Towards a Sustainable Management of the Spotted-Wing Drosophila: Disclosing the Effects of Two Spider Venom Peptides on Drosophila suzukii
Abstract
Simple Summary
Abstract
1. Introduction
2. Materials and Methods
2.1. Biological Material
2.2. Chemicals
2.3. Peptide Synthesis
2.4. Peptide Oxidative Folding and Purification
2.5. Survival Assays
2.6. Gene Regulation of Key Pathways in Response to SVPs
2.6.1. Total RNA Isolation and cDNA Synthesis
2.6.2. Design of Primers
2.6.3. Gene Expression Evaluation by Real-Time Quantitative PCR (RT-qPCR)
2.7. Statistical Analysis
3. Results
3.1. Peptide Synthesis and Oxidative Folding
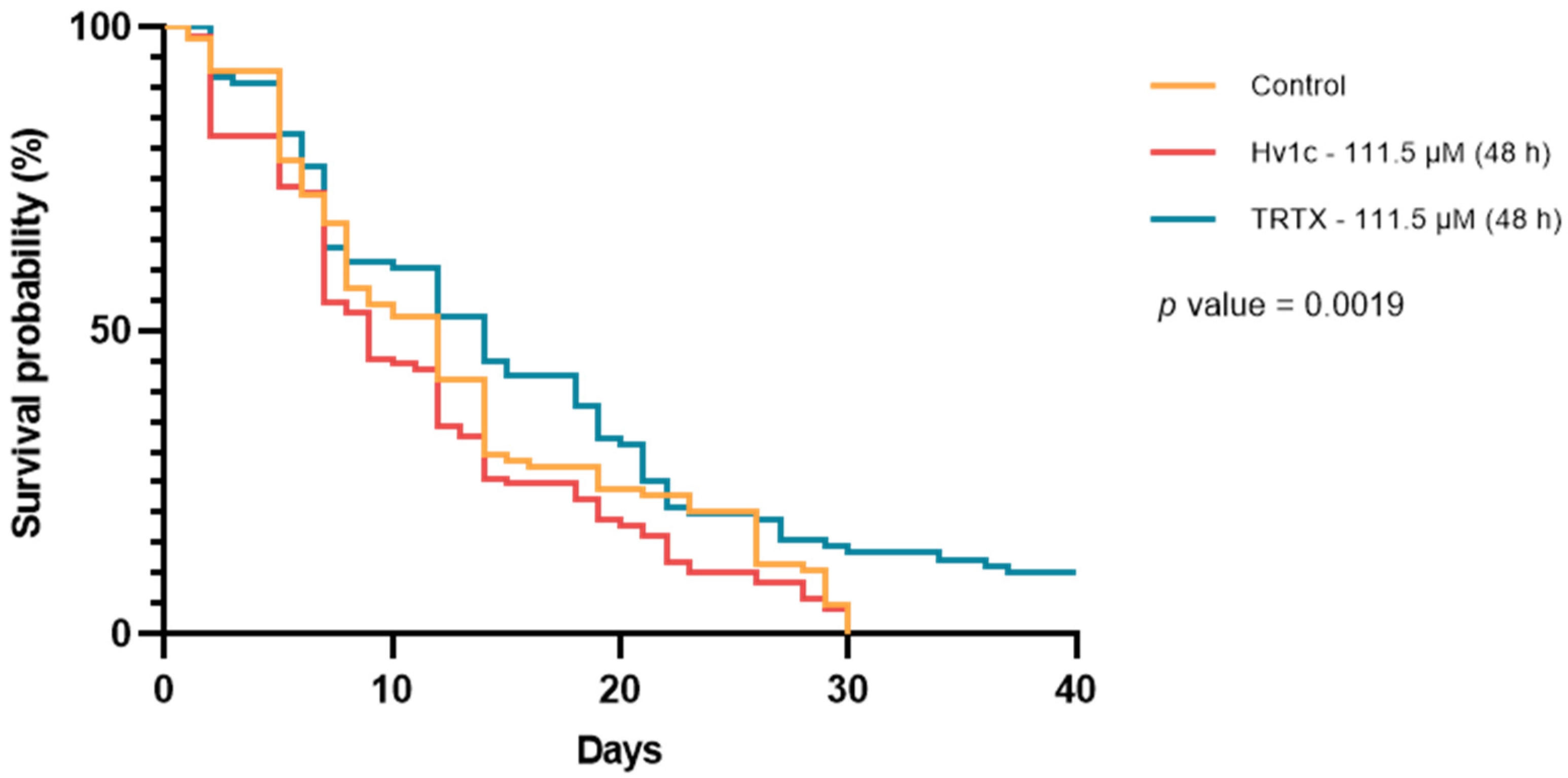
3.2. Oral Administration of SVPs May Disrupt D. suzukii Longevity
3.3. Gene Expression Evaluation in Response to SVPs
3.4. SVP Bioactivity Is Hampered by Key Detoxification and Stress-Response Pathways in D. suzukii
4. Discussion
5. Conclusions
Supplementary Materials
Author Contributions
Funding
Data Availability Statement
Acknowledgments
Conflicts of Interest
References
- Kirschbaum, D.S.; Funes, C.F.; Buonocore-Biancheri, M.J.; Suárez, L.; Ovruski, S.M. The Biology and Ecology of Drosophila suzukii (Diptera: Drosophilidae). In Drosophila suzukii Management; Garcia, F.R.M., Ed.; Springer: Cham, Switzerland, 2020; pp. 40–91. [Google Scholar] [CrossRef]
- EPPO. PM 7/115 (1) Drosophila suzukii. Bull. OAEPP/EPPO Bull. 2013, 43, 417–424. [Google Scholar] [CrossRef]
- Calabria, G.; Máca, J.; Bächli, G.; Serra, L.; Pascual, M. First records of the potential pest species Drosophila suzukii (Diptera: Drosophilidae) in Europe. J. Appl. Entomol. 2012, 136, 139–147. [Google Scholar] [CrossRef]
- EPPO. Drosophila suzukii Continues to Spread in Europe. 2012. Available online: https://gd.eppo.int/reporting/article-2411 (accessed on 18 November 2021).
- EPPO. First Record of Drosophila suzukii in Italy: Addition to the EPPO Alert List. 2010. Available online: https://gd.eppo.int/reporting/article-305 (accessed on 18 November 2021).
- Asplen, M.K.; Anfora, G.; Biondi, A.; Choi, D.-S.; Chu, D.; Daane, K.M.; Gibert, P.; Gutierrez, A.P.; Hoelmer, K.A.; Hutchison, W.D.; et al. Invasion biology of spotted wing Drosophila (Drosophila suzukii): A global perspective and future priorities. J. Pest Sci. 2015, 88, 469–494. [Google Scholar] [CrossRef]
- Farnsworth, D.; Hamby, K.A.; Bolda, M.; Goodhue, R.E.; Williams, J.C.; Zalom, F.G. Economic analysis of revenue losses and control costs associated with the spotted wing drosophila, Drosophila suzukii (Matsumura), in the California raspberry industry. Pest Manag. Sci. 2017, 73, 1083–1090. [Google Scholar] [CrossRef] [PubMed]
- Atallah, J.; Teixeira, L.; Salazar, R.; Zaragoza, G.; Kopp, A. The making of a pest: The evolution of a fruit-penetrating ovipositor in Drosophila suzukii and related species. Proc. R. Soc. B Biol. Sci. 2014, 281, 20132840. [Google Scholar] [CrossRef]
- Schöneberg, T.; Lewis, M.T.; Burrack, H.J.; Grieshop, M.; Isaacs, R.; Rendon, D.; Rogers, M.; Rothwell, N.; Sial, A.A.; Walton, V.M.; et al. Cultural Control of Drosophila suzukii in Small Fruit—Current and Pending Tactics in the U.S. Insects 2021, 12, 172. [Google Scholar] [CrossRef]
- Hassaan, M.A.; El Nemr, A. Pesticides pollution: Classifications, human health impact, extraction and treatment techniques. Egypt. J. Aquat. Res. 2020, 46, 207–220. [Google Scholar] [CrossRef]
- Shawer, R.; Tonina, L.; Tirello, P.; Duso, C.; Mori, N. Laboratory and field trials to identify effective chemical control strategies for integrated management of Drosophila suzukii in European cherry orchards. Crop Prot. 2018, 103, 73–80. [Google Scholar] [CrossRef]
- Shawer, R. Chemical Control of Drosophila suzukii. In Drosophila suzukii Management; Garcia, F.R.M., Ed.; Springer: Cham, Switzerland, 2020; pp. 133–142. [Google Scholar]
- Gress, B.E.; Zalom, F.G. Identification and risk assessment of spinosad resistance in a California population of Drosophila suzukii. Pest Manag. Sci. 2018, 75, 1270–1276. [Google Scholar] [CrossRef]
- Deans, C.; Hutchison, W.D. Propensity for resistance development in the invasive berry pest, spotted-wing drosophila (Drosophila suzukii), under laboratory selection. Pest Manag. Sci. 2022, 78, 5203–5212. [Google Scholar] [CrossRef]
- Fletcher, J.I.; Smith, R.; O’Donoghue, S.I.; Nilges, M.; Connor, M.; Howden, M.E.H.; Christie, M.J.; King, G.F. The structure of a novel insecticidal neurotoxin, ω-atracotoxin-HV1, from the venom of an Australian funnel web spider. Nat. Struct. Biol. 1997, 4, 559–566. [Google Scholar] [CrossRef] [PubMed]
- Fitches, E.C.; Pyati, P.; King, G.F.; Gatehouse, J.A. Fusion to Snowdrop Lectin Magnifies the Oral Activity of Insecticidal ω-Hexatoxin-Hv1a Peptide by Enabling Its Delivery to the Central Nervous System. PLoS ONE 2012, 7, e39389. [Google Scholar] [CrossRef] [PubMed]
- Wang, X.-H.; Connor, M.; Wilson, D.; Wilson, H.I.; Nicholson, G.M.; Smith, R.; Shaw, D.; Mackay, J.P.; Alewood, P.F.; Christie, M.J.; et al. Discovery and structure of a potent and highly specific blocker of insect calcium channels. J. Biol. Chem. 2001, 276, 40306–40312. [Google Scholar] [CrossRef]
- Bekbossynova, A.; Zharylgap, A.; Filchakova, O. Venom-Derived Neurotoxins Targeting Nicotinic Acetylcholine Receptors. Molecules 2021, 26, 3373. [Google Scholar] [CrossRef] [PubMed]
- Herzig, V.; Ikonomopoulou, M.; Smith, J.J.; Dziemborowicz, S.; Gilchrist, J.; Kuhn-Nentwig, L.; Rezende, F.O.; Moreira, L.A.; Nicholson, G.M.; Bosmans, F.; et al. Molecular basis of the remarkable species selectivity of an insecticidal sodium channel toxin from the African spider Augacephalus ezendami. Sci. Rep. 2016, 6, 29538. [Google Scholar] [CrossRef]
- Kozminsky-Atias, A.; Somech, E.; Zilberberg, N. Isolation of the first toxin from the scorpion Buthus occitanus israelis showing preference for Shaker potassium channels. FEBS Lett. 2007, 581, 2478–2484. [Google Scholar] [CrossRef]
- Fanning, P.D.; VanWoerkom, A.; Wise, J.C.; Isaacs, R. Assessment of a commercial spider venom peptide against spotted-wing Drosophila and interaction with adjuvants. J. Pest Sci. 2018, 91, 1279–1290. [Google Scholar] [CrossRef]
- Langenegger, N.; Nentwig, W.; Kuhn-Nentwig, L. Spider Venom: Components, Modes of Action, and Novel Strategies in Transcriptomic and Proteomic Analyses. Toxins 2019, 11, 611. [Google Scholar] [CrossRef]
- King, G.F.; Hardy, M.C. Spider-Venom Peptides: Structure, Pharmacology, and Potential for Control of Insect Pests. Annu. Rev. Entomol. 2013, 58, 475–496. [Google Scholar] [CrossRef]
- Nicholson, G.M. CHAPTER 54—Spider Venom Peptides. In Handbook of Biologically Active Peptides; Kastin, A.J., Ed.; Academic Press: Cambridge, MA, USA, 2006; pp. 369–379. [Google Scholar] [CrossRef]
- Ikonomopoulou, M.; King, G. Natural Born Insect Killers: Spider-Venom Peptides and Their Potential For Managing Arthropod Pests. Outlooks Pest Manag. 2013, 24, 16–19. [Google Scholar] [CrossRef]
- Maggio, F.; King, G.F. Role of the structurally disordered N- and C-terminal residues in the Janus-faced atracotoxins. Toxicon 2002, 40, 1355–1361. [Google Scholar] [CrossRef] [PubMed]
- Maggio, F.; King, G.F. Scanning Mutagenesis of a Janus-faced Atracotoxin Reveals a Bipartite Surface Patch That Is Essential for Neurotoxic Function. J. Biol. Chem. 2002, 277, 22806–22813. [Google Scholar] [CrossRef] [PubMed]
- Li, D.; Xiao, Y.; Hu, W.; Xie, J.; Bosmans, F.; Tytgat, J.; Liang, S. Function and solution structure of hainantoxin-I, a novel insect sodium channel inhibitor from the Chinese bird spider Selenocosmia hainana. FEBS Lett. 2003, 555, 616–622. [Google Scholar] [CrossRef]
- Windley, M.J.; Herzig, V.; Dziemborowicz, S.A.; Hardy, M.C.; King, G.F.; Nicholson, G.M. Spider-Venom Peptides as Bioinsecticides. oxins 2012, 4, 191–227. [Google Scholar] [CrossRef] [PubMed]
- Sario, S.; Mendes, R.J.; Gonçalves, F.; Torres, L.; Santos, C. Drosophila suzukii energetic pathways are differently modulated by nutritional geometry in males and females. Sci. Rep. 2022, 12, 21194. [Google Scholar] [CrossRef]
- Loughrey, S.; Mannion, J.; Matlock, B. Quantify Protein and Peptide Preparations at 205 Nm. Available online: https://assets.thermofisher.com/TFS-Assets/MSD/Application-Notes/AN52774-quantify-protein-peptide-preparations-205-nm.pdf (accessed on 24 April 2023).
- Untergasser, A.; Cutcutache, I.; Koressaar, T.; Ye, J.; Faircloth, B.C.; Remm, M.; Rozen, S.G. Primer3—New capabilities and interfaces. Nucleic Acids Res. 2012, 40, e115. [Google Scholar] [CrossRef]
- Toxopeus, J.; Jakobs, R.; Ferguson, L.V.; Gariepy, T.D.; Sinclair, B.J. Reproductive arrest and stress resistance in winter-acclimated Drosophila suzukii. J. Insect Physiol. 2016, 89, 37–51. [Google Scholar] [CrossRef]
- Zhai, Y.; Lin, Q.; Zhou, X.; Zhang, X.; Liu, T.; Yu, Y. Identification and Validation of Reference Genes for Quantitative Real-Time PCR in Drosophila suzukii (Diptera: Drosophilidae). PLoS ONE 2014, 9, e106800. [Google Scholar] [CrossRef]
- Untergasser, A.; Ruijter, J.M.; Benes, V.; van den Hoff, M.J.B. Web-based LinRegPCR: Application for the visualization and analysis of (RT)-qPCR amplification and melting data. BMC Bioinform. 2021, 22, 398. [Google Scholar] [CrossRef]
- Taylor, S.C.; Nadeau, K.; Abbasi, M.; Lachance, C.; Nguyen, M.; Fenrich, J. The Ultimate qPCR Experiment: Producing Publication Quality, Reproducible Data the First Time. Trends Biotechnol. 2019, 37, 761–774. [Google Scholar] [CrossRef]
- Wang, X.-H.; Connor, M.; Smith, R.; Maciejewski, M.W.; Howden, M.E.H.; Nicholson, G.M.; Christie, M.J.; King, G.F. Discovery and characterization of a family of insecticidal neurotoxins with a rare vicinal disulfide bridge. Nat. Struct. Biol. 2000, 7, 505–513. [Google Scholar] [CrossRef] [PubMed]
- Zhou, Y.; Zhao, M.; Fields, G.B.; Wu, C.-F.; Branton, W.D. δ/ω-Plectoxin-Pt1a: An Excitatory Spider Toxin with Actions on both Ca2+ and Na+ Channels. PLoS ONE 2013, 8, e64324. [Google Scholar] [CrossRef] [PubMed]
- Bell, J.; Sukiran, N.A.; Walsh, S.; Fitches, E.C. The insecticidal activity of recombinant nemertide toxin α-1 from Lineus longissimus towards pests and beneficial species. Toxicon 2021, 197, 79–86. [Google Scholar] [CrossRef] [PubMed]
- Zhang, P.F.; Chen, P.; Hu, W.-J.; Liang, S.-P. Huwentoxin-V, a novel insecticidal peptide toxin from the spider Selenocosmia huwena, and a natural mutant of the toxin: Indicates the key amino acid residues related to the biological activity. Toxicon 2003, 42, 15–20. [Google Scholar] [CrossRef]
- Touchard, A.; Aili, S.R.; Téné, N.; Barassé, V.; Klopp, C.; Dejean, A.; Kini, R.M.; Mrinalini, M.; Coquet, L.; Jouenne, T.; et al. Venom Peptide Repertoire of the European Myrmicine Ant Manica rubida: Identification of Insecticidal Toxins. J. Proteome Res. 2020, 19, 1800–1811. [Google Scholar] [CrossRef]
- Czarniewska, E.; Rosiński, G.; Gabała, E.; Kuczer, M. The natural insect peptide Neb-colloostatin induces ovarian atresia and apoptosis in the mealworm Tenebrio molitor. BMC Dev. Biol. 2014, 14, 4. [Google Scholar] [CrossRef]
- Smith, J.J.; Herzig, V.; King, G.F.; Alewood, P.F. The insecticidal potential of venom peptides. Cell. Mol. Life Sci. 2013, 70, 3665–3693. [Google Scholar] [CrossRef]
- Corzo, G.; Bernard, C.; Clement, H.; Villegas, E.; Bosmans, F.; Tytgat, J.; Possani, L.D.; Darbon, H.; Alagón, A. Insecticidal peptides from the theraposid spider Brachypelma albiceps: An NMR-based model of Ba2. Biochim. Biophys. Acta (BBA) 2009, 1794, 1190–1196. [Google Scholar] [CrossRef]
- Denecke, S.; Swevers, L.; Douris, V.; Vontas, J. How do oral insecticidal compounds cross the insect midgut epithelium? Insect Biochem. Mol. Biol. 2018, 103, 22–35. [Google Scholar] [CrossRef]
- Kouda, K.; Iki, M. Beneficial effects of mild stress (hormetic effects): Dietary restriction and health. J. Physiol. Anthr. 2010, 29, 127–132. [Google Scholar] [CrossRef]
- Zhang, R.; Jang, E.B.; He, S.; Chen, J. Lethal and sublethal effects of cyantraniliprole on Bactrocera dorsalis (Hendel) (Diptera: Tephritidae). Pest Manag. Sci. 2015, 71, 250–256. [Google Scholar] [CrossRef] [PubMed]
- Santos, M.; Krüger, A.; Turchen, L.; Cutler, G.; Oliveira, E.; Guedes, R. Non-targeted insecticidal stress in a pest species: Insecticides, sexual fitness and hormesis in the Neotropical brown stink bug Euschistus heros. Ann. Appl. Biol. 2018, 172, 375–383. [Google Scholar] [CrossRef]
- Krüger, A.P.; Scheunemann, T.; Padilha, A.C.; Pazini, J.B.; Bernardi, D.; Grützmacher, A.D.; Nava, D.E.; Garcia, F.R.M. Insecticide-mediated effects on mating success and reproductive output of Drosophila suzukii. Ecotoxicology 2021, 30, 828–835. [Google Scholar] [CrossRef] [PubMed]
- Deans, C.; Hutchison, W.D. Hormetic and transgenerational effects in spotted-wing Drosophila (Diptera: Drosophilidae) in response to three commonly-used insecticides. PLoS ONE 2022, 17, e0271417. [Google Scholar] [CrossRef]
- Le Goff, G.; Hilliou, F.; Siegfried, B.D.; Boundy, S.; Wajnberg, E.; Sofer, L.; Audant, P.; ffrench-Constant, R.H.; Feyereisen, R. Xenobiotic response in Drosophila melanogaster: Sex dependence of P450 and GST gene induction. Insect Biochem. Mol. Biol. 2006, 36, 674–682. [Google Scholar] [CrossRef]
- Liu, N.; Li, M.; Gong, Y.; Liu, F.; Li, T. Cytochrome P450s—Their expression, regulation, and role in insecticide resistance. Pestic. Biochem. Physiol. 2015, 120, 77–81. [Google Scholar] [CrossRef]
- Kang, Z.-W.; Liu, F.-H.; Pang, R.-P.; Tian, H.-G.; Liu, T.-X. Effect of Sublethal Doses of Imidacloprid on the Biological Performance of Aphid Endoparasitoid Aphidius gifuensis (Hymenoptera: Aphidiidae) and Influence on Its Related Gene Expression. Front. Physiol. 2018, 9, 1729. [Google Scholar] [CrossRef]
- De Smet, L.; Hatjina, F.; Ioannidis, P.; Hamamtzoglou, A.; Schoonvaere, K.; Francis, F.; Meeus, I.; Smagghe, G.; de Graaf, D.C. Stress indicator gene expression profiles, colony dynamics and tissue development of honey bees exposed to sub-lethal doses of imidacloprid in laboratory and field experiments. PLoS ONE 2017, 12, e0171529. [Google Scholar] [CrossRef]
- Lu, K.; Song, Y.; Zeng, R. The role of cytochrome P450-mediated detoxification in insect adaptation to xenobiotics. Curr. Opin. Insect Sci. 2021, 43, 103–107. [Google Scholar] [CrossRef]
- Civolani, S.; Vaccari, G.; Caruso, S.; Finetti, L.; Bernacchia, G.; Chicca, M.; Cassanelli, S. Evaluation of insecticide efficacy and insecticide adaptive response in Italian populations of Drosophila suzukii. Bull. Insectology 2021, 74, 103–114. [Google Scholar]
- Arsic, D.; Guerin, P.M. Nutrient content of diet affects the signaling activity of the insulin/target of rapamycin/p70 S6 kinase pathway in the African malaria mosquito Anopheles gambiae. J. Insect Physiol. 2008, 54, 1226–1235. [Google Scholar] [CrossRef] [PubMed]
- Kodrík, D.; Bednářová, A.; Zemanová, M.; Krishnan, N. Hormonal Regulation of Response to Oxidative Stress in Insects—An Update. Int. J. Mol. Sci. 2015, 16, 25788–25816. [Google Scholar] [CrossRef] [PubMed]
- Jünger, M.A.; Rintelen, F.; Stocker, H.; Wasserman, J.D.; Végh, M.; Radimerski, T.; Greenberg, M.E.; Hafen, E. The Drosophila forkhead transcription factor FOXO mediates the reduction in cell number associated with reduced insulin signaling. J. Biol. 2003, 2, 20. [Google Scholar] [CrossRef] [PubMed]
- Pandey, A.; Vimal, D.; Chandra, S.; Saini, S.; Narayan, G.; Kar Chowdhuri, D. Long-term dietary exposure to low concentration of dichloroacetic acid promoted longevity and attenuated cellular and functional declines in aged Drosophila melanogaster. AGE 2014, 36, 9628. [Google Scholar] [CrossRef] [PubMed]
- Yang, P.; Yang, X.; Sun, L.; Han, X.; Xu, L.; Gu, W.; Zhang, M. Effects of cadmium on oxidative stress and cell apoptosis in Drosophila melanogaster larvae. Sci. Rep. 2022, 12, 4762. [Google Scholar] [CrossRef]
- Gupta, S.C.; Siddique, H.R.; Mathur, N.; Mishra, R.K.; Saxena, D.K.; Chowdhuri, D.K. Adverse effect of organophosphate compounds, dichlorvos and chlorpyrifos in the reproductive tissues of transgenic Drosophila melanogaster: 70kDa heat shock protein as a marker of cellular damage. Toxicology 2007, 238, 1–14. [Google Scholar] [CrossRef]
- Rix, R.R.; Cutler, G.C. Review of molecular and biochemical responses during stress induced stimulation and hormesis in insects. Sci. Total. Environ. 2022, 827, 154085. [Google Scholar] [CrossRef]
- Bonning, B.C.; Chougule, N.P. Delivery of intrahemocoelic peptides for insect pest management. Trends Biotechnol. 2014, 32, 91–98. [Google Scholar] [CrossRef]
- Fitches, E.; Woodhouse, S.D.; Edwards, J.P.; Gatehouse, J.A. In vitro and in vivo binding of snowdrop (Galanthus nivalis agglutinin; GNA) and jackbean (Canavalia ensiformis; Con A) lectins within tomato moth (Lacanobia oleracea) larvae; mechanisms of insecticidal action. J. Insect Physiol. 2001, 47, 777–787. [Google Scholar] [CrossRef]




| Gene Symbol | Gene ID a | Primer Sequences (5′ to 3′) b | Reference |
|---|---|---|---|
| tbp | DS10_00003466 | F: CCACGGTGAATCTGTGCT | [34] |
| R: GGAGTCGTCCTCGCTCTT | |||
| argK | DS10_00003811 | F: CTACCACAACGATGCCAAGA | |
| R: AAGGTCAGGAAGCCGAGA | |||
| ef1a48D | DS10_00002426 | F: TGGGCAAGGAAAAGATTCAC | [33] |
| R: CGGCCTTCAACTTATCCAAA | |||
| hsc70-4 | DS10_00009978 | F: TGCTGATCCAGGTGTACGAG | |
| R: CGTTGGTGATGGTGATCTTG | |||
| foxo | DS10_00012524 | F: CTCCCTGAACACGTACAGCA | |
| R: CTTCGACATTGCACTCCAGA | |||
| sod2 | DS10_00003278 | F: TGGGAGCACGCCTACTATCT | This study |
| R: GTCGTCCCAGTTAGCGATGT | |||
| chico | DS10_00000455 | F: TTATTTGGCGATGTCAACCA | |
| R: GCTCTGGAAAGTCGAAATGC | |||
| ac13E | DS10_00006210 | F: TCACCTCGTTGAGCATGAAG | |
| R: GGATGGATAATGCCACGTTC | |||
| cyp12d1-d | DS10_00002643 | F: GACGGTCTGGATTCGATTGT | |
| R: TCGTCTTGTGAAGCAACCAG | |||
| dcp-1 | DS10_0002956 | F: ACACGCCGACTTTCTGTTCT | |
| R: CCAGGAGCCGTTGTTAATGT | |||
| diap1 | DS10_00011088 | F: CGGGCATGTTCTACACACAC | |
| R: GGGCAGATCCTCCTGCTC |
Disclaimer/Publisher’s Note: The statements, opinions and data contained in all publications are solely those of the individual author(s) and contributor(s) and not of MDPI and/or the editor(s). MDPI and/or the editor(s) disclaim responsibility for any injury to people or property resulting from any ideas, methods, instructions or products referred to in the content. |
© 2023 by the authors. Licensee MDPI, Basel, Switzerland. This article is an open access article distributed under the terms and conditions of the Creative Commons Attribution (CC BY) license (https://creativecommons.org/licenses/by/4.0/).
Share and Cite
Regalado, L.; Sario, S.; Mendes, R.J.; Valle, J.; Harvey, P.J.; Teixeira, C.; Gomes, P.; Andreu, D.; Santos, C. Towards a Sustainable Management of the Spotted-Wing Drosophila: Disclosing the Effects of Two Spider Venom Peptides on Drosophila suzukii. Insects 2023, 14, 533. https://doi.org/10.3390/insects14060533
Regalado L, Sario S, Mendes RJ, Valle J, Harvey PJ, Teixeira C, Gomes P, Andreu D, Santos C. Towards a Sustainable Management of the Spotted-Wing Drosophila: Disclosing the Effects of Two Spider Venom Peptides on Drosophila suzukii. Insects. 2023; 14(6):533. https://doi.org/10.3390/insects14060533
Chicago/Turabian StyleRegalado, Laura, Sara Sario, Rafael J. Mendes, Javier Valle, Peta J. Harvey, Cátia Teixeira, Paula Gomes, David Andreu, and Conceição Santos. 2023. "Towards a Sustainable Management of the Spotted-Wing Drosophila: Disclosing the Effects of Two Spider Venom Peptides on Drosophila suzukii" Insects 14, no. 6: 533. https://doi.org/10.3390/insects14060533
APA StyleRegalado, L., Sario, S., Mendes, R. J., Valle, J., Harvey, P. J., Teixeira, C., Gomes, P., Andreu, D., & Santos, C. (2023). Towards a Sustainable Management of the Spotted-Wing Drosophila: Disclosing the Effects of Two Spider Venom Peptides on Drosophila suzukii. Insects, 14(6), 533. https://doi.org/10.3390/insects14060533

