Hortic. 2012, 927, 237–244. [Google Scholar] [CrossRef]
- Pruter, C.; Zebitz, C.P.W. Effects of Aphis fabae and Uromyces viciae-favae on the growth of a susceptible and an aphid resistant cultivar of Vicia faba. Ann. Appl. Biol. 1991, 119, 215–226. [Google Scholar] [CrossRef]
- Zebitz, C.P.W.; Kehlenbeck, H. Performance of Aphis fabae on chocolate spot disease-infected faba bean plants. Phytoparasitica 1991, 19, 113–119. [Google Scholar] [CrossRef]
- Mondy, N.; Corio-Costet, M.F. Feeding insects with a phytopathogenic fungus influences their diapause and population dynamics. Ecol. Entomol. 2004, 29, 711–717. [Google Scholar] [CrossRef]
- Shaw, M.W.; Emmanuel, C.J.; Emilda, D.; Terhem, R.B.; Shafia, A.; Tsamaidi, D.; van Kan, J.A.L. Analysis of cryptic, systemic Botrytis infections in symptomless hosts. Front. Plant Sci. 2016, 7, 625. [Google Scholar] [CrossRef]
- Barnes, S.E.; Shaw, M.W. Factors affecting symptom production by latent Botrytis cinerea in Primula × polyantha. Plant Pathol. 2002, 51, 746–754. [Google Scholar] [CrossRef]
- Barnes, S.E.; Shaw, M.W. Infection of commercial hybrid primula seed by Botrytis cinerea and latent disease spread through the plants. Phytopathology 2003, 93, 573–578. [Google Scholar] [CrossRef]
- Sowley, E.N.K.; Dewey, F.M.; Shaw, M.W. Persistent, symptomless, systemic, and seed-borne infection of lettuce by Botrytis cinerea. Eur. J. Plant Pathol. 2009, 126, 61–71. [Google Scholar] [CrossRef]
- Donmez, M.F.; Esitken, A.; Yildiz, H.; Ercisli, S. Biocontrol of Botrytis cinerea on strawberry fruit by plant growth promoting bacteria. J. Anim. Plant Sci. 2011, 21, 758–763. [Google Scholar]
- Xiao, C.L.; Chandler, C.K.; Price, J.F.; Duval, J.R.; Mertely, J.C.; Legard, D.E. Comparison of epidemics of Botrytis fruit rot and powdery mildew of strawberry in large plastic tunnel and field production systems. Plant Dis. 2001, 85, 901–909. [Google Scholar] [CrossRef]
- Blanco-Ulate, B.; Allen, G.; Powell, A.L.T.; Cantu, D. Draft genome sequence of Botrytis cinerea BcDW1, inoculum for noble rot of grape berries. Genome Announc. 2013, 1, e00252-13. [Google Scholar] [CrossRef] [PubMed]
- Gabler, F.M.; Smilanick, J.L.; Mansour, M.; Ramming, D.W.; Mackey, B.E. Correlations of morphological, anatomical, and chemical features of grape berries with resistance to Botrytis cinerea. Phytopathology 2003, 93, 1263–1273. [Google Scholar] [CrossRef] [PubMed]
- Lorenzini, M.; Azzolini, M.; Tosi, E.; Zapparoli, G. Postharvest grape infection of Botrytis cinerea and its interactions with other moulds under withering conditions to produce noble-rotten grapes. J. Appl. Microbiol. 2013, 114, 762–770. [Google Scholar] [CrossRef]
- Caseys, C.; Shi, G.; Soltis, N.; Gwinner, R.; Corwin, J.; Atwell, S.; Kliebenstein, D. Quantitative interactions: The disease outcome of Botrytis cinerea across the plant kingdom. G3 2021, 11, 175. [Google Scholar] [CrossRef]
- Kuroyanagi, T.; Bulasag, A.; Fukushima, K.; Ashida, A.; Suzuki, T.; Tanaka, A.; Takemoto, D. Botrytis cinerea identifies host plants via the recognition of antifungal capsidiol to induce expression of a specific detoxification gene. PNAS Nexus 2022, 1, 274. [Google Scholar] [CrossRef] [PubMed]
- Bika, R.; Baysal-Gurel, F.; Jennings, C. Botrytis cinerea management in ornamental production: A continuous battle. Can. J. Plant Pathol. 2020, 43, 345–365. [Google Scholar] [CrossRef]
- Hua, L.; Yong, C.; Zhanquan, Z.; Boqiang, L.; Guozheng, Q.; Shiping, T. Pathogenic mechanisms and control strategies of Botrytis cinerea causing post-harvest decay in fruits and vegetables. Food Qual. Saf. 2018, 2, 111–119. [Google Scholar] [CrossRef]
- Kan, J.; Shaw, M.; Grant-Downton, R. Botrytis species: Relentless necrotrophic thugs or endophytes gone rogue? Mol. Plant Pathol. 2014, 15, 957–961. [Google Scholar] [CrossRef] [PubMed]
- Elad, Y.; Williamson, B.; Tudzynski, P.; Delen, N. Botrytis spp. and diseases they cause in agricultural systems—An introduction. In Botrytis: Biology, Pathology and Control; Elad, N.D.Y., Williamson, B., Tudzynski, P., Eds.; Springer: Dordrecht, The Netherlands, 2007; pp. 1–8. [Google Scholar] [CrossRef]
- Edwards, S.G.; Seddon, B. Selective media for the specific isolation and enumeration of Botrytis cinerea conidia. Lett. Appl. Microbiol. 2003, 32, 63–66. [Google Scholar] [CrossRef] [PubMed]
- R Core Team. R: A Language and Environment for Statistical Computing; R Foundation for Statistical Computing: Vienna, Austria, 2017; Available online: https://www.r-project.org/ (accessed on 1 February 2017).
- Fournier, D.A.; Skaug, H.J.; Ancheta, J.; Ianelli, J.; Magnusson, A.; Maunder, M.N.; Sibert, J. AD Model Builder: Using automatic differentiation for statistical inference of highly parameterized complex nonlinear models. Optim. Methods Softw. 2012, 27, 233–249. [Google Scholar] [CrossRef]
- Crawley, M.J. The R Book, 2nd ed.; John Wiley and Sons, Ltd.: West Sussex, UK, 2014. [Google Scholar]
- Bates, D.M.; Maechler, M.; Bolker, B.; Walker, S.; Christensen, R.H.B. Linear Mixed-Effects Models Using “Eigen” and S4. 2019. Available online: https://cran.r-project.org/web/packages/lme4/lme4.pdf (accessed on 1 February 2017).
- Oksanen, J. Vegan: Ecological diversity. Community Ecol. Package 2017, 10, 631–637. [Google Scholar]
- Vaughan, I.P.; Gotelli, N.J.; Memmott, J.; Pearson, C.E.; Woodward, G.; Symondson, W.O.C.; Vaughan, I.P. Econullnetr: An r package using null models to analyse the structure of ecological networks and identify resource selection. Methods Ecol. Evol. 2018, 9, 728–733. [Google Scholar] [CrossRef]
- Biljana, B.; Aca, M. Correlation between nitrogen and chlorophyll content in wheat (Triticum aestivum L.). Kragujev. J. Sci. 2009, 31, 69–74. [Google Scholar]
- Sadras, V.; Vázquez, C.; Garzo, E.; Moreno, A.; Medina, S.; Taylor, J.; Fereres, A. The role of plant labile carbohydrates and nitrogen on wheat-aphid relations. Sci. Rep. 2021, 11, 12529. [Google Scholar] [CrossRef]
- Müller, C.B.; Fellowes, M.D.E.; Godfray, H.C.J. Relative importance of fertiliser addition to plants and exclusion of predators for aphid growth in the field. Oecologia 2005, 143, 419–427. [Google Scholar] [CrossRef] [PubMed]
- Collins, C.M.; Fellowes, M.D.E.; Sage, R.B.; Leather, S.R. Host selection and performance of the giant willow aphid, Tuberolachnus salignus (Gmelin)—Implications for pest management. Agric. For. Entomol. 2001, 3, 183–189. [Google Scholar] [CrossRef]
- Singh, R.; Singh, G. Aphids. In Polyphagous Pests of Crops; Springer: Berlin/Heidelberg, Germany, 2021; pp. 105–182. [Google Scholar]
- Blande, J.D.; Pickett, J.A.; Poppy, G.M. Attack rate and success of the parasitoid Diaeretiella rapae on specialist and generalist feeding aphids. J. Chem. Ecol. 2004, 30, 1781–1795. [Google Scholar] [CrossRef] [PubMed]
- Silva, R.; Cividanes, F.; Pedroso, E.; Sala, S. Host quality of different aphid species for rearing Diaeretiella rapae. Neotrop. Entomol. 2011, 40, 477–482. [Google Scholar] [CrossRef] [PubMed]
- Buitenhuis, R.; Boivin, G.; Vet, L.E.M.; Brodeur, J. Preference and performance of the hyperparasitoid Syrphophagus aphidivorus (Hymenoptera: Encyrtidae): Fitness consequences of selecting hosts in live aphids or aphid mummies. Ecol. Entomol. 2004, 29, 648–656. [Google Scholar] [CrossRef]
- Fellowes, M.D.E.; van Alphen, J.J.M.; Jervis, M.A. Foraging behaviour. In Insects as Natural Enemies: A Practical Perspective; Jervis, M.A., Ed.; Springer: Dordrecht, The Netherlands, 2005; pp. 1–71. [Google Scholar]
- Ode, P.J.; Hopper, K.R.; Coll, M. Oviposition vs. offspring fitness in Aphidius colemani parasitizing different aphid species. Entomol. Exp. Et Appl. 2005, 115, 303–310. [Google Scholar] [CrossRef]
- Sadeghi, H.; Gilbert, F. Aphid suitability and its relationship to oviposition preference in predatory hoverflies. J. Anim. Ecol. 2000, 69, 771–784. [Google Scholar] [CrossRef]
- Venzon, M.; Janssen, A.; Sabelis, M.W. Prey preference and reproductive success of the generalist predator Orius laevigatus. Oikos 2002, 97, 116–124. [Google Scholar] [CrossRef]
- Frechette, B.; Dixon, A.F.G.; Alauzet, C.; Hemptinne, J.L. Age and experience influence patch assessment for oviposition by an insect predator. Ecol. Entomol. 2004, 29, 578–583. [Google Scholar] [CrossRef]
- Francis, F.; Lognay, G.; Haubruge, E. Olfactory responses to aphid and host plant volatile releases: (E)-B-Farnesene an effective kairomone for the predator Adalia bipunctata. J. Chem. Ecol. 2004, 30, 741–755. [Google Scholar] [CrossRef]
- Schellhorn, N.A.; Andow, D.A. Response of coccinellids to their aphid prey at different spatial scales. Popul. Ecol. 2005, 47, 71–76. [Google Scholar] [CrossRef]
- Almohamad, R.; Verheggen, F.; Francis, F.; Haubruge, E. Evaluation of hoverfly Episyrphus balteatus De Geer (Diptera: Syrphidae) oviposition behaviour toward aphid-infested plants using a leaf disc system. Commun. Agric. Appl. Biol. Sci. 2006, 71, 403–412. [Google Scholar] [PubMed]
- Srisakrapikoop, U.; Pirie, T.J.; Fellowes, M.D.E. Urbanization and plant pathogen infection interact to affect the outcome of ecological interactions in an experimental multitrophic system. J. Urban Ecol. 2022, 8, juab039. [Google Scholar] [CrossRef]
- Srisakrapikoop, U.; Pirie, T.J.; Fellowes, M.D.E. Meta-analysis suggests differing indirect effects of viral, bacterial, and fungal plant pathogens on the natural enemies of insect herbivores. Insects 2020, 11, 765. [Google Scholar] [CrossRef] [PubMed]
- Srisakrapikoop, U.; Pirie, T.J.; Fellowes, M.D.E. Aphids show inter- and intra-specific variation in life history responses to host plant infection by the fungal pathogen Botrytis cinerea. Entomol. Sci. 2021, 24, 228–234. [Google Scholar] [CrossRef]
- Lill, J.T.; Marquis, R.J.; Ricklefs, R.E. Host plants influence parasitism of forest caterpillars. Nature 2002, 417, 170–173. [Google Scholar] [CrossRef]
- Hunter, M.D. Effects of plant quality on the population ecology of parasitoids. Agric. For. Entomol. 2003, 5, 1–8. [Google Scholar] [CrossRef]
- Ponzio, C.; Gols, R.; Pieterse, C.M.J.; Dicke, M. Ecological and phytohormonal aspects of plant volatile emission in response to single and dual infestations with herbivores and phytopathogens. Funct. Ecol. 2013, 27, 587–598. [Google Scholar] [CrossRef]
- Cabot, C.; Gallego, B.; Martos, S.; Barceló, J.; Poschenrieder, C. Signal cross talk in Arabidopsis exposed to cadmium, silicon, and Botrytis cinerea. Planta 2013, 237, 337–349. [Google Scholar] [CrossRef]
- Donovan, M.P.; Nabity, P.D.; DeLucia, E.H. Salicylic acid-mediated reductions in yield in Nicotiana attenuata challenged by aphid herbivory. Arthropod-Plant Interact. 2012, 7, 45–52. [Google Scholar] [CrossRef]





| Plant Traits | Explanatory Variable | Coefficient t Value ± SE | p |
|---|---|---|---|
| atLEAF value | Intercept | 8.026 ± 3.569 | <0.001 |
| Variety | −3.040 ± 1.506 | 0.002 | |
| Uninfected | 4.946 ± 1.329 | <0.001 | |
| Symptomatic | −1.579 ± 1.596 | 0.116 | |
| Variety-Uninfected | −2.785 ± 1.886 | 0.006 | |
| Variety-Symptomatic | −1.249 ± 2.157 | 0.213 | |
| Shoot/root ratio | Intercept | 26.912 ± 0.065 | <0.001 |
| Variety | −0.244 ± 0.069 | 0.807 | |
| Uninfected | 6.540 ± 0.061 | <0.001 | |
| Symptomatic | −1.220 ± 0.073 | 0.224 | |
| Variety-Uninfected | −4.084 ± 0.087 | <0.001 | |
| Variety-Symptomatic | 1.840 ± 0.099 | 0.067 | |
| Dry weight (g) | Intercept | 19.884 ± 0.918 | <0.001 |
| Variety | −5.174 ± 0.771 | <0.001 | |
| Uninfected | −1.703 ± 0.680 | 0.090 | |
| Symptomatic | −1.333 ± 0.816 | 0.184 | |
| Variety-Uninfected | 1.532 ± 0.966 | 0.127 | |
| Variety-Symptomatic | 0.717 ± 1.104 | 0.474 | |
| Plant height (mm) | Intercept | 12.322 ± 11.418 | <0.001 |
| Variety | −11.414 ± 4.449 | <0.001 | |
| Uninfected | 5.927 ± 3.928 | <0.001 | |
| Symptomatic | 1.032 ± 4.717 | 0.303 | |
| Variety-Uninfected | −3.337 ± 5.573 | 0.001 | |
| Variety-Symptomatic | −2.164 ± 6.373 | 0.031 |
| Treatment | n | atLEAF Value | Plant Height (mm) | Dry Weight (g) | Shoot/Root Ratio |
|---|---|---|---|---|---|
| ULG | 42 | 34.511 ± 0.722 a | 161.683 ± 3.000 a | 17.254 ± 0.691 abc | 2.145 ± 0.073 a |
| ALG | 25 | 26.893 ± 0.794 bcd | 135.021 ± 5.403 bc | 18.639 ± 0.532 abc | 1.735 ± 0.033 bcdef |
| SLG | 20 | 27.826 ± 2.071 bcde | 151.038 ± 3.959 bc | 16.810 ± 0.505 abc | 1.688 ± 0.030 bcdef |
| UTT | 44 | 24.936 ± 0.821 bcde | 93.100 ± 2.420 de | 14.698 ± 0.253 def | 1.779 ± 0.010 bcdef |
| ATT | 22 | 23.156 ± 1.399 cde | 86.937 ± 3.100 def | 14.467 ± 0.423 def | 1.724 ± 0.017 bcdef |
| STT | 26 | 19.372 ± 1.452 f | 82.661 ± 2.985 ef | 13.861 ± 0.417 def | 1.831 ± 0.048 bcdef |
| Species | ULG (42) | ALG (25) | SLG (20) | UTT (44) | ATT (22) | STT (26) | Total |
|---|---|---|---|---|---|---|---|
| Aphids | Numbers of insects | ||||||
| Myzus persicae | 319 | 1252 | 81 | 1847 | 403 | 249 | 4151 |
| Myzus ornatus | 28 | 0 | 0 | 371 | 12 | 3 | 414 |
| Macrosiphum euphorbiae | 2173 | 1331 | 195 | 4469 | 818 | 204 | 9190 |
| Acyrthosiphon lactucae | 2702 | 1255 | 232 | 4737 | 2295 | 873 | 12,094 |
| Aphis fabae | 40 | 0 | 0 | 409 | 96 | 61 | 606 |
| Total | 5262 | 3838 | 508 | 11,833 | 3624 | 1390 | 26,455 |
| Parasitoids | |||||||
| Asaphes vulgaris | 6 | 2 | 0 | 28 | 3 | 0 | 39 |
| Alloxysta victrix | 19 | 2 | 0 | 41 | 3 | 1 | 66 |
| Dendrocerus carpenteri | 7 | 2 | 0 | 14 | 3 | 0 | 26 |
| Aphidius ervi | 37 | 12 | 1 | 75 | 8 | 3 | 136 |
| Diaeretiella rapae | 21 | 10 | 2 | 24 | 3 | 0 | 60 |
| Praon gallicum | 18 | 4 | 0 | 22 | 2 | 2 | 48 |
| Aphidius matricariae | 7 | 5 | 0 | 21 | 5 | 1 | 39 |
| Total | 115 | 37 | 3 | 225 | 27 | 7 | 414 |
| Predators | |||||||
| Harmonia axyridis | 4 | 1 | 0 | 2 | 2 | 1 | 10 |
| Propylea quattuordecimpunctata | 2 | 1 | 0 | 9 | 6 | 0 | 18 |
| Coccinella septempunctata | 8 | 0 | 0 | 13 | 1 | 1 | 23 |
| Episyrphus balteatus | 5 | 1 | 0 | 7 | 0 | 0 | 13 |
| Syrphus ribesii | 4 | 1 | 0 | 9 | 6 | 0 | 20 |
| Anthocoris sp. | 2 | 3 | 0 | 6 | 0 | 1 | 12 |
| Tachyporus sp. | 1 | 0 | 1 | 5 | 0 | 0 | 7 |
| Lacewing (Family: Chrysopidae) | 0 | 4 | 0 | 5 | 0 | 0 | 9 |
| Total | 26 | 11 | 1 | 56 | 15 | 3 | 112 |
| Insects | Explanatory Variable | Coefficient z Value ± SE | p |
|---|---|---|---|
| Aphids | Intercept | 3.171 ± 1.161 | 0.001 |
| Host plant variety | 0.893 ± 0.133 | 0.371 | |
| Uninfected | −0.162 ± 0.119 | 0.873 | |
| Symptomatic | −3.141 ± 0.166 | 0.001 | |
| Variety-Uninfected | 4.267 ± 0.168 | <0.001 | |
| Variety-Symptomatic | −0.981 ± 0.222 | 0.325 | |
| Parasitoid mummies | Intercept | −1.487 ± 0.375 | 0.137 |
| Host plant variety | 1.057 ± 0.295 | 0.290 | |
| Uninfected | 4.079 ± 0.204 | <0.001 | |
| Symptomatic | −3.162 ± 0.375 | 0.001 | |
| Aphid | 2.869 ± 0.001 | 0.004 | |
| Variety-Aphid | −1.474 ± 0.001 | 0.140 | |
| Predators | Intercept | −2.152 ± 0.905 | 0.031 |
| Host plant variety | 2.712 ± 0.277 | 0.006 | |
| Uninfected | 2.904 ± 0.288 | 0.003 | |
| Symptomatic | −1.900 ± 0.568 | 0.057 | |
| Aphid | −0.330 ± 0.001 | 0.741 |
| Plant Traits | Explanatory Variable | Coefficient t Value ± SE | p |
|---|---|---|---|
| Chlorophyll index | Intercept | 50.392 ± 0.045 | <0.001 |
| Variety | −16.721 ± 0.053 | <0.001 | |
| Plant exposure | −2.641 ± 0.050 | 0.009 | |
| Uninfected | 12.063 ± 0.048 | <0.001 | |
| Symptomatic | −3.018 ± 0.052 | 0.003 | |
| Variety–Plant exposure | 1.469 ± 0.074 | 0.144 | |
| Shoot/root ratio | Intercept | 0.374 ± 0.046 | 0.708 |
| Variety | −2.500 ± 0.090 | 0.013 | |
| Plant exposure | −6.663 ± 0.048 | 0.508 | |
| Uninfected | −0.539 ± 0.054 | 0.590 | |
| Symptomatic | −0.496 ± 0.069 | 0.620 | |
| Variety–Plant exposure | 2.951 ± 0.070 | 0.003 | |
| Variety–Uninfected | 1.075 ± 0.099 | 0.284 | |
| Variety–Symptomatic | 1.144± 0.104 | 0.254 | |
| Dry weight (g) | Intercept | 74.816 ± 0.062 | <0.001 |
| Variety | −7.176 ± 0.119 | <0.001 | |
| Plant exposure | −0.802 ± 0.063 | 0.424 | |
| Uninfected | 1.195 ± 0.072 | 0.243 | |
| Symptomatic | −2.00 ± 0.092 | 0.046 | |
| Variety–Plant exposure | 2.994 ± 0.093 | 0.003 | |
| Variety–Uninfected | −0.147 ± 0.131 | 0.883 | |
| Variety–Symptomatic | 1.548 ± 0.139 | 0.123 | |
| Plant height (mm) | Intercept | 43.112 ± 0.202 | <0.001 |
| Variety | −6.162 ± 0.389 | <0.001 | |
| Plant exposure | −2.807 ± 0.208 | 0.005 | |
| Uninfected | 0.234 ± 0.236 | 0.815 | |
| Symptomatic | 0.313 ± 0.301 | 0.754 | |
| Variety–Plant exposure | 2.195 ± 0.304 | 0.029 | |
| Variety–Uninfected | 0.598 ± 0.429 | 0.551 | |
| Variety–Symptomatic | −0.082 ± 0.453 | 0.935 |
| Treatment | Chlorophyll Index | Plant Growth (mm) | Dry Weight (g) | Shoot/Root Ratio |
|---|---|---|---|---|
| Protected from aphid natural enemies | ||||
| ULG | 8.841 ± 0.311 ag | 77.657 ± 3.912 abcghi | 23.200 ± 0.540 abcghi | 1.110 ± 0.066 abdef |
| ALG | 4.982 ± 0.233 bh | 77.525 ± 3.792 abcghi | 20.591 ± 0.696 abcghi | 0.964 ± 0.053 abdef |
| SLG | 4.390 ± 0.169 bcdhij | 76.832 ± 4.197 cghi | 19.431 ± 0.984 cghl | 0.921 ± 0.088 abdf |
| UTT | 4.330 ± 0.099 cdhij | 47.551 ± 2.981 defjkl | 14.736 ± 0.544 dikl | 0.873 ± 0.033 abde |
| ATT | 1.877 ± 0.130 efkl | 32.810 ± 1.719 defjkl | 15.076 ± 1.541 defjl | 0.787 ± 0.060 abdef |
| STT | 1.499 ± 0.089 efkl | 40.440 ± 1.725 defjkl | 14.583 ± 0.306 efjk | 0.900 ± 0.020 abdef |
| Exposed to aphid natural enemies | ||||
| ULG | 7.113 ± 0.443 ag | 68.823 ± 4.653 abcghi | 21.341 ± 0.753 abcghi | 0.900 ± 0.053 abdef |
| ALG | 5.063 ± 0.667 bcdhij | 65.955 ± 4.920 abc6ghi | 22.042 ± 0.613 abchghi | 1.111 ± 0.075 abdef |
| SLG | 4.847 ± 0.211 cdhij | 69.396 ± 4.800 abcghi | 20.023 ± 1.182 abdghijk | 1.051 ± 0.088 bcef |
| UTT | 3.711 ± 0.172 ij | 40.950 ± 1.745 defjkl | 17.021 ± 1.091 efijkl | 1.096 ± 0.093 adef |
| ATT | 2.165 ± 0.263 cdefhjkl | 46.680 ± 7.177 defjkl | 15.788 ± 0.723 dfijkl | 1.000 ± 0.080 abdef |
| STT | 1.539 ± 0.100 efkl | 43.167 ± 2.183 defjkl | 16.385 ± 0.447 edejkl | 1.058 ± 0.041 abdef |
| Explanatory Variable | numDF | F-Value | p |
|---|---|---|---|
| Intercept | 1 | 410.723 | <0.001 |
| Plant exposure | 1 | 7.335 | 0.006 |
| Plant status | 2 | 4.774 | 0.008 |
| Plant variety | 1 | 53.584 | <0.001 |
| Day | 10 | 107.291 | <0.001 |
| Plant exposure–Plant status | 2 | 2.749 | 0.064 |
| Plant exposure–Plant variety | 1 | 13.820 | 0.001 |
| Plant status–Plant variety | 2 | 21.739 | <0.001 |
| Plant exposure–Day | 10 | 85.900 | <0.001 |
| Plant status–Day | 20 | 1.384 | 0.119 |
| Plant variety–Day | 10 | 13.433 | <0.001 |
| Plant exposure–Plant status–Plant variety | 2 | 1.236 | 0.290 |
| Plant exposure–Plant status–Day | 20 | 1.079 | 0.364 |
| Plant exposure–Plant variety–Day | 10 | 15.465 | <0.001 |
| Plant status–Plant variety–Day | 20 | 1.830 | 0.0139 |
| Plant exposure–Plant status–Plant variety–Day | 20 | 1.806 | 0.0157 |
| Species | ULG (20) | ALG (10) | SLG (7) | UTT (9) | ATT (6) | STT (14) | Total |
|---|---|---|---|---|---|---|---|
| Parasitoids | Number of insects | ||||||
| Asaphes vulgaris | 17 | 0 | 0 | 12 | 0 | 4 | 33 |
| Aphidius ervi | 27 | 5 | 6 | 39 | 9 | 23 | 109 |
| Diaeretiella rapae | 27 | 1 | 3 | 6 | 0 | 12 | 49 |
| Praon gallicum | 32 | 21 | 17 | 3 | 7 | 21 | 101 |
| Aphidius matricariae | 45 | 7 | 14 | 16 | 3 | 17 | 102 |
| Total | 148 | 34 | 40 | 76 | 19 | 77 | 394 |
| Predators | |||||||
| Harmonia axyridis | 35 | 15 | 16 | 20 | 3 | 6 | 95 |
| Coccinella septempunctata | 42 | 5 | 4 | 4 | 8 | 16 | 79 |
| Adalia bipunctata | 34 | 1 | 2 | 19 | 4 | 15 | 75 |
| Episyrphus balteatus | 17 | 5 | 2 | 16 | 1 | 5 | 46 |
| Syrphus ribesii | 12 | 0 | 1 | 5 | 0 | 2 | 20 |
| Total | 140 | 26 | 25 | 64 | 16 | 44 | 315 |
| Explanatory Variable | Coefficient z Value ± SE | p | |
|---|---|---|---|
| Parasitoid mummies | Intercept | 4.090 ± 0.165 | <0.001 |
| Variety | −2.596 ± 0.104 | 0.009 | |
| Uninfected | 3.440 ± 0.137 | <0.001 | |
| Symptomatic | 3.825 ± 0.141 | <0.001 | |
| Aphid | 7.465 ± 0.001 | <0.001 | |
| Predatory insects | Intercept | 3.911 ± 0.217 | <0.001 |
| Variety | −0.231 ± 0.134 | 0.817 | |
| Uninfected | 5.594 ± 0.173 | <0.001 | |
| Symptomatic | 1.097 ± 0.198 | 0.273 | |
| Aphid | 0.748 ± 0.001 | 0.455 |
Disclaimer/Publisher’s Note: The statements, opinions and data contained in all publications are solely those of the individual author(s) and contributor(s) and not of MDPI and/or the editor(s). MDPI and/or the editor(s) disclaim responsibility for any injury to people or property resulting from any ideas, methods, instructions or products referred to in the content. |
© 2024 by the authors. Licensee MDPI, Basel, Switzerland. This article is an open access article distributed under the terms and conditions of the Creative Commons Attribution (CC BY) license (https://creativecommons.org/licenses/by/4.0/).
Share and Cite
Ngah, N.; Thomas, R.L.; Fellowes, M.D.E. Does This Look Infected? Hidden Host Plant Infection by the Pathogen Botrytis cinerea Alters Interactions between Plants, Aphids and Their Natural Enemies in the Field. Insects 2024, 15, 347. https://doi.org/10.3390/insects15050347
Ngah N, Thomas RL, Fellowes MDE. Does This Look Infected? Hidden Host Plant Infection by the Pathogen Botrytis cinerea Alters Interactions between Plants, Aphids and Their Natural Enemies in the Field. Insects. 2024; 15(5):347. https://doi.org/10.3390/insects15050347
Chicago/Turabian StyleNgah, Norhayati, Rebecca L. Thomas, and Mark D. E. Fellowes. 2024. "Does This Look Infected? Hidden Host Plant Infection by the Pathogen Botrytis cinerea Alters Interactions between Plants, Aphids and Their Natural Enemies in the Field" Insects 15, no. 5: 347. https://doi.org/10.3390/insects15050347
APA StyleNgah, N., Thomas, R. L., & Fellowes, M. D. E. (2024). Does This Look Infected? Hidden Host Plant Infection by the Pathogen Botrytis cinerea Alters Interactions between Plants, Aphids and Their Natural Enemies in the Field. Insects, 15(5), 347. https://doi.org/10.3390/insects15050347

