First Insights on Early Host Plants and Dispersal Behavior of Halyomorpha halys (Hemiptera: Pentatomidae) from Overwintering to Crop Colonization
Abstract
Simple Summary
Abstract
1. Introduction
2. Materials and Methods
2.1. Sites and Study Design
2.2. Sampling by Pheromone Traps
2.3. Sampling on Host Plants
2.4. Immunomarking-Capture Technique
3. Results
3.1. Population Dynamics after Overwintering Assessed by Pheromone Traps
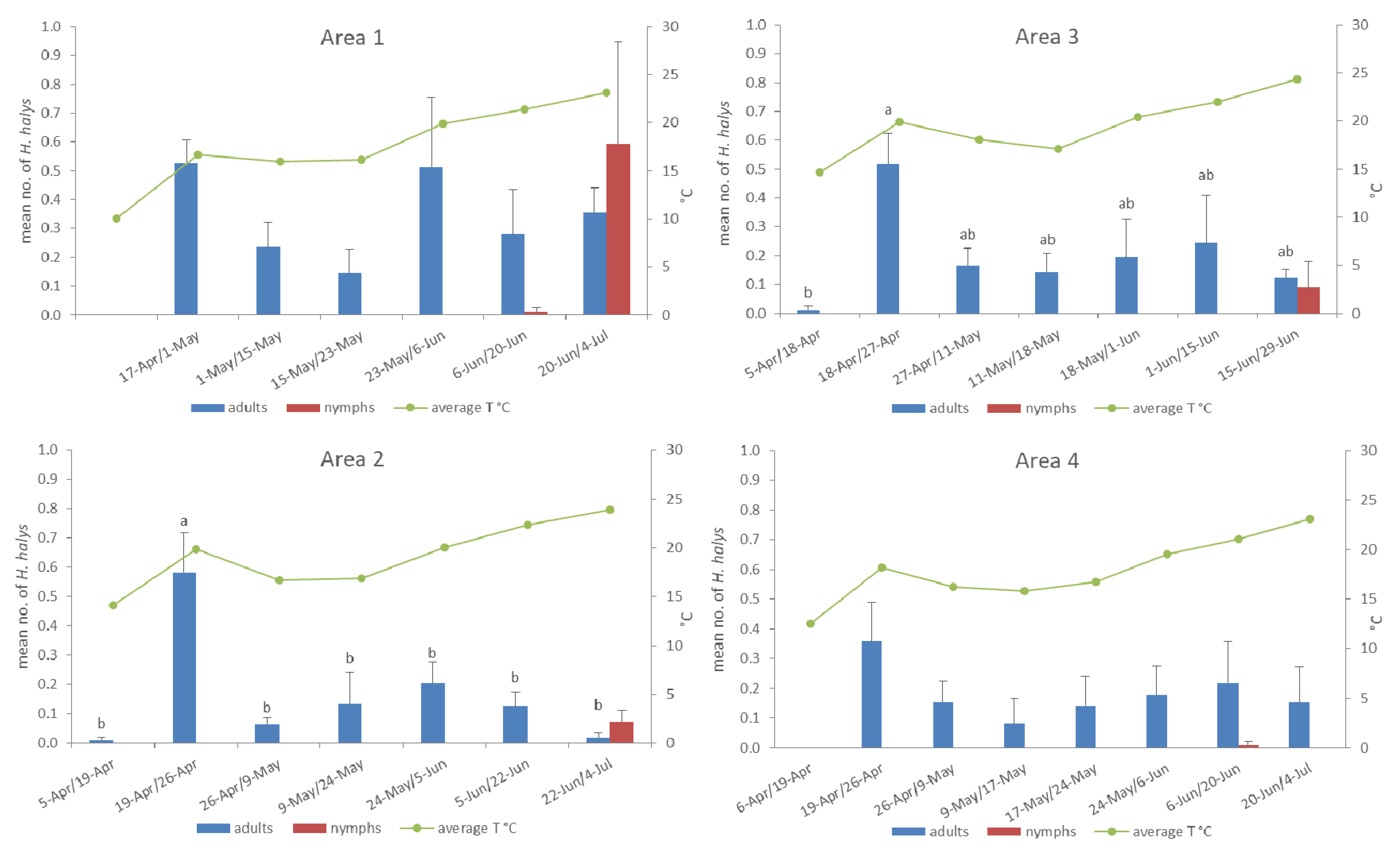
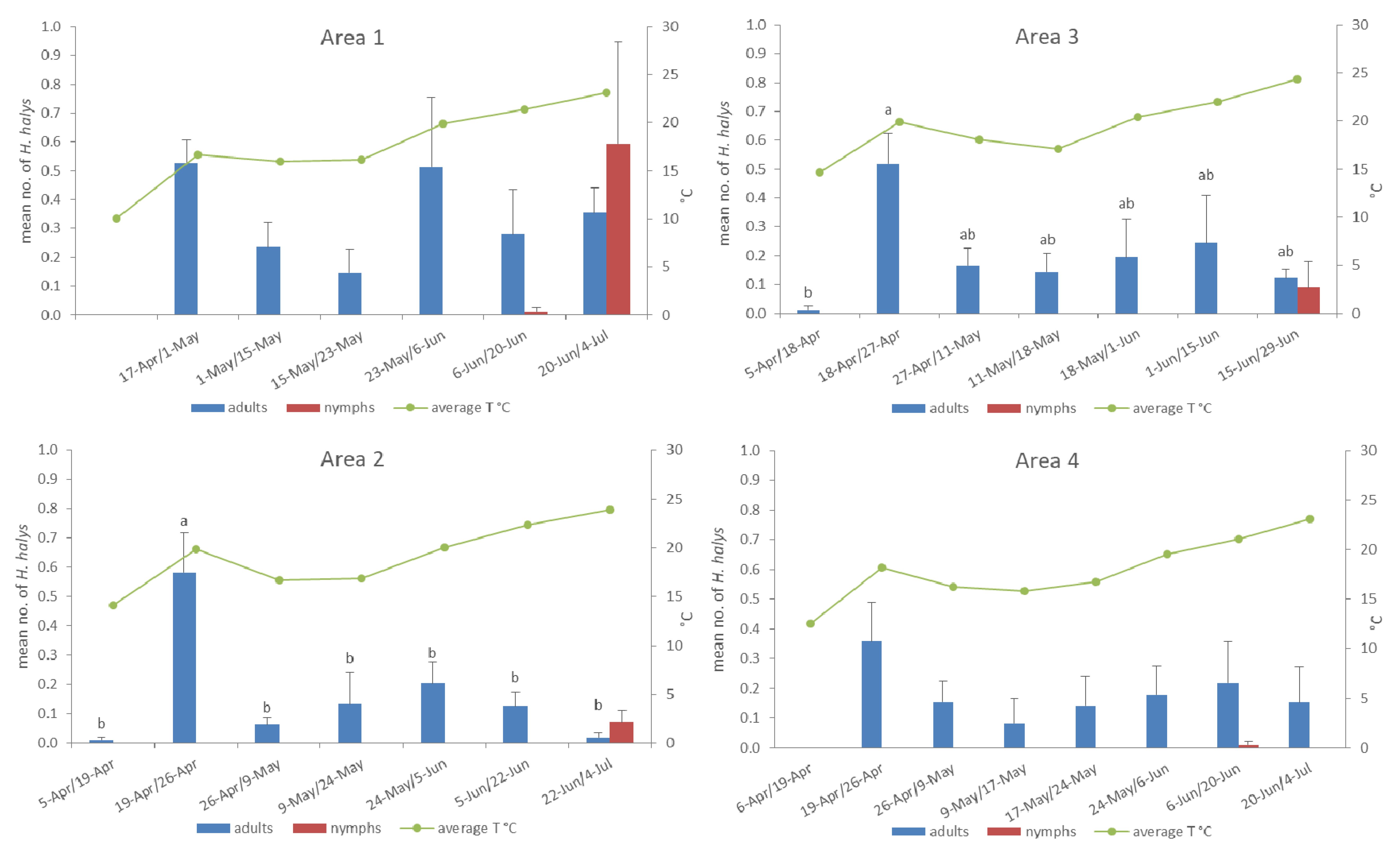
3.2. Early Colonization and Abundance on Host Plants
3.3. Movement and Crop Colonization Tracked with Immunomarking-Capture
4. Discussion
5. Conclusions
Supplementary Materials
Author Contributions
Funding
Acknowledgments
Conflicts of Interest
References
- Leskey, T.; Nielsen, A.L. Impact of the invasive brown marmorated stink bug in North America and Europe: History, biology, ecology, and management. Annu. Rev. Entomol. 2018, 63, 599–618. [Google Scholar] [CrossRef] [PubMed]
- Halyomorpha halys (Brown Marmorated Stink Bug). CABI Invasive Species Compendium. Available online: https://www.cabi.org/isc/datasheet/27377#REF-DDB-183911 (accessed on 5 August 2020).
- Maistrello, L.; Vaccari, G.; Caruso, S.; Costi, E.; Bortolini, S.; Macavei, L.; Foca, G.; Ulrici, A.; Bortolotti, P.P.; Nannini, R.; et al. Monitoring of the invasive Halyomorpha halys, a new key pest of fruit orchards in northern Italy. J. Pest Sci. 2017, 90, 1231–1244. [Google Scholar] [CrossRef]
- Bosco, L.; Moraglio, S.T.; Tavella, L. Halyomorpha halys, a serious threat for hazelnut in newly invaded areas. J. Pest Sci. 2017, 91, 661–670. [Google Scholar] [CrossRef]
- Kuhar, T.P.; Kamminga, K. Review of the chemical control research on Halyomorpha halys in the USA. J. Pest Sci. 2017, 90, 1021–1031. [Google Scholar] [CrossRef]
- Lee, D.-H.; Short, B.D.; Joseph, S.V.; Bergh, J.C.; Leskey, T.C. Review of the biology, ecology, and management of Halyomorpha halys (Hemiptera: Pentatomidae) in China, Japan, and the Republic of Korea. Environ. Entomol. 2013, 42, 627–641. [Google Scholar] [CrossRef] [PubMed]
- Rijal, J.; Gyawaly, S. Characterizing brown marmorated stink bug injury in almond, a new host crop in California. Insects 2018, 9, 126. [Google Scholar] [CrossRef] [PubMed]
- Acebes-Doria, A.; Leskey, T.C.; Bergh, J.C. Host plant effects on Halyomorpha halys (Hemiptera: Pentatomidae) nymphal development and survivorship. Environ. Entomol. 2016, 45, 663–670. [Google Scholar] [CrossRef]
- Lee, D.H.; Leskey, T.C. Flight behavior of foraging and overwintering brown marmorated stink bug, Halyomorpha halys (Hemiptera: Pentatomidae). Bull. Entomol. Res. 2015, 105, 566–573. [Google Scholar] [CrossRef]
- Wiman, N.G.; Walton, V.M.; Shearer, P.W.; Rondon, S.I.; Lee, J.C. Factors affecting flight capacity of brown marmorated stink bug, Halyomorpha halys (Hemiptera: Pentatomidae). J. Pest Sci. 2014, 88, 37–47. [Google Scholar] [CrossRef]
- Lee, D.; Nielsen, A.L.; Leskey, T.C. Dispersal capacity and behavior of nymphal stages of Halyomorpha halys (Hemiptera: Pentatomidae) evaluated under laboratory and field conditions. J. Insect Behav. 2014, 27, 639–651. [Google Scholar] [CrossRef]
- Blaauw, B.R.; Jones, V.P.; Nielsen, A.L. Utilizing immunomarking techniques to track Halyomorpha halys (Hemiptera: Pentatomidae) movement and distribution within a peach orchard. Peer J 2016, 4, e1997. [Google Scholar] [CrossRef] [PubMed]
- Venugopal, P.D.; Dively, G.P.; Lamp, W.O. Spatiotemporal dynamics of the invasive Halyomorpha halys (Hemiptera: Pentatomidae) in and between adjacent corn and soybean fields. J. Econ. Entomol. 2015, 108, 2231–2241. [Google Scholar] [CrossRef] [PubMed]
- Leskey, T.; Hamilton, G.; Nielsen, A.L.; Polk, D.; Rodriguez-Saona, C.; Bergh, J.C.; Herbert, D.A.; Kuhar, T.P.; Pfeiffer, D.; Dively, G.; et al. Pest status of the brown marmorated stink bug, Halyomorpha halys in the USA. Outlooks Pest Manag. 2012, 23, 218–226. [Google Scholar] [CrossRef]
- Lee, D.-H.; Cullum, J.P.; Anderson, J.L.; Daugherty, J.L.; Beckett, L.M.; Leskey, T.C. Characterization of overwintering sites of the invasive brown marmorated stink bug in natural landscapes using human surveyors and detector canines. PLoS ONE 2014, 9, e91575. [Google Scholar] [CrossRef] [PubMed]
- Hancock, T.J.; Lee, D.H.; Bergh, J.C.; Morrison, W.R., III; Leskey, T.C. Presence of the invasive brown marmorated stink bug Halyomorpha halys (Stål) (Hemiptera: Pentatomidae) on home exteriors during the autumn dispersal period: Results generated by citizen scientists. Agric. For. Entomol. 2019, 21, 99–108. [Google Scholar] [CrossRef]
- Rice, K.B.; Bergh, C.J.; Bergmann, E.J.; Biddinger, D.J.; Dieckhoff, C.; Dively, G.; Fraser, H.; Gariepy, T.; Hamilton, G.; Haye, T.; et al. Biology, ecology, and management of brown marmorated stink bug (Hemiptera: Pentatomidae). J. Integr. Pest Manag. 2014, 5, 1–13. [Google Scholar] [CrossRef]
- Panizzi, A.R. Wild hosts of pentatomids: Ecological significance and role in their pest status on crops. Annu. Rev. Entomol. 1997, 42, 99–122. [Google Scholar] [CrossRef]
- Weber, D.C.; Morrison, W.R., III; Khrimian, A.; Rice, K.B.; Leskey, T.C.; Rodriguez-Saona, C.; Nielsen, A.L.; Blaauw, B.R. Chemical ecology of Halyomorpha halys: Discoveries and applications. J. Pest Sci. 2017, 90, 989–1008. [Google Scholar] [CrossRef]
- Morrison, W.R., III; Milonas, P.; Kapantaidaki, D.E.; Cesari, M.; Bella, E.D.; Guidetti, R.; Haye, T.; Maistrello, L.; Moraglio, S.T.; Piemontese, L.; et al. Attraction of Halyomorpha halys (Hemiptera: Pentatomidae) haplotypes in North America and Europe to baited traps. Sci. Rep. 2017, 7, 1–11. [Google Scholar] [CrossRef]
- Blaauw, B.R.; Morrison, W.R., III; Mathews, C.; Leskey, T.C.; Nielsen, A.L. Measuring host plant selection and retention of Halyomorpha halys by a trap crop. Entomol. Exp. Appl. 2017, 163, 197–208. [Google Scholar] [CrossRef]
- Jones, V.P.; Hagler, J.R.; Brunner, J.F.; Baker, C.C.; Wilburn, T.D. An inexpensive immunomarking technique for studying movement patterns of naturally occurring insect populations. Environ. Entomol. 2006, 35, 827–836. [Google Scholar] [CrossRef]
- Lessio, F.; Tota, F.; Alma, A. Tracking the dispersion of Scaphoideus titanus Ball (Hemiptera: Cicadellidae) from wild to cultivated grapevine: Use of a novel mark–capture technique. Bull. Entomol. Res. 2014, 104, 432–443. [Google Scholar] [CrossRef] [PubMed]
- Hagler, J.R. Super Mark It! A review of the protein immunomarking technique. Ann. Entomol. Soc. Am. 2019, 112, 200–210. [Google Scholar] [CrossRef]
- Wallner, A.M.; Hamilton, G.C.; Nielsen, A.L.; Hahn, N.; Green, E.J.; Rodriguez-Saona, C.R. Landscape factors facilitating the invasive dynamics and distribution of the brown marmorated stink bug, Halyomorpha halys (Hemiptera: Pentatomidae), after arrival in the United States. PLoS ONE 2014, 9, e95691. [Google Scholar] [CrossRef]
- Kirkpatrick, D.M.; Acebes-Doria, A.L.; Rice, K.B.; Short, B.D.; Adams, C.G.; Gut, L.J.; Leskey, T.C. Estimating monitoring trap plume reach and trapping area for nymphal and adult Halyomorpha halys (Hemiptera: Pentatomidae) in crop and non-crop habitats. Environ. Entomol. 2019, 48, 1104–1112. [Google Scholar] [CrossRef]
- Morrison, W.R., III; Allen, M.; Leskey, T.C. Behavioural response of the invasive Halyomorpha halys (Hemiptera: Pentatomidae) to host plant stimuli augmented with semiochemicals in the field. Agric. For. Entomol. 2018, 20, 62–72. [Google Scholar] [CrossRef]
- Bergh, J.C.; Morrison, W.R., III; Joseph, S.V.; Leskey, T.C. Characterizing spring emergence of adult Halyomorpha halys using experimental overwintering shelters and commercial pheromone traps. Entomol. Exp. Appl. 2017, 162, 336–345. [Google Scholar] [CrossRef]
- Morrison, W.R., III; Acebes-Doria, A.; Ogburn, E.; Kuhar, T.P.; Walgenbach, J.F.; Bergh, J.C.; Nottingham, L.; Dimeglio, A.; Hipkins, P.; Leskey, T.C. Behavioral response of the brown marmorated stink bug (Hemiptera: Pentatomidae) to semiochemicals deployed inside and outside anthropogenic structures during the overwintering period. J. Econ. Entomol. 2017, 110, 1002–1009. [Google Scholar] [CrossRef]
- Costi, E.; Haye, T.; Maistrello, L. Biological parameters of the invasive brown marmorated stink bug, Halyomorpha halys, in southern Europe. J. Pest Sci. 2017, 90, 1059–1067. [Google Scholar] [CrossRef]
- Martinson, H.M.; Venugopal, P.D.; Bergmann, E.J.; Shrewsbury, P.M.; Raupp, M.J. Fruit availability influences the seasonal abundance of invasive stink bugs in ornamental tree nurseries. J. Pest Sci. 2015, 88, 461–468. [Google Scholar] [CrossRef]
- Formella, A.; Dorman, S.J.; Taylor, S.V.; Kuhar, T.P. Effects of aggregation lure and tree species on Halyomorpha halys (Hemiptera: Pentatomidae) seasonal oviposition. J. Econ. Entomol. 2019, 113, 203–210. [Google Scholar] [CrossRef] [PubMed]
- Hedstrom, C.S.; Shearer, P.W.; Miller, J.C.; Walton, V.M. The effects of kernel feeding by Halyomorpha halys (Hemiptera: Pentatomidae) on commercial hazelnuts. J. Econ. Entomol. 2014, 107, 1858–1865. [Google Scholar] [CrossRef] [PubMed]
- Mathews, C.; Blaauw, B.; Dively, G.; Kotcon, J.; Moore, J.L.; Ogburn, E.; Pfeiffer, D.G.; Trope, T.; Walgenbach, J.F.; Welty, C.; et al. Evaluating a polyculture trap crop for organic management of Halyomorpha halys and native stink bugs in peppers. J. Pest Sci. 2017, 90, 1245–1255. [Google Scholar] [CrossRef]








| Area Characteristics | Sampling Period (No. of Samplings) | Trap Details | |||||||
|---|---|---|---|---|---|---|---|---|---|
| # | Location | Surface Area (ha) | Forest (ha) | # | Surrounding Crops/Tree Rows/Forest | Min. Distance (m) from | |||
| Water | Road | Build. | |||||||
| 1 | Antignano (AT) N: 44°50′ E: 8°08′ 260 m a.s.l. | 13.6 | 61.4 S-SE-SW | traps: 17 Apr–4 Jul (6) plants: 23 Apr–18 Jun (5) | 1 | forest | 338 | 106 | 81 |
| 2 | hazelnut, forest | 114 | 167 | 185 | |||||
| 3 | hazelnut | 218 | 37 | 50 | |||||
| 4 | hazelnut, meadow, wheat | 533 | 36 | 101 | |||||
| 5 | vineyard, maize, apple | 501 | 80 | 55 | |||||
| 6 | maize, meadow | 430 | 44 | 35 | |||||
| 2 | Frossasco (TO) N: 44°56′ E: 7°21′ 376 m a.s.l. | 28.1 | 30.9 N; middle | traps: 5 Apr–4 Jul (7) plants: 20 Apr–22 Jun (6) | 1 | hazelnut, meadow | 888 | 538 | 135 |
| 2 | wheat, meadow, forest | 1002 | 604 | 277 | |||||
| 3 | meadow, ryegrass, forest | 841 | 1080 | 317 | |||||
| 4 | meadow, ryegrass, forest | 603 | 1140 | 243 | |||||
| 5 | maize | 486 | 967 | 113 | |||||
| 6 | maize | 446 | 753 | 195 | |||||
| 3 | Moncestino (AL) N: 45°9′ E: 8°09′ 287 m a.s.l. | 48.1 | 147.4S-SW | traps: 5 Apr–29 Jun (7) plants: 18 Apr–14 Jun (6) | 1 | hazelnut, poplar, sunflower | 317 | 111 | 235 |
| 2 | maize, wheat, poplar, sorghum | 516 | 229 | 193 | |||||
| 3 | maize | 134 | 234 | 110 | |||||
| 4 | maize | 245 | 33 | 174 | |||||
| 5 | forest | 440 | 41 | 168 | |||||
| 6 | maize, forest | 507 | 202 | 315 | |||||
| 4 | Narzole (CN) N: 44°36′ E: 7°52′ 325 m a.s.l. | 50.5 | 86.6 E-NE-N; SW | traps: 6 Apr–4 Jul (8) plants: 19 Apr–22 Jun (7) | 1 | hazelnut, alfalfa | 1 | 108 | 209 |
| 2 | hazelnut, forest | 118 | 277 | 284 | |||||
| 3 | hazelnut, hybrid planes | 15 | 844 | 161 | |||||
| 4 | forest, hazelnut, maples | 43 | 862 | 50 | |||||
| 5 | hazelnut, forest, maples | 5 | 838 | 235 | |||||
| 6 | hazelnut, alfalfa, barley | 1 | 436 | 301 | |||||
| Area | Date | Milk | Egg White | First Capture Date | ||||||
|---|---|---|---|---|---|---|---|---|---|---|
| Site/Plant | Zone a | Vol. (L) b | Trap c | Site/Plant | Zone a | Vol. (L) b | Trap c | |||
| 1 | 17 Apr | rubble, woodshed | A | 28 | 1 | - | 23 Apr | |||
| 23 Apr | - | hazelnut orchard | I | 28 | 4 | 15 May | ||||
| 15 May | peach trees | A | 14 | 1 | oak | H | 28 | 6 | 23 May | |
| 2 | 20 Apr | hazelnut orchard | A | 28 | 1 | wild hazelnut | E | 28 | 4 | 26 Apr |
| 3 | 5 Apr | rubble, | H | 14 | - | - | 18 Apr | |||
| woodshed | 14 | |||||||||
| 18 Apr | rubble, | H | 14 | - | ivy, black locust, oak, chestnut | E | 14 | 5 | 27 Apr | |
| woodshed | 14 | F | 14 | 6 | ||||||
| 4 | 6 Apr | shelter, woodshed | H | 28 | - | - | 19 Apr | |||
| 19 Apr | shelter, woodshed | H | 28 | - | ivy, oak, ash | E | 14 | 4 | 26 Apr | |
| 9 May | shelter, woodshed | H | 28 | - | - | 17 May | ||||
| 17 May | - | cherry, apple, blackthorn | E | 14 | 4 | 21 May | ||||
| Host Plants | April | May | June | Mean No. | Area of Presence | ||||||
|---|---|---|---|---|---|---|---|---|---|---|---|
| Common Name | Family | Scientific Name | II | III | I | II | III | I | II | ||
| peach | Rosaceae | Prunus persica (L.) Batsch | - | ++ | - | +++ | ++ | 3.07 ± 2.06 | 1 | ||
| mulberry | Moraceae | Morus rubra L. | - | - | ++ | ++ | ++ | 1.63 ± 0.78 | 1, 2 | ||
| apple | Rosaceae | Malus domestica Borkh. | + | - | ++ | 1.33 ± 0.88 | 1, 2, 4 | ||||
| common ash | Oleaceae | Fraxinus excelsior L. | - | - | ++ | - | + | +++ | + | 1.24 ± 0.70 | 2, 4 |
| maple | Sapindaceae | Acer spp. | - | - | - | - | - | ++ | ++ | 0.63 ± 0.40 | 1, 2, 3, 4 |
| hybrid plane | Platanaceae | Platanus hispanica Mill. | ++ | - | - | - | - | 0.60 ± 0.60 | 4 | ||
| American pokeweed | Phytolaccaceae | Phytolacca americana L. | + | - | 0.50 ± 0.50 | 2 | |||||
| sorrel | Polygonaceae | Rumex spp. | + | - | 0.50 ± 0.50 | 3, 4 | |||||
| vetch | Fabaceae | Vicia spp. | + | - | 0.50 ± 0.50 | 4 | |||||
| hazelnut | Betulaceae | Corylus avellana L. | - | - | - | - | - | + | ++ | 0.40 ± 0.32 | 1, 2, 3, 4 |
| cherry | Rosaceae | Prunus avium (L.) L. | - | - | + | + | + | + | + | 0.34 ± 0.09 | 1, 2, 3, 4 |
| bay | Lauraceae | Laurus nobilis L. | - | - | + | 0.33 ± 0.33 | 1 | ||||
| black poplar | Salicaceae | Populus spp. | - | - | ++ | - | - | - | 0.33 ± 0.33 | 2, 3, 4 | |
| black walnut | Juglandaceae | Juglans nigra L. | + | - | - | 0.33 ± 0.33 | 2, 3 | ||||
| wild hop | Cannabaceae | Humulus lupulus L. | - | + | - | 0.33 ± 0.33 | 1, 2, 3 | ||||
| European spindletree | Celastraceae | Euonymus europaeus L. | - | + | + | + | - | + | 0.33 ± 0.12 | 2, 3 | |
| ivy | Araliaceae | Hedera helix L. | - | - | - | - | + | ++ | - | 0.30 ± 0.20 | 1, 3, 4 |
| walnut | Juglandaceae | Juglans regia L. | - | + | + | + | + | + | - | 0.29 ± 0.11 | 1, 2, 3, 4 |
| fig | Moraceae | Ficus carica L. | - | - | ++ | - | - | 0.27 ± 0.27 | 1 | ||
| false indigo-bush | Fabaceae | Amorpha fruticosa L. | - | - | + | - | - | 0.20 ± 0.20 | 3 | ||
| black locust | Fabaceae | Robinia pseudoacacia L. | - | - | + | + | + | - | + | 0.18 ± 0.08 | 1, 2, 3, 4 |
| common wheat | Poaceae | Triticum aestivum L. | - | + | - | - | - | + | 0.17 ± 0.11 | 2, 3 | |
| European elder | Adoxaceae | Sambucus nigra L. | - | + | + | - | - | - | + | 0.16 ± 0.10 | 1, 2, 3, 4 |
| bloody dogwood | Cornaceae | Cornus sanguinea L. | - | - | + | - | + | + | - | 0.14 ± 0.07 | 1, 2, 3, 4 |
| elm | Ulmaceae | Ulmus minor Mill. | - | - | - | - | + | + | 0.13 ± 0.09 | 1, 2, 3, 4 | |
| oak | Fagaceae | Quercus spp. | - | + | + | + | - | - | - | 0.11 ± 0.07 | 1, 2, 3, 4 |
| sand grape | Vitaceae | Vitis rupestris Scheele | - | - | - | + | - | 0.10 ± 0.10 | 1, 2, 3 | ||
| blackthorn | Rosaceae | Prunus spinosa L. | - | - | - | - | - | + | 0.08 ± 0.08 | 1, 2 | |
| willow | Salicaceae | Salix spp. | - | - | - | + | - | - | - | 0.07 ± 0.07 | 2, 3, 4 |
Publisher’s Note: MDPI stays neutral with regard to jurisdictional claims in published maps and institutional affiliations. |
© 2020 by the authors. Licensee MDPI, Basel, Switzerland. This article is an open access article distributed under the terms and conditions of the Creative Commons Attribution (CC BY) license (http://creativecommons.org/licenses/by/4.0/).
Share and Cite
Bosco, L.; Nardelli, M.; Tavella, L. First Insights on Early Host Plants and Dispersal Behavior of Halyomorpha halys (Hemiptera: Pentatomidae) from Overwintering to Crop Colonization. Insects 2020, 11, 866. https://doi.org/10.3390/insects11120866
Bosco L, Nardelli M, Tavella L. First Insights on Early Host Plants and Dispersal Behavior of Halyomorpha halys (Hemiptera: Pentatomidae) from Overwintering to Crop Colonization. Insects. 2020; 11(12):866. https://doi.org/10.3390/insects11120866
Chicago/Turabian StyleBosco, Lara, Martina Nardelli, and Luciana Tavella. 2020. "First Insights on Early Host Plants and Dispersal Behavior of Halyomorpha halys (Hemiptera: Pentatomidae) from Overwintering to Crop Colonization" Insects 11, no. 12: 866. https://doi.org/10.3390/insects11120866
APA StyleBosco, L., Nardelli, M., & Tavella, L. (2020). First Insights on Early Host Plants and Dispersal Behavior of Halyomorpha halys (Hemiptera: Pentatomidae) from Overwintering to Crop Colonization. Insects, 11(12), 866. https://doi.org/10.3390/insects11120866
