Spatial Aggregations of the Grey Field Slug Deroceras reticulatum Are Unstable Under Abnormally High Soil Moisture Conditions
Simple Summary
Abstract
1. Introduction
2. Materials and Methods
2.1. Laboratory Soil Moisture Experiment
2.1.1. Experimental Design
2.1.2. Statistical Analysis—Soil Moisture Gradient Experiment
2.2. Distribution of Slugs in Commercial Arable Fields
2.2.1. Field Sites
2.2.2. Experimental Design
2.2.3. Statistical Analysis—Field Experiment
3. Results
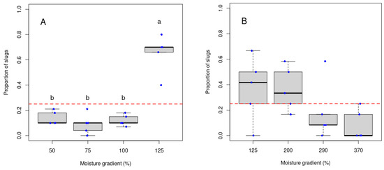
3.1. Laboratory Soil Moisture Experiment
3.2. Distribution of Slugs in Commercial Arable Fields
4. Discussion
Supplementary Materials
Author Contributions
Funding
Data Availability Statement
Acknowledgments
Conflicts of Interest
References
- Ramsden, M.W.; Kendall, S.L.; Ellis, S.A.; Berry, P.M. A Review of Economic Thresholds for Invertebrate Pests in UK Arable Crops. Crop Prot. 2017, 96, 30–43. [Google Scholar] [CrossRef]
- Getz, L.L. Notes on the Ecology of Slugs: Arion Circumscriptus, Deroceras reticulatum, and D. Laeve. Am. Midl. Nat. 1959, 61, 485–498. [Google Scholar] [CrossRef]
- Clemente, N.L.; López, A.N.; Monterubbianesi, M.G.; Cazzaniga, N.J.; Manetti, P.L. Biological Studies and Phenology of the Slug Deroceras reticulatum (Müller, 1774) (Pulmonata: Stylommatophora). Invertebr. Reprod. Dev. 2008, 52, 23–30. [Google Scholar] [CrossRef]
- Nash, M.A.; Thomson, L.J.; Hoffmann, A.A. Slug control in Australian canola: Monitoring, molluscicidal baits and economic thresholds. Pest Manag. Sci. 2007, 63, 851–859. [Google Scholar] [CrossRef]
- Willis, J.C.; Bohan, D.A.; Powers, S.J.; Choi, Y.H.; Park, J.; Gussin, E. The Importance of Temperature and Moisture to the Egg-laying Behaviour of a Pest Slug, Deroceras reticulatum. Ann. Appl. Biol. 2008, 153, 105–115. [Google Scholar] [CrossRef]
- Barnes, H.F.; Weil, J.W. Slugs in Gardens: Their Numbers, Activities and Distribution. Part 2. J. Anim. Ecol. 1945, 14, 71–105. [Google Scholar] [CrossRef]
- AHDB, (Agriculture and Horticulture Development Board). AHDB Factsheet: Integrated Slug Control 2020. Available online: https://projectblue.blob.core.windows.net/media/Default/Imported%20Publication%20Docs/AHDB/Pests/Integrated%20slug%20control%202020.pdf (accessed on 21 June 2024).
- Nicholls, C.J. Implications of Not Controlling Slugs in Oilseed Rape and Wheat in the UK; HGCA, Agriculture and Horticulture Development Board: Kenilworth, UK, 2013; pp. 1–8. [Google Scholar]
- Ridley, L.; Parrish, G.; Chantry, T.; Richmond, A.; MacArthur, R.; Garthwaite, D. Pesticide Usage Survey Report 309: Arable Crops in the United Kingdom 2022; Fera: York, UK, 2022; pp. 1–105. [Google Scholar]
- Glen, D.M.; Wiltshire, C.W.; Wilson, M.J.; Kendall, D.A. Slugs in Arable Crops: Key Pests under CAP Reform? Asp. Appl. Biol. 1994, 40, 199–206. [Google Scholar]
- Glen, D.M.; Wilson, M.J.; Brain, P.; Stroud, G. Feeding Activity and Survival of Slugs, Deroceras reticulatum, Exposed to the Rhabditid Nematode, Phasmarhabditis Hermaphrodita: A Model of Dose Response. Biol. Control 2000, 17, 73–81. [Google Scholar] [CrossRef]
- Grewal, P.S.; Wilson, M.J. Biology, Production and Formulation of Slug-Parasitic Nematodes. In Nematodes as Biocontrol Agents; Grewal, P.S., Ehlers, R.U., Shapiro-Ilan, D.I., Eds.; CABI: Wallingford, UK, 2005; pp. 421–429. [Google Scholar]
- Wilson, M.J.; Hughes, L.A.; Hamacher, G.M.; Barahona, L.D.; Glen, D.M. Effects of Soil Incorporation on the Efficacy of the Rhabditid Nematode, Phasmarhabditis hermaphrodita, as a Biological Control Agent for Slugs. Ann. Appl. Biol. 1996, 128, 117–126. [Google Scholar] [CrossRef]
- Forbes, E.; Back, M.A.; Brooks, A.; Petrovskaya, N.B.; Petrovskii, S.V.; Pope, T.W.; Walters, K.F. Locomotor Behaviour Promotes Stability of the Patchy Distribution of Slugs in Arable Fields: Tracking the Movement of Individual Deroceras reticulatum. Pest Manag. Sci. 2020, 76, 2944–2952. [Google Scholar] [CrossRef]
- South, A. Biology and Ecology of Agriolimax reticulatus (Müll.) and Other Slugs: Spatial Distribution. J. Anim. Ecol. 1965, 34, 403–417. [Google Scholar] [CrossRef]
- Ester, A.; Wilson, M.J. Application of Slug Parasitic Nematodes. In Nematodes as Biological Control Agents; Grewal, P.S., Ehlers, R.U., Shapiro-Ilan, Eds.; CABI: Wallingford, UK, 2005; pp. 431–444. [Google Scholar]
- Forbes, E.; Back, M.; Brooks, A.; Petrovskaya, N.; Petrovskii, S.; Pope, T.; Walters, K. Sustainable Management of Slugs in Commercial Fields: Assessing the Potential for Targeting Control Measures. Asp. Appl. Biol. 2017, 134, 89–96. [Google Scholar]
- Bohan, D.A.; Glen, D.M.; Wiltshire, C.W.; Hughes, L. Parametric Intensity and the Spatial Arrangement of the Terrestrial Mollusc Herbivores Deroceras reticulatum and Arion Intermedius. J. Anim. Ecol. 2000, 69, 1031–1046. [Google Scholar] [CrossRef]
- Mueller-Warrant, G.W.; Anderson, N.P.; Sullivan, C.S.; Whittaker, G.W.; Trippe, K.M. Can Knowledge of Spatial Variability in Slug Populations Help Improve Stand Establishment; Oregon State University: Corvallis, OR, USA, 2014; pp. 4–13. [Google Scholar]
- Forbes, E.; Back, M.; Brooks, A.; Petrovskaya, N.B.; Petrovskii, S.V.; Pope, T.; Walters, K.F. Stability of Patches of Higher Population Density within the Heterogenous Distribution of the Gray Field Slug Deroceras reticulatum in Arable Fields in the UK. Insects 2021, 12, 9. [Google Scholar] [CrossRef]
- Ellis, J.; Petrovskaya, N.; Forbes, E.; Walters, K.F.A.; Petrovskii, S. Movement Patterns of the Grey Field Slug (Deroceras reticulatum) in an Arable Field. Sci. Rep. 2020, 10, 17970. [Google Scholar] [CrossRef]
- Petrovskii, S.; Ellis, J.; Forbes, E.; Petrovskaya, N.; Walters, K.F.A. A Predictive Model and a Field Study on Heterogeneous Slug Distribution in Arable Fields Arising from Density Dependent Movement. Sci. Rep. 2022, 12, 2274. [Google Scholar] [CrossRef]
- Waite, T.A. Huddling and Postural Adjustments in Response to Desiccating Conditions in Deroceras reticulatum (Müller). J. Molluscan Stud. 1988, 54, 249–250. [Google Scholar] [CrossRef]
- Petrovskaya, N.B.; Ellis, J.R.; Forbes, E.; Walters, K.F.A. Modelling a Targeted Use of Pesticide Procedure for Pest Populations with Heterogeneous Spatial Distributions. Ecol. Model. 2020, 427, 109059. [Google Scholar] [CrossRef]
- Carrick, R. The Grey Field Slug Agriolimax agrestis L., and Its Environment. Ann. Appl. Biol. 1942, 29, 43–55. [Google Scholar] [CrossRef]
- Young, A.G.; Port, G.R. The Influence of Soil Moisture on the Activity of Deroceras reticulatum (Müller). J. Molluscan Stud. 1991, 57, 138–140. [Google Scholar] [CrossRef]
- Harkness, C.; Semenov, M.A.; Areal, F.; Senapati, N.; Trnka, M.; Balek, J.; Bishop, J. Adverse Weather Conditions for UK Wheat Production under Climate Change. Agric. For. Meteorol. 2020, 282, 107862. [Google Scholar] [CrossRef] [PubMed]
- Furtak, K.; Wolińska, A. The Impact of Extreme Weather Events as a Consequence of Climate Change on the Soil Moisture and on the Quality of the Soil Environment and Agriculture–A Review. Catena 2023, 231, 107378. [Google Scholar] [CrossRef]
- DEFRA. Wet Weather and Temporary Adjustments to Agri-Environment Agreements. Available online: https://defrafarming.blog.gov.uk/2024/05/14/wet-weather-and-temporary-adjustments-to-agri-environment-agreements/ (accessed on 2 July 2024).
- Black, C.A. Methods of Soil Analysis: Part I Physical and Mineralogical Properties; American Society of Agronomy: Madison, WI, USA, 1965. [Google Scholar]
- R Core Team. R: The R Project for Statistical Computing. Available online: https://www.r-project.org/ (accessed on 21 June 2024).
- Petrovskaya, N.B.; Forbes, E.; Petrovskii, S.V.; Walters, K.F.A. Towards the Development of a More Accurate Monitoring Procedure for Invertebrate Populations, in the Presence of an Unknown Spatial Pattern of Population Distribution in the Field. Insects 2018, 9, 29. [Google Scholar] [CrossRef] [PubMed]
- Archard, G.A.; Bohan, D.A.; Hughes, L.; Wiltshire, C.W. Spatial Sampling to Detect Slug Abundance in an Arable Field. Ann. Appl. Biol. 2004, 145, 165–173. [Google Scholar] [CrossRef]
- South, A. Terrestrial Slugs: Biology, Ecology and Control, 1st ed.; Chapman & Hall: London, UK, 1992; ISBN 0 412 36810 2. [Google Scholar]
- Perry, J.N. Spatial Analysis by Distance Indices. J. Anim. Ecol. 1995, 64, 303–314. [Google Scholar] [CrossRef]
- Sparks, A.H. Nasapower: NASA POWER API Client 2018, 4.2.1. Available online: https://cran.r-project.org/web/packages/nasapower/nasapower.pdf (accessed on 17 October 2024).
- Genuer, R.; Poggi, J.M.; Tuleau-Malot, C. Variable selection using random forests. Pattern Recognit. Lett. 2010, 31, 2225–2236. [Google Scholar] [CrossRef]
- Gareth, J.; Daniela, W.; Trevor, H.; Robert, T. Chapter 8: Tree-Based Methods. In An Introduction to Statistical Learning: With Applications in R; Springer: Berlin/Heidelberg, Germany, 2013. [Google Scholar]
- Choi, Y.H.; Bohan, D.A.; Powers, S.J.; Wiltshire, C.W.; Glen, D.M.; Semenov, M.A. Modelling Deroceras reticulatum (Gastropoda) Population Dynamics Based on Daily Temperature and Rainfall. Agric. Ecosyst. Environ. 2004, 103, 519–525. [Google Scholar] [CrossRef]
- Shirley, M.D.F.; Rushton, S.P.; Young, A.G.; Port, G.R. Simulating the Long-term Dynamics of Slug Populations: A Process-based Modelling Approach for Pest Control. J. Appl. Ecol. 2001, 38, 401–411. [Google Scholar] [CrossRef]
- Young, A.G.; Port, G.R.; Green, D.B. Development of a Forecast of Slug Activity: Validation of Models to Predict Slug Activity from Meteorological Conditions. Crop Prot. 1993, 12, 232–236. [Google Scholar] [CrossRef]
- Young, A.G.; Port, G.R. The Effect of Microclimate on Slug Activity in the Field. Monogr.-Br. Crop Prot. Counc. 1989, 41, 263–269. [Google Scholar]
- Choi, Y.H.; Bohan, D.A.; Potting, R.P.J.; Semenov, M.A.; Glen, D.M. Individual Based Model of Slug Population and Spatial Dynamics. Ecol. Model. 2006, 190, 336–350. [Google Scholar] [CrossRef]
- Hogan, J.M. The Behaviour of the Grey Field Slug, Deroceras reticulatum (Muller), with Particular Reference to Control in Winter Wheat. Ph.D. Thesis, University of Newcastle upon Tyne, Newcastle upon Tyne, UK, 1985. [Google Scholar]
- Shellito, P.J.; Small, E.E.; Livneh, B. Controls on Surface Soil Drying Rates Observed by SMAP and Simulated by the Noah Land Surface Model. Hydrol. Earth Syst. Sci. 2018, 22, 1649–1663. [Google Scholar] [CrossRef]
- Forbes, E.; Walters, K.F.A. Development of an Environmentally Sustainable and Commercially Viable Approach to the Control of the Grey Field Slug; AHDB: Coventry, UK, 2019. [Google Scholar]


| Treatment Range | Compartment 1 | Compartment 2 | Compartment 3 | Compartment 4 |
|---|---|---|---|---|
| Low moisture | 50% | 75% | 100% | 125% |
| High moisture | 125% | 200% | 290% | 370% |
| County/Field Code | Nearest Town | Crop | Previous Crop | Soil Type |
|---|---|---|---|---|
| Bedfordshire | Riseley | Winter Wheat | Wheat | Heavy chalky boulder clay |
| Cambridgeshire 1 | Sawtry | Spring Wheat | Oats | Heavy clay |
| Cambridgeshire 2 | Cambourne | Winter Wheat | Winter Wheat | Hanslope series clay |
| Hampshire | Overton | Spring Barley | Winter Wheat | Silty loam |
| Herefordshire | Lea | Winter Wheat | Data not available | Clay loam |
| Hertfordshire 1 | Ware | Winter Wheat | Oilseed Rape | Medium loam |
| Hertfordshire 2 | Walkern | Winter Wheat | Oilseed Rape | Sandy silt loam |
| Kent | Lenham | Winter Wheat | Oilseed Rape | Silty clay loam |
| Leicestershire | Lutterworth | Winter Wheat | Oilseed Rape | Sandy loam |
| Lincolnshire 1 | Wold Newton | Winter Wheat | Oilseed Rape | Medium clay loam |
| Lincolnshire 2 | Louth | Winter Wheat | Data not available | Clay loam |
| North Yorkshire | Thirsk | Winter Wheat | Oilseed Rape | Medium loam |
| Northamptonshire | Cogenhoe | Winter Wheat | Data not available | Clay loam |
| Nottinghamshire | Farnsfield | Winter Wheat | Oilseed Rape | Clay loam |
| Oxfordshire 1 | Faringdon | Winter Wheat | Data not available | Clay loam |
| Oxfordshire 2 | Faringdon | Winter Wheat | Legume Fallow | Sandy loam brash |
| Rutland | Empingham | Winter Wheat | Peas/birdsfoot trefoil | Sandy clay loam |
| Shropshire | Much Wenlock | Winter Wheat | Oilseed Rape | Silty loam |
| Suffolk | Great Waldingfield | Winter Wheat | Dried Winter Bean | Clay loam/sandy silt loam |
| West Sussex | Petworth | Rye/Vetch | Wheat | Sandy loam |
| Yorkshire | Shipton | Winter Wheat | Oilseed Rape | Clay loam |
| Slug Relative Abundance | Slug Distribution | ||
|---|---|---|---|
| Variable | %IncMSE | Variable | %IncMSE |
| RH_mean_2w | 83.2 | prec_sum_4w | 38.4 |
| RH_mean_4w | 72 | RH_mean_2w | 35.3 |
| RH_mean_3w | 56.2 | T_sum_3w | 30.6 |
| T_sum_4w | 51.3 | T_mean_3w | 29.7 |
| T_mean_4w | 50.4 | T_mean_4w | 27.4 |
| prec_sum_1w | 48.6 | T_sum_4w | 27.1 |
| T_sum_3w | 44.5 | RH_mean_4w | 25.4 |
| T_mean_3w | 44.3 | T_sum_1w | 23.9 |
| T_mean_2w | 39.9 | RH_mean_3w | 22.8 |
| T_sum_2w | 39.2 | T_mean_1w | 21.2 |
| T_sum_1w | 38.5 | prec_sum_3w | 14.8 |
| T_mean_1w | 36.7 | prec_sum_1w | 14.4 |
| RH_mean_1w | 26.7 | T_mean_2w | 10.5 |
| prec_sum_4w | 26.2 | T_sum_2w | 10.4 |
| prec_sum_3w | 18.5 | RH_mean_1w | 8.5 |
| prec_sum_2w | 5 | prec_sum_2w | 3.7 |
| Term | Estimate | Standard Error | Statistic | p |
|---|---|---|---|---|
| (Intercept) | −1.360 | 5.330 | −0.260 | 0.800 |
| RH_mean_2w | 0.058 | 0.053 | 1.100 | 0.280 |
| T_sum_4w | 0.001 | 0.002 | 0.250 | 0.800 |
| prec_sum_1w | −0.003 | 0.008 | −0.330 | 0.740 |
| Term | Estimate | Standard Error | Statistic | p |
|---|---|---|---|---|
| (Intercept) | 3.530 | 13.503 | 0.261 | 0.794 |
| prec_sum_4w | −0.006 | 0.009 | −0.705 | 0.481 |
| RH_mean_2w | −0.014 | 0.137 | −0.103 | 0.918 |
| T_sum_3w | −0.001 | 0.008 | −0.123 | 0.902 |
Disclaimer/Publisher’s Note: The statements, opinions and data contained in all publications are solely those of the individual author(s) and contributor(s) and not of MDPI and/or the editor(s). MDPI and/or the editor(s) disclaim responsibility for any injury to people or property resulting from any ideas, methods, instructions or products referred to in the content. |
© 2024 by the authors. Licensee MDPI, Basel, Switzerland. This article is an open access article distributed under the terms and conditions of the Creative Commons Attribution (CC BY) license (https://creativecommons.org/licenses/by/4.0/).
Share and Cite
Price, C.S.V.; Harris, W.E.; Forbes, E.; Walters, K.F.A. Spatial Aggregations of the Grey Field Slug Deroceras reticulatum Are Unstable Under Abnormally High Soil Moisture Conditions. Insects 2024, 15, 819. https://doi.org/10.3390/insects15100819
Price CSV, Harris WE, Forbes E, Walters KFA. Spatial Aggregations of the Grey Field Slug Deroceras reticulatum Are Unstable Under Abnormally High Soil Moisture Conditions. Insects. 2024; 15(10):819. https://doi.org/10.3390/insects15100819
Chicago/Turabian StylePrice, Claire S. V., W. Edwin Harris, Emily Forbes, and Keith F. A. Walters. 2024. "Spatial Aggregations of the Grey Field Slug Deroceras reticulatum Are Unstable Under Abnormally High Soil Moisture Conditions" Insects 15, no. 10: 819. https://doi.org/10.3390/insects15100819
APA StylePrice, C. S. V., Harris, W. E., Forbes, E., & Walters, K. F. A. (2024). Spatial Aggregations of the Grey Field Slug Deroceras reticulatum Are Unstable Under Abnormally High Soil Moisture Conditions. Insects, 15(10), 819. https://doi.org/10.3390/insects15100819

