Modeling the Bioenergetics and Life History Traits of Chironomus riparius–Consequences of Food Limitation
Simple Summary
Abstract
1. Introduction
2. Materials and Methods
2.1. The DEB Model for Chironomus riparius
2.2. Incorporating Temperature Effects and Food Availability
2.3. Data
2.4. Parameter Estimation
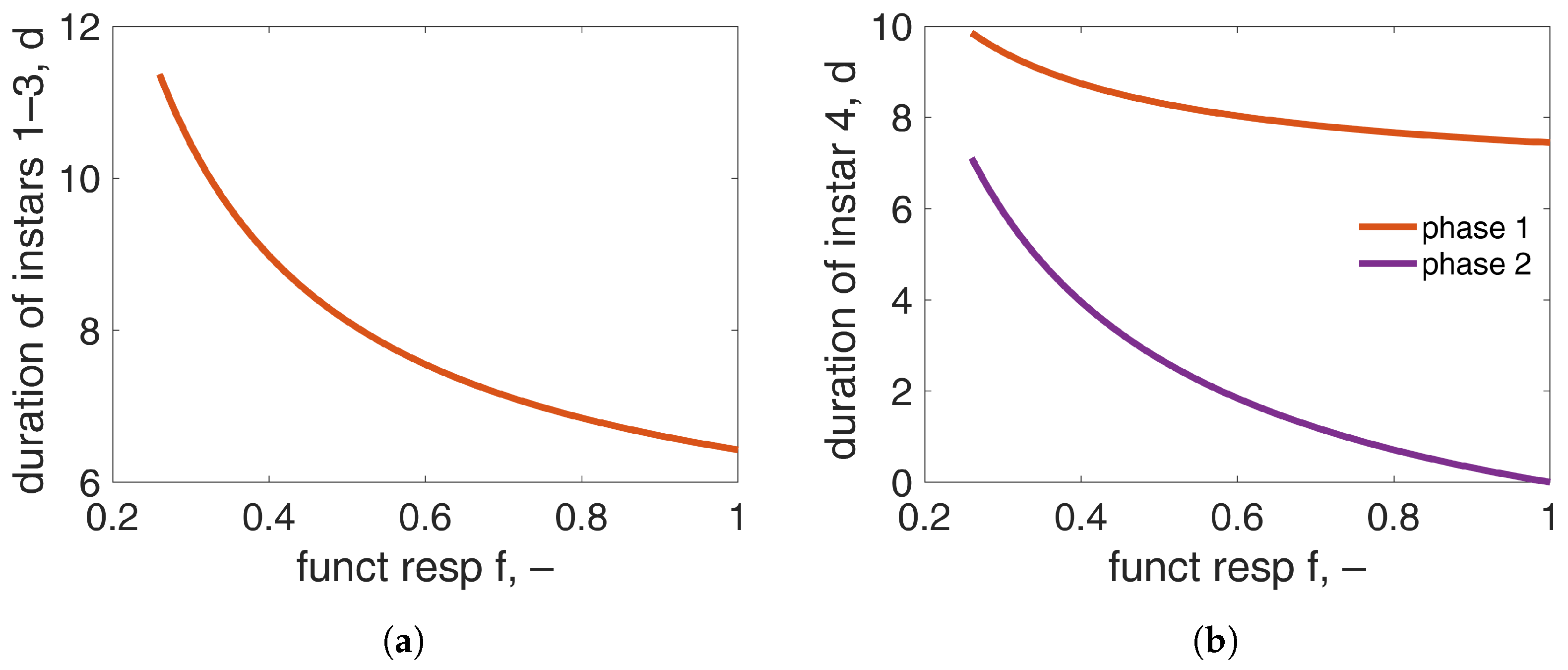
3. Results
4. Discussion
Supplementary Materials
Author Contributions
Funding
Data Availability Statement
Acknowledgments
Conflicts of Interest
References
- Hofmann, W. The significance of chironomid analysis (Insecta:Diptera) for paleolimnological research. Palaeogeogr. Palaeoclimatol. Palaeoecol. 1988, 62, 501–509. [Google Scholar] [CrossRef]
- Nicacio, G.; Juen, L. Chironomids as indicators in freshwater ecosystems: An assessment of the literature. Insect Conserv. Diver. 2015, 8, 393–403. [Google Scholar] [CrossRef]
- Halpern, M.; Senderovich, Y. Chironomid Microbiome. Minireviews 2015, 70, 1–8. [Google Scholar] [CrossRef] [PubMed]
- Rossaro, B. Chironomids and Water Temperature. Aquat. Insects 1991, 13, 87–98. [Google Scholar] [CrossRef]
- Tokeshi, M. Life cycles and population dynamics. In The Chironomidae, Biology and Ecology of Non-Biting Midges; Armitage, P., Cranston, P., Pinder, L., Eds.; Springer: Berlin, Germany, 1995; ISBN 978-0-412-45260-4. [Google Scholar]
- Singh, A. r-Reproductive Strategy. In Encyclopedia of Animal Cognition and Behavior; Vonk, J., Shackelford, T., Eds.; Springer: Berlin, Germany, 2019; ISBN 978-3-319-55064-0. [Google Scholar]
- Habashy, M. Culture of Chironomid larvae (Insecta-Diptera Chironomidae) under different feeding systems. Egypt. J. Aquat. 2005, 31, 403–418. [Google Scholar]
- Pinder, L. Biology of freshwater Chironomidae. Ann. Rev. Entomol. 1986, 31, 1–23. [Google Scholar] [CrossRef]
- Morais, S.; Molozzi, J.; Viana, A.; Viana, T.; Callisto, M. Diversity of larvae of littoral Chironomidae (Diptera: Insecta) and their role as bioindicators in urban reservoirs of different trophic levels. Braz. J. Biol. 2010, 70, 995–1004. [Google Scholar] [CrossRef]
- Sankarperumal, G.; Pandian, T. Effect of temperature and Chlorella density on growth and metamorphosis of Chitonomus circumdatus (kieffer)(Diptera). Aquat. Insects 1991, 13, 167–177. [Google Scholar] [CrossRef]
- Pery, A.; Mons, R.; Flammarion, P.; Lagadic, L.; Garric, J. A modeling approach to link food availability, growth, emergence and reproduction for the midge Chironomus riparius. Environ. Toxicol. Chem. 2002, 21, 2507–2513. [Google Scholar] [CrossRef]
- Charles, S.; Ferreol, M.; Chaumot, A.; Pery, A. Food availability effect on population dynamics of the midge Chironomus riparius: A Leslie modeling approach. Ecol. Modell. 2004, 175, 217–229. [Google Scholar] [CrossRef]
- Goedkoop, W.; Demandt, M.; Ahigren, G. Interactions between food quantity and quality (long-chain polyunsaturated fatty acid concentrations) effects on growth and development of Chironomus riparius. Can. J. Fish. Aquat. Sci. 2007, 64, 425–436. [Google Scholar] [CrossRef]
- Townsend, K.; Pettigrove, V.; Hoffmann, A. Food limitationin Chironomus tepperi: Effects on survival, sex ratios and development across two generations. Ecotoxicol. Environ. Saf. 2012, 84, 1–8. [Google Scholar] [CrossRef]
- Hershey, A.; Lamberti, G.; Chaloner, D.; Northington, R. Aquatic insect ecology. In Ecology and Classification of North American Freshwater Invertebrates; Thorp, J., Covich, A., Eds.; Academic Press: Cambridge, MA, USA, 2010; ISBN 978-0-12-374855-3. [Google Scholar]
- Self, A.; Brooks, S.; Birks, H.; Nazarova, L.; Porinchu, D.; Odland, A.; Yang, H.; Jones, V. The distribution and abundance of chironomids in high-latitude Eurasian lakes with respect to temperature and continentality: Development and application of new chironomid-based climate-inference models in northern Russia. Quat. Sci. Rev. 2011, 30, 1122–1141. [Google Scholar] [CrossRef]
- Lencioni, V.; Marziali, L.; Rossaro, B. Chironomids as bioindicators of environmental quality in mountain springs. Freshw. Sci. 2012, 31, 525–541. [Google Scholar] [CrossRef]
- EoL. Encyclopedia of Life, Chironomus riparius. Available online: https://eol.org/pages/745125 (accessed on 14 October 2024).
- Marinković, M.; Verweij, R.; Nummerdor, G.; Jonker, M.; Kraak, M.; Admiraal, W. Life Cycle Responses of the Midge Chironomus riparius to Compounds with Different Modes of Action. Environ. Sci. Technol. 2011, 45, 1645–1651. [Google Scholar] [CrossRef]
- Timmermans, K.; Peeters, W.; Tonkes, M. Cadmium, zinc, lead and copper in Chironomus riparius (Meigen) larvae (Diptera, Chironomidae): Uptake and effects. Hydrobiologia 1992, 241, 119–134. [Google Scholar] [CrossRef]
- Postma, J.; Buckert-de Jong, M.; Staats, N.; Davids, C. Chronic toxicity of cadmium to Chironomus riparius (Diptera: Chironomidae) at different food levels. Arch. Environ. Contam. Toxicol. 1994, 26, 143–148. [Google Scholar] [CrossRef]
- Watts, M.; Pascoe, D. A Comparative Study of Chironomus riparius Meigen and Chironomus tentans Fabricius (Diptera:Chironomidae) in Aquatic Toxicity Tests. Arch. Environ. Contam. Toxicol. 2000, 39, 299–306. [Google Scholar] [CrossRef]
- Weltje, L.; Rufli, H.; Heimbach, F.; Wheeler, J.; Vervliet-Scheebaum, M.; Hamerk, M. The Chironomid Acute Toxicity Test: Development of a New Test System. Integr. Environ. Assess. Manag. 2009, 6, 301–307. [Google Scholar] [CrossRef]
- Azevedo-Pereira, H.; Lemow, M.; Soares, A. Effects of imidacloprid exposure on Chironomus riparius Meigen larvae: Linking acetylcholinesterase activity to behaviour. Ecotoxicol. Environ. Saf. 2011, 74, 1210–1215. [Google Scholar] [CrossRef]
- Tassou, K.; Schulz, R. Combined effects of temperature and pyriproxyfen stress in a full life-cycle test with Chironomus riparius (Insecta). Environ. Toxicol. Chem. 2012, 31, 2384–2390. [Google Scholar] [CrossRef] [PubMed]
- Kunce, W.; Josefsson, S.; Örberg, J.; Johansson, F. Combination effects of pyrethroids and neonicotinoids on development and survival of Chironomus riparius. Ecotoxicol. Environ. Saf. 2015, 122, 426–431. [Google Scholar] [CrossRef] [PubMed]
- Rodrigues, A.; Gravato, C.; Quintaneiro, C.; Barata, C.; Soares, A.; Pestana, J. Sub-lethal toxicity of environmentally relevant concentrations of esfenvalerate to Chironomus riparius. Environ. Pollut. 2015, 207, 278–279. [Google Scholar] [CrossRef] [PubMed]
- Saraiva, A.; Sarmento, R.; Rodrigues, A.; Campos, D.; Fedorova, G.; Žlábekc, V.; Gravato, C.; Pestana, J.; Soares, A. Assessment of thiamethoxam toxicity to Chironomus riparius. Ecotoxicol. Environ. Saf. 2017, 137, 240–246. [Google Scholar] [CrossRef]
- Ducrot, V.; Pery, A.; Mons, R.; Garric, J. Energy-based modeling as a basis for the analysis of reproductive data with the midge (Chironomus riparius). Environ. Toxicol. Chem. 2004, 23, 225–231. [Google Scholar] [CrossRef]
- Pery, A.; Garric, J. Modelling Effects of Temperature and Feeding Level on the Life Cycle of the Midge Chironomus riparius: An Energy-Based Modelling Approach. Hydrobiologia 2006, 553, 59–66. [Google Scholar] [CrossRef]
- Pery, A.; Mons, R.; Garric, J. Energy-based Modeling to Study Population Growth Rate and Production for the Midge Chironomus riparius in Ecotoxicological Risk Assessment. Ecotoxicology 2004, 13, 647–656. [Google Scholar] [CrossRef]
- Diepenrs, N.; Beltman, W.; Koelmans, A.; Van den Brink, P.; Baveco, J. Dynamics and recovery of a sediment-exposed Chironomus riparius population: A modelling approach. Environ. Pollut. 2016, 213, 741–750. [Google Scholar] [CrossRef]
- Péry, A.; Ducrot, V.; Mons, R.; Garric, J. Modelling toxicity and mode of action of chemicals to analyse growth and emergence tests with the midge Chironomus riparius. Aquat. Toxicol. 2003, 65, 281–292. [Google Scholar] [CrossRef]
- Péry, A.; Sulmon, V.; Mons, R.; Flammarion, P.; Lagadic, L.; Carric, J. A model to understand the confounding effects of natural sediments in toxicity tests with Chironomus riparius. Environ. Toxicol. Chem. 2003, 22, 2476–2481. [Google Scholar] [CrossRef]
- Manfin, A.; López Moreira Mazacotte, G.; Spaak, J.; Osakpolor, S.; Brühl, C.; Lencioni, V.; Kolbenschlag, S.; Schäfer, R.; Bundschuh, M.; Schulz, R. Modeling cumulative effects of acute exposure to toxicants on the life cycle of Chironomidae using Bti as a case study. Ecol. Model. 2024, 494, 110768. [Google Scholar] [CrossRef]
- Dalhoff, K.; Hansen, A.; Rasmussen, J.; Focks, A.; Strobel, B.W.; Cedergreen, N. Linking Morphology, Toxicokinetic, and Toxicodynamic Traits of Aquatic Invertebrates to Pyrethroid Sensitivity. Environ. Sci. Technol. 2020, 54, 5687–5699. [Google Scholar] [CrossRef] [PubMed]
- Cedergreen, N.; Bellisai, G.; Herrero-Nogareda, L.; Boesen, E.; Dalhoff, K. Using TKTD Models in Combination with In Vivo Enzyme Inhibition Assays to Investigate the Mechanisms behind Synergistic Interactions across Two Species. Environ. Sci. Technol. 2021, 55, 13990–13999. [Google Scholar] [CrossRef] [PubMed]
- Gergs, A.; Hager, J.; Bruns, E.; Preuss, T. Disentangling Mechanisms Behind Chronic Lethality through Toxicokinetic–Toxicodynamic Modeling. Environ. Toxicol. Chem. 2021, 40, 300. [Google Scholar] [CrossRef] [PubMed]
- Koch, J.; Classen, S.; Gerth, D.; Dallmann, N.; Strauss, T.; Vaugeois, M.; Galic, N. Modeling temperature-dependent life-cycle toxicity of thiamethoxam in Chironomus riparius using a DEB-TKTD model. Ecotoxicol. Environ. Saf. 2024, 277, 116355. [Google Scholar] [CrossRef]
- Kooijman, S.A.L.M. Dynamic Energy Budget Theory for Metabolic Organization; Cambridge University Press: Cambridge, UK, 2010; ISBN 978-0-51-180540-0. [Google Scholar]
- Llandres, A.; Marques, G.; Maino, J.; Kooijman, S.A.L.M.; Kearney, M.; Casas, J. A dynamic energy budget for the whole life-cycle of holometabolous insects. Ecol. Monogr. 2015, 85, 353–371. [Google Scholar] [CrossRef]
- Klagkou, E.; Gergs, A.; Baden, C.; Lika, K. Dynamic Energy Budget approach for modeling growth and reproduction of Neotropical stink bugs. Ecol. Model. 2024, 493, 110740. [Google Scholar] [CrossRef]
- Marques, G.; Lika, K.; Augustine, S.; Pecquerie, L.; Kooijman, S.A.L.M. Fitting multiple models to multiple data sets. J. Sea Res. 2019, 143, 48–56. [Google Scholar] [CrossRef]
- AmP. AmP Collection, Online Database of DEB Parameters, Implied Properties and Referenced Underlying Data. Available online: http://www.bio.vu.nl/thb/deb/deblab/add_my_pet/ (accessed on 14 October 2024).
- Lika, K.; Augustine, S.; Kooijman, S. The comparative energetics of the ray-finned fish in an evolutionary context. Conserv. Physiol. 2022, 10, coac039. [Google Scholar] [CrossRef]
- Augustine, S.; Lika, K.; Kooijman, S. The comparative energetics of the chondrichthyans reveals universal links between respiration, reproduction and lifespan. J. Sea Res. 2022, 185, 102228. [Google Scholar] [CrossRef]
- Marn, N.; Kooijman, S. The comparative energetics of the turtles and crocodiles. Ecol. Evol. 2022, 12, e8996. [Google Scholar] [CrossRef] [PubMed]
- Kooijman, S. The comparative energetics of branchiopods: Adaptations to volatile environments. Ecol. Model. 2024, 492, 110721. [Google Scholar] [CrossRef]
- Shafiei, M.; Moczek, A.P.; Nihjout, F. Food availability controls the onset of metamorphosisin the dung beetle Onthophagus taurus (Coleoptera:Scarabaeidae). Physiol. Entomol. 2001, 26, 173–180. [Google Scholar] [CrossRef]
- Koella, J.; Offenberg, J. Food availability and parasite infection influence the correlatedresponses of life history traits to election for age at pupation in the mosquito Aedes aegypti. J. Evol. Biol. 1999, 12, 760–769. [Google Scholar] [CrossRef]
- Tenhumberg, B.; Tyre, A.; Roitberg, B. Stochastic Variation in Food Availability In6uences Weight and Age at Maturity. J. Theor. Biol. 2000, 202, 257–272. [Google Scholar] [CrossRef] [PubMed][Green Version]
- Augustine, S.; Gergs, A. AmP Chironomus riparius, Version 2019/09/21. Available online: https://www.bio.vu.nl/thb/deb/deblab/add_my_pet/entries_web/Chironomus_riparius/Chironomus_riparius_res.html (accessed on 14 October 2024).
- Kooijman, S.A.L.M. Comments on Dynamic Energy Budget Theory for Metabolic Organisation [WWW Document, Updated Frequently]. 2024. Available online: www.bio.vu.nl/thb/deb/deblab/bib/Kooy2010_c.pdf (accessed on 18 August 2024).
- Marques, G.; Augustine, S.; Lika, K.; Pecquerie, L.; Domingos, T.; Kooijman, S.A.L.M. The AmP project: Comparing species on the basis of dynamic energy budget parameters. PLoS Comput. Biol. 2018, 14, e1006100. [Google Scholar] [CrossRef] [PubMed]
- Kooijman, S.A.L.M. Metabolic acceleration in animal ontogeny: An evolutionary perspective. J. Sea Res. 2014, 94, 128–137. [Google Scholar] [CrossRef]
- Planello, R.; Herrero, O.; Gómez-Sande, P.; Ozáez, I.; Cobo, F.; Seria, M. Ecdysone-Related Biomarkers of Toxicity in the Model Organism Chironomus riparius: Stage and Sex-Dependent Variations in Gene Expression Profiles. PLoS ONE 2015, 10, e0140239. [Google Scholar] [CrossRef]
- Day, K.; Kirby, S.; Reynoldson, T. Sexual dimorphism in Chironomus riparius (Meigen): Impact on interpretation of growth in whole-sediment toxicity tests. Environ. Toxicol. Chem. 1993, 13, 35–39. [Google Scholar] [CrossRef]
- Servia, M.; Heydorff, M.; Pery, A.; Garric, J.; Lagadic, L. Sex- and Developmental Stage–Related Changes in Energy Reserves in Fourth-instar Larvae of the Midge Chironomus riparius Meigen (Diptera: Chironomidae): Implications for Ecotoxicity Testing. Environ. Entomol. 2006, 35, 865–874. [Google Scholar] [CrossRef]
- Campos, D. Assessment of the Ecological Effects of UV-Filters in Portuguese Freshwaters. Ph.D. Thesis, Universidade de Aveiro, Aveiro, Portugal, 2018. [Google Scholar]
- Hooper, H.; Sibly, R.; Hutchinson, T.; Maund, S. The influence of larval density, food availability and habitat longevity on the life history and population growth rate of the midge Chironomus riparius. OIKOS 2003, 102, 515–524. [Google Scholar] [CrossRef]
- Capinera, J. Eggs of Insects; Springer: Berlin, Germany, 2008; ISBN 978-1-4020-6242-1. [Google Scholar]
- Edwards, R. The relation of oxygen consumption to body Size and to temperature in the larvae of Chironomus riparius Meigen. J. Exp. Biol. 1956, 35, 383–395. [Google Scholar] [CrossRef]
- Penttinen, O.; Holopainen, I. Physiological energetics of a midge, Chironomus riparius Meigen (Insecta, Diptera): Normoxic heat output over the whole life cycle and response of larva to hypoxia and anoxia. Oecologia 1995, 103, 419–424. [Google Scholar] [CrossRef] [PubMed]
- Sildanchandra, W.; Crane, M. Influence of sexual dimorphism in Chironomus riparius Meigen on toxic effects of cadmium. Environ. Toxicol. Chem. 2000, 19, 2309–2313. [Google Scholar] [CrossRef]
- MATLAB, Version 24.1.0.2653294 (R2024a) Update 5; The Mathworks, Inc.: Natick, MA, USA, 2024.
- Lika, K.; Kearney, M.; Freitas, V.; van der Veer, H.; van der Meer, J.; Wijsman, J.; Pecquerie, L.; Kooijman, S.A.L.M. The “covariation method” for estimating the parameters of the standard Dynamic Energy Budget model I: Philosophy and approach. J. Sea Res. 2011, 66, 270–277. [Google Scholar] [CrossRef]
- Vos, J.; Ooijvaar, M.; Postma, J.; Admiraal, W. Interaction between food availability and food quality dyring growth of early instar chironomid larvae. J. N. Am. Benthol. Soc. 2000, 19, 158–468. [Google Scholar] [CrossRef]
- Gergs, A.; Baden, C. A Dynamic Energy Budget Approach for the Prediction of Development Times and Variability in Spodoptera frugiperda Rearing. Insects 2021, 12, 300. [Google Scholar] [CrossRef]
- Esperk, T.; Tammaru, T.; Nylin, S.; Teder, T. Achieving high sexual size dimorphism in insects:females add instars. Ecol. Entomol. 2007, 32, 243–256. [Google Scholar] [CrossRef]
- Tammaru, T.; Esperk, T.; Ivanov, V.; Teder, T. Proximate sources of sexual size dimorphism in insects: Locating constraints on larval growth schedules. Evol. Ecol. 2010, 24, 161–175. [Google Scholar] [CrossRef]
- Stillwell, C.; Daws, A.; Davidowitz, G. The Ontogeny of Sexual Size Dimorphism of a Moth: When Do Males and Females Grow Apart? PLoS ONE 2014, 9, e106548. [Google Scholar] [CrossRef]
- Sõber, V.; Sandre, S.L.; Esperk, T.; Teder, T.; Tammaru, T. Ontogeny of sexual size dimorphism revisited: Females grow for a longer time and also faster. PLoS ONE 2019, 14, e0215317. [Google Scholar] [CrossRef] [PubMed]
- Teder, T.; Kaasik, A.; Taits, K.; Tammaru, T. Why do males emerge before females? Sexual size dimorphism drives sexual bimaturism ininsects. Biol. Rev. Camb. Philos. Soc. 2021, 96, 2461–2475. [Google Scholar] [CrossRef] [PubMed]
- Tammaru, T. Determination of adult size in a folivorous moth:constraints at instar level? Ecol. Entomol. 1998, 23, 80–89. [Google Scholar] [CrossRef]
- Esperk, T.; Tammaru, T. Determination of female-biased sexual size dimorphism in moths with a variable instar number: The role of additional instars. Eur. J. Entomol. 2006, 103, 575–586. [Google Scholar] [CrossRef]
- Cianciara, S. Some study on the biology and bioenergetics of Cloeon dipterum (L.), Ephemeroptera (Preliminary data). In Proceedings of the Second International Conference of Ephemeroptera, Krakow, Poland, 25–26 August 1975; Pasternak, K., Sowa, R., Eds.; Panstwowe Wydawnictwo Naukowe: Warsaw, Poland, 1979; pp. 175–192. [Google Scholar]
- Timmermann, S.; Brieger, H. Larval growth and biosynthesis of reserves in mosquitoes. J. Insect Physiol. 1999, 45, 461–470. [Google Scholar] [CrossRef]
- Giertych, M.; Karolewski, P.; Grzebyta, J.; Oleksyn, J. Feeding behavior and performance of Neodiprion sertifer larvae reared on Pinus sylvestris needles. For. Ecol. Manag. 2007, 242, 700–707. [Google Scholar] [CrossRef]
- Bauerfeind, S.; Fischer, K. Effects of food stress and density in different life stages on reproduction in a butterfly. Oikos 2005, 111, 514–524. [Google Scholar] [CrossRef]
- Yang, F.; Hu, G.; Shi, J.; Zhai, B. Effects of larval density and food stress on life-history traits of Cnaphalocrocis medinalis (Lepidoptera: Pyralidae). J. Appl. Entomol. 2014, 139, 370–380. [Google Scholar] [CrossRef]
- Aznar, V.; Alem, I.; De Majo, M.S.; Byttebier, B.; Solari, H.; Fischer, S. Effects of scarcity and excess of larval food on life history traits of Aedes aegypti (Diptera: Culicidae). J. Vector. Ecol. 2018, 43, 117–124. [Google Scholar] [CrossRef]
- Davidowitz, G.; D’Amico, L.; Nijhout, F. Critical weight in the development of insect body size. Evol. Dev. 2003, 5, 188–197. [Google Scholar] [CrossRef]
- Lozano, J.; Belles, X. Conserved repressive function of Krüppel homolog 1 on insect metamorphosis in hemimetabolous and holometabolous species. Sci. Rep. 2011, 1, 163. [Google Scholar] [CrossRef] [PubMed]
- Hironaka, K.; Morishita, Y. Adaptive significance of critical weight for metamorphosis in holometabolous insects. J. Theor. Biol. 2017, 417, 68–83. [Google Scholar] [CrossRef] [PubMed]
- Enriquez, T.; Lievens, V.; Nieberding, C.; Visser, B. Pupal size as a proxy for fat content in laboratory—Reared and field—Collected Drosophila species. Sci. Rep. 2022, 12, 12855. [Google Scholar] [CrossRef] [PubMed]
- Martin, J.; Porter, D. Laboratory biology of the rice midge, Chironomus tepperi Skuse (Diptera: Nematocera): Mating, behaviour, productivity and attempts at hybridisation. Aust. J. Entomol. 1978, 16, 411–416. [Google Scholar] [CrossRef]
- Burrt, E.; Perry, R.; McLachlan, A. Feeding and sexual dimorphism in adult midges (Diptera:Chironomidae). Holartic Ecol. 1986, 9, 27–32. [Google Scholar] [CrossRef]
- Strandberg, U.; Vesterinen, J.; Ilo, T.; Akkanen, J.; Melanen, M.; Kankaala, P. Fatty acid metabolism and modifications in Chironomus riparius. Phil. Trans. R. Soc. B 2020, 375, 1804. [Google Scholar] [CrossRef]
- Cappellozza, B.; Cooke, R.; Harvey, K. Omega-6 Fatty Acids: A Sustainable Alternative to Improve Beef Production Efficiency. Animals 2021, 11, 1764. [Google Scholar] [CrossRef]
- Shukla, E.; Thorat, L.; Nath, B.; Gaikwad, S. Insect trehalase: Physiological significance and potential applications. Glycobiology 2015, 25, 357–367. [Google Scholar] [CrossRef]
- Yu, A.; Beck, M.; Merzendorfer, H.; Yang, Q. Advances in understanding insect chitin biosynthesis. Insect Biochem. Mol. Biol. 2024, 164, 104058. [Google Scholar] [CrossRef]
- Fox, C. Maternal and genetic influences on egg size and larval performance in a seed beetle (Callosobruchus maculatus): Multigenerational transmission of a maternal effect? Heredity 1994, 73, 509–517. [Google Scholar] [CrossRef]
- Kyneb, A.; Toft, S. Effects of maternal diet quality on offspring performance in the rove beetle Tachyporus hypnorum. Ecol. Entomol. 2006, 31, 322–330. [Google Scholar] [CrossRef]
- Newcombe, D.; Moore, P.; Moore, A. The role of maternal effects in adaptation to different diets. Biol. J. Linn. Soc. Lond. 2015, 114, 202–211. [Google Scholar] [CrossRef]
- Liber, K.; Call, D.; Dawson, T.; Whiteman, F.; Dillon, T. Effects of Chironomus tentans larval growth retardation on adult emergence and ovipositing success: Implications for interpreting freshwater sediment bioassays. Hydrobiologia 1996, 323, 155–167. [Google Scholar] [CrossRef]
- Corkum, L.; Ciborowski, J.; Poulin, R. Effects of emergence date and maternal size on egg development and sizes of eggs and first-instar nymphs of a semelparous aquatic insect. Oecologia 1997, 111, 69–75. [Google Scholar] [CrossRef]







| Metabolic Process | Energy Flux |
| Assimilation | (1) |
| Mobilization | (2) |
| Somatic maintenance | |
| Growth | (3) |
| Maturity maintenance | |
| Maturation/reproduction | (4) |
| State Variables | Dynamics |
| Energy in reserve, E | |
| Structural body volume, V | |
| Energy invested into maturation, | (5) |
| Energy invested into reproduction, | (6) |
| Symbol | Value | Units | Description |
|---|---|---|---|
| 203.0 | Surface-area-specific maximum assimilation rate | ||
| 0.007 | cm/d | Energy conductance | |
| 0.44 | - | Allocation fraction to soma | |
| 145.1 | Volume-specific somatic maintenance | ||
| 0.036 | 1/d | Maturity maintenance rate coefficient | |
| 4018 | Specific cost for structure | ||
| 0.003 | J | Maturity at birth | |
| 0.277 | J | Maturity at puberty | |
| 1.072 | J | Maturity at emergence | |
| 5323 | Reproduction buffer at pupation | ||
| 1.1 × | - | Conversion efficiency E→V→E | |
| 6420 | K | Arrhenius temperature | |
| 18,250 | K | Arrhenius temperature for upper boundary | |
| 309.9 | K | Upper boundary of tolerance range | |
| 0.083 | - | Shape coefficient for alive individuals | |
| 0.067 | - | Shape coefficient for dead individuals | |
| 2.48 | - | Constant for 1st molt | |
| 2.48 | - | Constant for 2nd molt | |
| 0.02 | 1/d | Background hazard rate coefficient | |
| 3.09 | 1/d | Killing rate coefficient | |
| 172.3 | Maximum specific assimilation rate for males |
| Data | Value | Units | Description |
|---|---|---|---|
| 2.0 | 3.3 | d | Age at birth at C (1) |
| 7.0 | 6.4 | d | Time since birth at puberty at C (2) |
| 15.0 | 13.8 | d | Time since birth at pupation at C (3) |
| 25.0 | 22.0 | d | Time since birth at pupation at C (3) |
| 19.3 | 20.0 | d | Time at emergence at C (4) |
| 0.09 | 0.10 | cm | Length at birth (5) |
| 1.38 | 1.57 | cm | Length at pupation (1) |
| mg | Initial egg ash free dry weight (6) | ||
| 10 | 9.7 | mg | Wet weight at pupation (7) |
| 1.1 | 1.6 | mg | Dry weight of imago (8) |
| 2.0 | 1.9 | d | Duration of instar 1 at C (2) |
| 2.0 | 1.9 | d | Duration of instar 2 at C (2) |
| 3.0 | 2.6 | d | Duration of instar 3 at C (2) |
Disclaimer/Publisher’s Note: The statements, opinions and data contained in all publications are solely those of the individual author(s) and contributor(s) and not of MDPI and/or the editor(s). MDPI and/or the editor(s) disclaim responsibility for any injury to people or property resulting from any ideas, methods, instructions or products referred to in the content. |
© 2024 by the authors. Licensee MDPI, Basel, Switzerland. This article is an open access article distributed under the terms and conditions of the Creative Commons Attribution (CC BY) license (https://creativecommons.org/licenses/by/4.0/).
Share and Cite
Klagkou, E.; Gergs, A.; Baden, C.U.; Lika, K. Modeling the Bioenergetics and Life History Traits of Chironomus riparius–Consequences of Food Limitation. Insects 2024, 15, 848. https://doi.org/10.3390/insects15110848
Klagkou E, Gergs A, Baden CU, Lika K. Modeling the Bioenergetics and Life History Traits of Chironomus riparius–Consequences of Food Limitation. Insects. 2024; 15(11):848. https://doi.org/10.3390/insects15110848
Chicago/Turabian StyleKlagkou, Evridiki, Andre Gergs, Christian U. Baden, and Konstadia Lika. 2024. "Modeling the Bioenergetics and Life History Traits of Chironomus riparius–Consequences of Food Limitation" Insects 15, no. 11: 848. https://doi.org/10.3390/insects15110848
APA StyleKlagkou, E., Gergs, A., Baden, C. U., & Lika, K. (2024). Modeling the Bioenergetics and Life History Traits of Chironomus riparius–Consequences of Food Limitation. Insects, 15(11), 848. https://doi.org/10.3390/insects15110848

