The Ability to Digest Cellulose Can Significantly Improve the Growth and Development of Silkworms
Simple Summary
Abstract
1. Introduction
2. Materials and Methods
2.1. Experimental Insects
2.2. The Creation of Transgenic Silkworms
2.3. RNA Extraction and cDNA Synthesis
2.4. Real-Time PCR (RT-PCR) and Quantitative Real-Time PCR (qRT-PCR)
2.5. Activity Detection for AgEGase III
2.6. Phenotypic Statistics
2.7. Extraction and Detection of Total Protein from Silkworm Eggs
2.8. Determination of Cellulose Consumption Rate
2.9. Determination of Glucose and Reducing Sugar Content
2.10. Statistical Analysis
3. Results
3.1. Overexpression of AgEGase III in the Transgenic Silkworms
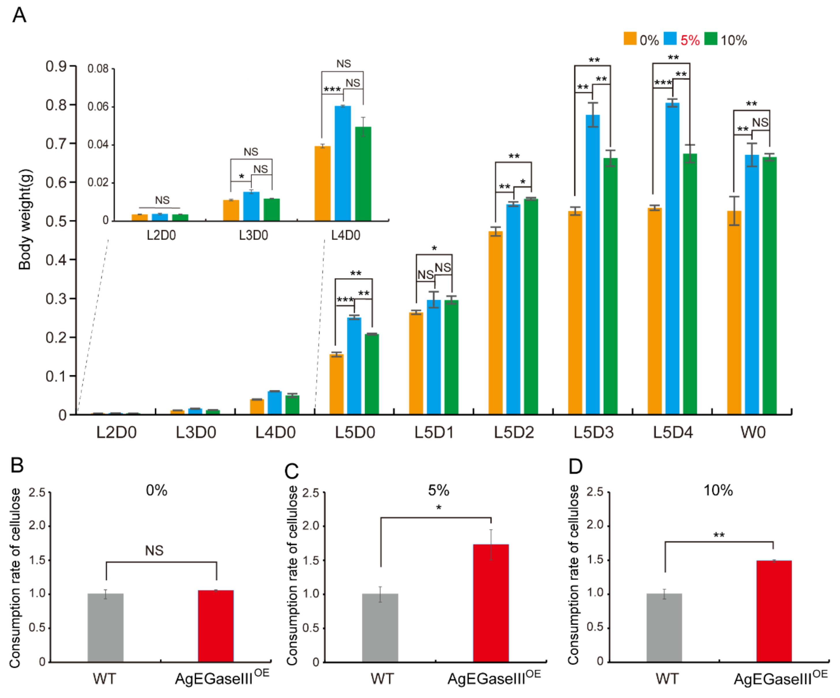
3.2. Overexpression of AgEGase III Promotes the Growth and Development of Silkworms
3.3. Overexpression of AgEGase III Enhances the Tolerance of Silkworms to Cellulose
4. Discussion
Supplementary Materials
Author Contributions
Funding
Data Availability Statement
Conflicts of Interest
References
- Adesogan, A.T.; Arriola, K.G.; Jiang, Y.; Oyebade, A.; Paula, E.M.; Pech-Cervantes, A.A.; Romero, J.J.; Ferraretto, L.F.; Vyas, D. Symposium review: Technologies for improving fiber utilization. J. Dairy. Sci. 2019, 102, 5726–5755. [Google Scholar] [CrossRef] [PubMed]
- Deng, P.; Valentino, T.; Flythe, M.D.; Moseley, H.N.B.; Leachman, J.R.; Morris, A.J.; Hennig, B. Untargeted Stable Isotope Probing of the Gut Microbiota Metabolome Using (13)C-Labeled Dietary Fibers. J. Proteome Res. 2021, 20, 2904–2913. [Google Scholar] [CrossRef] [PubMed]
- Dong, L.; Zhao, L.; Li, B.; Gao, Y.; Yan, T.; Lund, P.; Liu, Z.; Diao, Q. Dietary supplementation with xylooligosaccharides and exogenous enzyme improves milk production, energy utilization efficiency and reduces enteric methane emissions of Jersey cows. J. Anim. Sci. Biotechnol. 2023, 14, 71. [Google Scholar] [CrossRef]
- Meng, Z.; Yang, C.; Leng, J.; Zhu, W.; Cheng, Y. Production, purification, characterization and application of two novel endoglucanases from buffalo rumen metagenome. J. Anim. Sci. Biotechnol. 2023, 14, 16. [Google Scholar] [CrossRef]
- Adesogan, A.T.; Ma, Z.X.; Romero, J.J.; Arriola, K.G. Ruminant Nutrition Symposium: Improving cell wall digestion and animal performance with fibrolytic enzymes. J. Anim. Sci. 2014, 92, 1317–1330. [Google Scholar] [CrossRef]
- Yang, J.; Refat, B.; Guevara-Oquendo, V.H.; Yu, P. Lactational performance, feeding behavior, ruminal fermentation and nutrient digestibility in dairy cows fed whole-plant faba bean silage-based diet with fibrolytic enzyme. Animal 2022, 16, 100606. [Google Scholar] [CrossRef]
- Yang, J.; Zhao, S.; Lin, B. Effect of commercial fibrolytic enzymes application to normal- and slightly lower energy diets on lactational performance, digestibility and plasma nutrients in high-producing dairy cows. Front. Vet. Sci. 2024, 11, 1302034. [Google Scholar] [CrossRef]
- Eun, J.S.; Beauchemin, K.A. Enhancing in vitro degradation of alfalfa hay and corn silage using feed enzymes. J. Dairy. Sci. 2007, 90, 2839–2851. [Google Scholar] [CrossRef]
- Romero, J.J.; Zarate, M.A.; Adesogan, A.T. Effect of the dose of exogenous fibrolytic enzyme preparations on preingestive fiber hydrolysis, ruminal fermentation, and in vitro digestibility of bermudagrass haylage. J. Dairy. Sci. 2015, 98, 406–417. [Google Scholar] [CrossRef]
- Yang, J.C.; Guevara-Oquendo, V.H.; Christensen, D.; Lardner, H.B.; Refat, B.; Rodriguez Espinosa, M.E.; Yu, P. Utilization of exogenous fibrolytic enzymes in fiber fermentation, degradation, and digestions and characteristics of whole legume faba bean and its plant silage. Crit. Rev. Food Sci. Nutr. 2023, 63, 6114–6125. [Google Scholar] [CrossRef]
- Hammer, R.E.; Pursel, V.G.; Rexroad, C.E., Jr.; Wall, R.J.; Bolt, D.J.; Ebert, K.M.; Palmiter, R.D.; Brinster, R.L. Production of transgenic rabbits, sheep and pigs by microinjection. Nature 1985, 315, 680–683. [Google Scholar] [CrossRef] [PubMed]
- Wu, H.; Wang, Y.; Zhang, Y.; Yang, M.; Lv, J.; Liu, J.; Zhang, Y. TALE nickase-mediated SP110 knockin endows cattle with increased resistance to tuberculosis. Proc. Natl. Acad. Sci. USA 2015, 112, E1530–E1539. [Google Scholar] [CrossRef] [PubMed]
- Monzani, P.S.; Sangalli, J.R.; Sampaio, R.V.; Guemra, S.; Zanin, R.; Adona, P.R.; Berlingieri, M.A.; Cunha-Filho, L.F.C.; Mora-Ocampo, I.Y.; Pirovani, C.P.; et al. Human proinsulin production in the milk of transgenic cattle. Biotechnol. J. 2024, 19, e2300307. [Google Scholar] [CrossRef] [PubMed]
- Wang, Q.; Chen, X.; Xie, Z.; Liu, X.; Fu, W.; Huang, K.; Xu, W.; Lin, X. Untargeted Metabonomics of Genetically Modified Cows Expressing Lactoferrin Based on Serum and Milk. J. Agric. Food Chem. 2020, 68, 686–696. [Google Scholar] [CrossRef] [PubMed]
- Eriksson, S.; Jonas, E.; Rydhmer, L.; Rocklinsberg, H. Invited review: Breeding and ethical perspectives on genetically modified and genome edited cattle. J. Dairy. Sci. 2018, 101, 1–17. [Google Scholar] [CrossRef]
- Meng, X.; Zhu, F.; Chen, K. Silkworm: A Promising Model Organism in Life Science. J. Insect Sci. 2017, 17, 97. [Google Scholar] [CrossRef]
- Chen, W.; Wang, F.; Tian, C.; Wang, Y.; Xu, S.; Wang, R.; Hou, K.; Zhao, P.; Yu, L.; Lu, Z.; et al. Transgenic Silkworm-Based Silk Gland Bioreactor for Large Scale Production of Bioactive Human Platelet-Derived Growth Factor (PDGF-BB) in Silk Cocoons. Int. J. Mol. Sci. 2018, 19, 2533. [Google Scholar] [CrossRef]
- Xu, S.; Wang, F.; Wang, Y.; Wang, R.; Hou, K.; Tian, C.; Ji, Y.; Yang, Q.; Zhao, P.; Xia, Q. A silkworm based silk gland bioreactor for high-efficiency production of recombinant human lactoferrin with antibacterial and anti-inflammatory activities. J. Biol. Eng. 2019, 13, 61. [Google Scholar] [CrossRef]
- Mi, J.; Zhou, Y.; Ma, S.; Zhou, X.; Xu, S.; Yang, Y.; Sun, Y.; Xia, Q.; Zhu, H.; Wang, S.; et al. High-strength and ultra-tough whole spider silk fibers spun from transgenic silkworms. Matter 2023, 6, 3661–3683. [Google Scholar] [CrossRef]
- Batiha, G.E.; Al-Snafi, A.E.; Thuwaini, M.M.; Teibo, J.O.; Shaheen, H.M.; Akomolafe, A.P.; Teibo, T.K.A.; Al-Kuraishy, H.M.; Al-Garbeeb, A.I.; Alexiou, A.; et al. Morus alba: A comprehensive phytochemical and pharmacological review. Naunyn-Schmiedebergs Arch. Pharmacol. 2023, 396, 1399–1413. [Google Scholar] [CrossRef]
- Percival Zhang, Y.H.; Himmel, M.E.; Mielenz, J.R. Outlook for cellulase improvement: Screening and selection strategies. Biotechnol. Adv. 2006, 24, 452–481. [Google Scholar] [CrossRef] [PubMed]
- Malik, A.D.; Furtado, I.J. Isolation of Halomicroarcula pellucida strain GUMF5, an archaeon from the Dead Sea-Israel possessing cellulase. 3 Biotech 2022, 12, 26. [Google Scholar] [CrossRef] [PubMed]
- Zhao, X.; Liu, L.; Deng, Z.; Liu, S.; Yun, J.; Xiao, X.; Li, H. Screening, cloning, enzymatic properties of a novel thermostable cellulase enzyme, and its potential application on water hyacinth utilization. Int. Microbiol. 2021, 24, 337–349. [Google Scholar] [CrossRef] [PubMed]
- International Silkworm Genome Consortium. The genome of a lepidopteran model insect, the silkworm Bombyx mori. Insect Biochem. Mol. Biol. 2008, 38, 1036–1045. [Google Scholar] [CrossRef]
- Watanabe, H.; Tokuda, G. Cellulolytic systems in insects. Annu. Rev. Entomol. 2010, 55, 609–632. [Google Scholar] [CrossRef]
- Byeon, G.M.; Lee, K.S.; Gui, Z.Z.; Kim, I.; Kang, P.D.; Lee, S.M.; Sohn, H.D.; Jin, B.R. A digestive beta-glucosidase from the silkworm, Bombyx mori: cDNA cloning, expression and enzymatic characterization. Comp. Biochem. Physiol. B Biochem. Mol. Biol. 2005, 141, 418–427. [Google Scholar] [CrossRef]
- Lee, S.J.; Kim, S.R.; Yoon, H.J.; Kim, I.; Lee, K.S.; Je, Y.H.; Lee, S.M.; Seo, S.J.; Dae Sohn, H.; Jin, B.R. cDNA cloning, expression, and enzymatic activity of a cellulase from the mulberry longicorn beetle, Apriona germari. Comp. Biochem. Physiol. B Biochem. Mol. Biol. 2004, 139, 107–116. [Google Scholar] [CrossRef]
- Lee, S.J.; Lee, K.S.; Kim, S.R.; Gui, Z.Z.; Kim, Y.S.; Yoon, H.J.; Kim, I.; Kang, P.D.; Sohn, H.D.; Jin, B.R. A novel cellulase gene from the mulberry longicorn beetle, Apriona germari: Gene structure, expression, and enzymatic activity. Comp. Biochem. Physiol. B Biochem. Mol. Biol. 2005, 140, 551–560. [Google Scholar] [CrossRef]
- Wei, Y.D.; Lee, K.S.; Gui, Z.Z.; Yoon, H.J.; Kim, I.; Zhang, G.Z.; Guo, X.; Sohn, H.D.; Jin, B.R. Molecular cloning, expression, and enzymatic activity of a novel endogenous cellulase from the mulberry longicorn beetle, Apriona germari. Comp. Biochem. Physiol. B Biochem. Mol. Biol. 2006, 145, 220–229. [Google Scholar] [CrossRef]
- Wu, J.; Li, L.; Qin, D.; Chen, H.; Liu, Y.; Shen, G.; Zhao, P. Silkworm Hemolymph and Cocoon Metabolomics Reveals Valine Improves Feed Efficiency of Silkworm Artificial Diet. Insects 2024, 15, 291. [Google Scholar] [CrossRef]
- Chen, Y.; Yao, B.; Zhu, Z.; Yi, Y.; Lin, X.; Zhang, Z.; Shen, G. A constitutive super-enhancer: Homologous region 3 of Bombyx mori nucleopolyhedrovirus. Biochem. Biophys. Res. Commun. 2004, 318, 1039–1044. [Google Scholar] [CrossRef] [PubMed]
- Shen, G.; Liu, D.; Xu, H.; Wu, J.; Hou, L.; Yang, C.; Xia, Q.; Lin, P. A Study on the Effect of Energy on the Development of Silkworm Embryos Using an Estrogen-Related Receptor. Int. J. Mol. Sci. 2023, 24, 4485. [Google Scholar] [CrossRef] [PubMed]
- Mei, H.Z.; Xia, D.G.; Zhao, Q.L.; Zhang, G.Z.; Qiu, Z.Y.; Qian, P.; Lu, C. Molecular cloning, expression, purification and characterization of a novel cellulase gene (Bh-EGaseI) in the beetle Batocera horsfieldi. Gene 2016, 576, 45–51. [Google Scholar] [CrossRef] [PubMed]
- Xia, D.; Wei, Y.; Zhang, G.; Zhao, Q.; Zhang, Y.; Xiang, Z.; Lu, C. cDNA cloning, expression, and enzymatic activity of a novel endogenous cellulase from the beetle Batocera horsfieldi. Gene 2013, 514, 62–68. [Google Scholar] [CrossRef]
- Kerr, B.J.; Shurson, G.C. Strategies to improve fiber utilization in swine. J. Anim. Sci. Biotechnol. 2013, 4, 11. [Google Scholar] [CrossRef]
- Dong, H.L.; Zhang, S.X.; Chen, Z.H.; Tao, H.; Li, X.; Qiu, J.F.; Cui, W.Z.; Sima, Y.H.; Cui, W.Z.; Xu, S.Q. Differences in gut microbiota between silkworms (Bombyx mori) reared on fresh mulberry (Morus alba var. multicaulis) leaves or an artificial diet. RSC Adv. 2018, 8, 26188–26200. [Google Scholar] [CrossRef]
- Yin, X.; Zhang, Y.; Yu, D.; Li, G.; Wang, X.; Wei, Y.; He, C.; Liu, Y.; Li, Y.; Xu, K.; et al. Effects of artificial diet rearing during all instars on silk secretion and gene transcription in Bombyx mori (Lepidoptera: Bombycidae). J. Econ. Entomol. 2023, 116, 1379–1390. [Google Scholar] [CrossRef]
- Otagiri, M.; Lopez, C.M.; Kitamoto, K.; Arioka, M.; Kudo, T.; Moriya, S. Heterologous expression and characterization of a glycoside hydrolase family 45 endo-beta-1,4-glucanase from a symbiotic protist of the lower termite, Reticulitermes speratus. Appl. Biochem. Biotechnol. 2013, 169, 1910–1918. [Google Scholar] [CrossRef]
- Scharf, M.E.; Wu-Scharf, D.; Zhou, X.; Pittendrigh, B.R.; Bennett, G.W. Gene expression profiles among immature and adult reproductive castes of the termite Reticulitermes flavipes. Insect Mol. Biol. 2005, 14, 31–44. [Google Scholar] [CrossRef]
- Li, H.; Zhang, M.; Zhang, Y.; Xu, X.; Zhao, Y.; Jiang, X.; Zhang, R.; Gui, Z. Characterization of Cellulose-Degrading Bacteria Isolated from Silkworm Excrement and Optimization of Its Cellulase Production. Polymers 2023, 15, 4142. [Google Scholar] [CrossRef]






Disclaimer/Publisher’s Note: The statements, opinions and data contained in all publications are solely those of the individual author(s) and contributor(s) and not of MDPI and/or the editor(s). MDPI and/or the editor(s) disclaim responsibility for any injury to people or property resulting from any ideas, methods, instructions or products referred to in the content. |
© 2024 by the authors. Licensee MDPI, Basel, Switzerland. This article is an open access article distributed under the terms and conditions of the Creative Commons Attribution (CC BY) license (https://creativecommons.org/licenses/by/4.0/).
Share and Cite
Wu, J.; Zhang, Y.; Chen, H.; Xia, Q.; Zhao, P.; Lin, Y.; Shen, G. The Ability to Digest Cellulose Can Significantly Improve the Growth and Development of Silkworms. Insects 2024, 15, 997. https://doi.org/10.3390/insects15120997
Wu J, Zhang Y, Chen H, Xia Q, Zhao P, Lin Y, Shen G. The Ability to Digest Cellulose Can Significantly Improve the Growth and Development of Silkworms. Insects. 2024; 15(12):997. https://doi.org/10.3390/insects15120997
Chicago/Turabian StyleWu, Jinxin, Yungui Zhang, Han Chen, Qingyou Xia, Ping Zhao, Ying Lin, and Guanwang Shen. 2024. "The Ability to Digest Cellulose Can Significantly Improve the Growth and Development of Silkworms" Insects 15, no. 12: 997. https://doi.org/10.3390/insects15120997
APA StyleWu, J., Zhang, Y., Chen, H., Xia, Q., Zhao, P., Lin, Y., & Shen, G. (2024). The Ability to Digest Cellulose Can Significantly Improve the Growth and Development of Silkworms. Insects, 15(12), 997. https://doi.org/10.3390/insects15120997

