Annual Abundance and Population Structure of Two Dung Beetle Species in a Human-Modified Landscape
Abstract
1. Introduction
2. Material and Methods
2.1. Study Area
2.2. Mark-Recapture of Dung Beetles
2.3. Environmental Variables
2.4. Data Analysis
2.4.1. Annual Variation in Abundance and Environmental Variables
2.4.2. Population Structure
3. Results
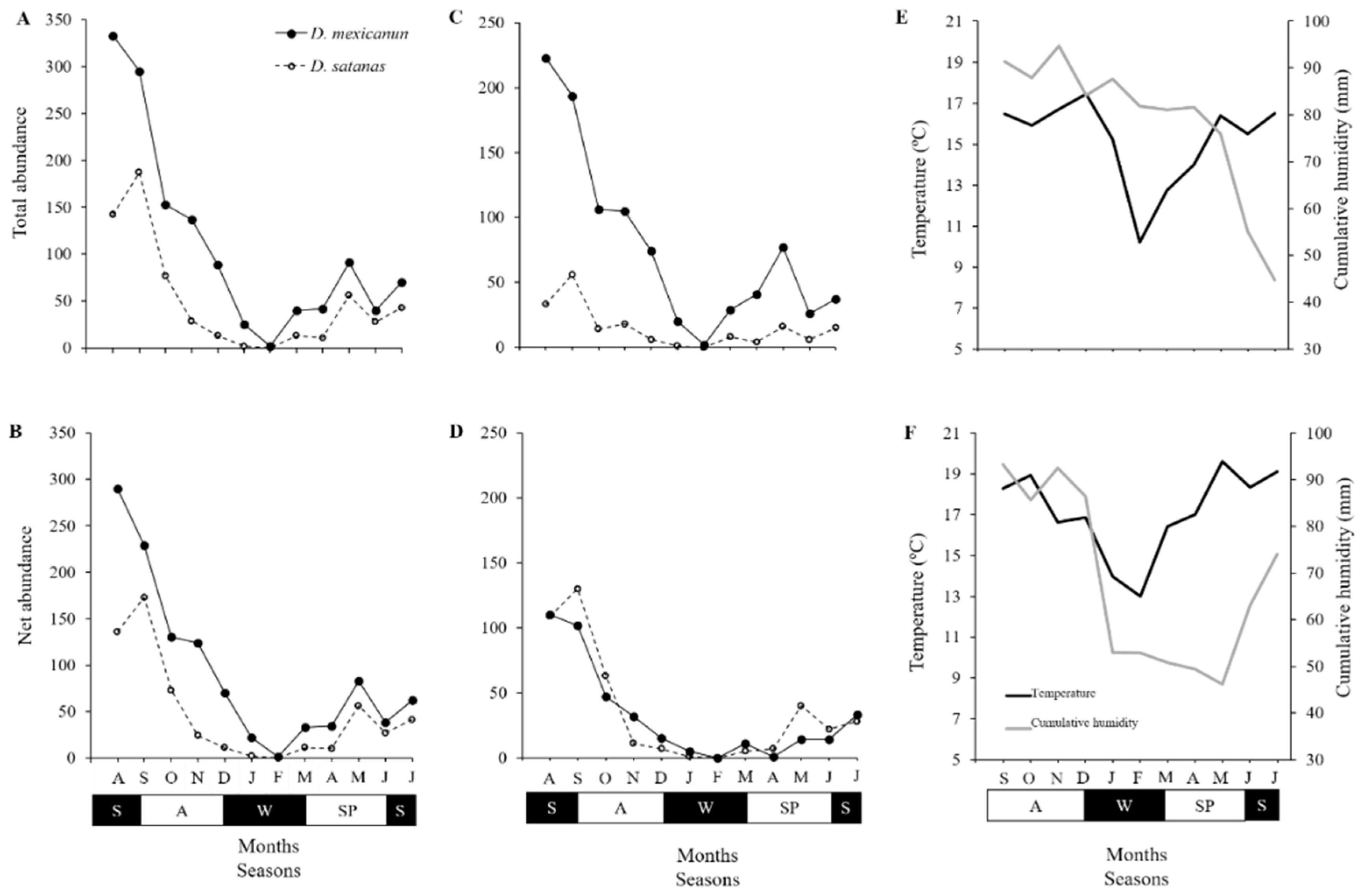
3.1. Annual Variation in Abundance and Environmental Variables
3.2. Population Structure
4. Discussion
5. Conclusions
Supplementary Materials
Author Contributions
Funding
Acknowledgments
Conflicts of Interest
References
- Clark, L.R.; Geier, P.W.; Hugues, R.D.; Morris, R.F. The Ecology of Insect Populations in Theory and Practice, 4th ed.; The English Language Book Society and Methuen Book Society: London, UK, 1978; pp. 1–24. ISBN 416766900. [Google Scholar]
- Pulliam, H.R.; Dunning, J.B. Demographic Processes: Population dynamics on Heterogeneous Landscape. In Principles of Conservation Biology, 1st ed.; Meffe, G.K., Carroll, C.R., Eds.; Sinauer Associates, Inc.: Sunderland, MA, USA, 1994; pp. 180–182. ISBN 0878935195. [Google Scholar]
- Williams, B.K.; Nichols, J.D.; Conroy, M.J. Analysis and Management of Animal Populations, 1st ed.; Academic Press: San Diego, CA, USA, 2002; pp. 3–9. ISBN 0127544062. [Google Scholar]
- Roy, D.B.; Rothery, P.; Moss, D.; Pollard, E.; Thomas, J.A. Butterfly numbers and weather: Predicting historical trends in abundance and the future effects of climate change. J. Anim. Ecol. 2001, 70, 201–217. [Google Scholar] [CrossRef]
- Daszak, P.; Cunningham, A.A.; Hyatt, A.D. Infectious disease and amphibian population declines. Divers. Distrib. 2003, 9, 141–150. [Google Scholar] [CrossRef]
- Lemoine, N.; Bauer, H.G.; Peintinger, M.; Bohning-Gaese, K. Effects of climate and land-use change on species abundance in a central European bird community. Conserv. Biol. 2007, 21, 495–503. [Google Scholar] [CrossRef] [PubMed]
- Wolda, H. Insect seasonality: Why? Annu. Rev. Ecol. Syst. 1988, 19, 1–18. [Google Scholar] [CrossRef]
- Kishimoto-Yamada, K.; Itioka, T. How much have we learned about seasonality in tropical insect abundance since Wolda (1988)? Entomol. Sci. 2015, 18, 407–419. [Google Scholar] [CrossRef]
- Gill, H.K.; Goyal, G.; Chahil, G. Insect Diapause: A Review. J. Agric. Sci. Technol. 2017, 7, 454–473. [Google Scholar] [CrossRef]
- Birch, L.C. The intrinsic rate of natural increase of an insect population. J. Anim. Ecol. 1948, 17, 15–26. [Google Scholar] [CrossRef]
- Varley, G.C.; Gradwell, G.R.; Hassell, M.P. Insect Population Ecology: An Analytical Approach, 1st ed.; University of California Press: Oakland, CA, USA, 1973; pp. 75–93. ISBN 0520026675. [Google Scholar]
- Rebaudo, F.; Rabhi, V.-B. Modeling temperature-dependent development rate and phenology in insects: Review of major developments, challenges, and future directions. Entomol. Exp. Appl. 2018, 166, 607–617. [Google Scholar] [CrossRef]
- Pianka, E.R. Latitudinal gradients in species diversity: A review of concepts. Am. Nat. 1966, 910, 33–46. [Google Scholar] [CrossRef]
- Scalco, V.W.; De Morais, A.B.B.; Romanowski, H.P.; Mega, N.O. Population dynamics of the swallowtail butterfly Battus polystictus polystictus (Butler) (Lepidoptera: Papilionidae) with notes on its natural history. Neotrop. Entomol. 2016, 45, 33–43. [Google Scholar] [CrossRef]
- Young, A.M. Population Biology of Tropical Insects, 1st ed.; Plenum Press: New York, NY, USA, 1982; pp. 273–333. ISBN 0306408430. [Google Scholar]
- Danks, H.V. The elements of seasonal adaptations in insects. Can. Entomol. 2007, 139, 1–44. [Google Scholar] [CrossRef]
- Gurevitch, J.; Fox, G.A.; Fowler, N.L.; Graham, C.H. Landscape demography: Population change and its drivers across spatial scales. Q. Rev. Biol. 2016, 91, 459–485. [Google Scholar] [CrossRef] [PubMed]
- Fred, M.S.; O’Hara, R.B.; Brommer, J.E. Consequences of the spatial configuration of resources for the distribution and dynamics of the endangered Parnassius apollo butterfly. Biol. Cons. 2006, 130, 183–192. [Google Scholar] [CrossRef]
- Hodgson, J.A.; Thomas, C.D.; Oliver, T.H.; Anderson, B.J.; Brereton, T.M.; Crone, E.E. Predicting insect phenology across space and time. Glob. Chang. Biol. 2011, 17, 1289–1300. [Google Scholar] [CrossRef]
- Nichols, E.S.; Gardner, T.A. Dung beetles as a candidate study taxon in applied biodiversity conservation research. In Ecology and Evolution of Dung Beetles, 1st ed.; Simmons, L.W., Ridsdill-Smith, T.J., Eds.; Blackwell Publishing Ltd.: Chichester, UK, 2011; pp. 267–290. ISBN 9781444333152. [Google Scholar]
- Barretto, J.W.; Cultid-Medina, C.A.; Escobar, F. Population Ecology of Dung Beetle (Scarabaeinae): A Review. unpublished.
- Roslin, L.W.; Viljanen, T.J. Dung beetle populations: Structure and consequences. In Ecology and Evolution of Dung Beetles, 1st ed.; Simmons, L.W., Ridsdill-Smith, T.J., Eds.; Blackwell Publishing Ltd.: Chichester, UK, 2011; pp. 267–290. ISBN 9781444333154112. [Google Scholar]
- Peck, S.B.; Forsyth, A. Composition, structure, and competitive behaviour in a guild of Ecuadorian rain forest dung beetles (Coleoptera; Scarabaeidae). Can. J. Zool. 1982, 60, 1624–1634. [Google Scholar] [CrossRef]
- Roslin, T.; Avomaa, T.; Leonard, M.; Luoto, M.; Ovaskainen, O. Some like it hot: Microclimatic variation affects the abundance and movements of a critically endangered dung beetle. Insect Conserv. Divers. 2009, 2, 232–241. [Google Scholar] [CrossRef]
- Cultid-Medina, C.A.; Martínez-Quintero, B.G.; Escobar, F.; de Ulloa, P.C. Movement and population size of two dung beetle species in an Andean agricultural landscape dominated by sun-grown coffee. J. Insect Conserv. 2015, 19, 617–626. [Google Scholar] [CrossRef]
- Carey, J.R. Applied Demography for Biologists: With Special Emphasis on Insects, 1st ed.; Oxford University Press: New York, NY, USA, 1993; pp. 140–180. ISBN 0195066871. [Google Scholar]
- Sutherland, W.J. From Individual Behavior to Population Ecology, 1st ed.; Oxford University Press: Oxford, UK, 1996; pp. 103–116. ISBN 0198549113. [Google Scholar]
- Forrest, J.; Miller-Rushing, A.J. Toward a synthetic understanding of the role of phenology in ecology and evolution. Philos. Trans. R. Soc. Lond. B Biol. Sci. 2010, 365, 3101–3112. [Google Scholar] [CrossRef]
- CONABIO. El Bosque Mesófilo de Montaña en México: Amenazas y Oportunidades para su Conservación y Manejo Sostenible; Comisión Nacional para el Conocimiento y Uso de la Biodiversidad: Tlalpan, Distrito Federal, Mexico, 2010. [Google Scholar]
- Pineda, E.; Moreno, C.; Escobar, F.; Halffter, G. Frog, bat, and dung beetle diversity in the cloud forest and coffee agroecosystems of Veracruz, Mexico. Conserv. Biol. 2005, 19, 400–410. [Google Scholar] [CrossRef]
- Halffter, G.; Pineda, E.; Arellano, L.; Escobar, F. Instability of copronecrophagous beetle assemblages (Coleoptera: Scarabaeinae) in a mountainous tropical landscape of Mexico. Environ. Entomol. 2007, 36, 1397–1407. [Google Scholar] [CrossRef]
- Rös, M.; Escobar, F.; Halffter, G. How dung beetles respond to a human modified variegated landscape in Mexican cloud forest: A study of biodiversity integrating ecological and biogeographical perspectives. Divers. Distrib. 2012, 18, 377–389. [Google Scholar] [CrossRef]
- Alvarado, F.; Escobar, F.; Montero-Muñoz, J. Diversity and biogeographical makeup of the dung beetle communities inhabiting two mountains in the Mexican Transition Zone. Org. Divers. Evol. 2014, 14, 105–114. [Google Scholar] [CrossRef]
- Arellano, L.; Favila, M.E.; Huerta, C. Diversity of dung and carrion beetles in Mexican fragmented tropical montane cloud forests and shade coffee plantations. Biodivers. Conserv. 2005, 14, 601–615. [Google Scholar] [CrossRef]
- Williams-Linera, G.; Vizcaíno-Bravo, Q. Cloud forests on rock outcrop and volcanic soil differ in indicator tree species in Veracruz, Mexico. Rev. Mex. Biodivers. 2016, 87, 1265–1274. [Google Scholar] [CrossRef]
- Williams-Linera, G. Tree species richness complementarity, disturbance y fragmentation in a Mexican tropical montane cloud forest. Biodivers. Conserv. 2002, 11, 1825–1843. [Google Scholar] [CrossRef]
- Williams-Linera, G.; Toledo-Garibaldi, M.; Gallardo, H.C. How heterogeneous are the cloud forest communities in the mountains of central Veracruz, Mexico. Plant Ecol. 2013, 214, 685–701. [Google Scholar] [CrossRef]
- Cultid-Medina, C.A.; Medina, C.A.; Martínez, B.; Escobar, A.F.; Constantino, L.M.; Betancur, N. Escarabajos Coprófagos (Scarabaeinae) del Eje Cafetero: Guía para el Estudio Ecológico; WCS–Colombia, CENICAFÉ y la Federación Nacional de Cafeteros: Caldas, Colombia, 2012; pp. 107–112. ISBN 9789589892756. [Google Scholar]
- Martínez-Quintero, B.; Cultid-Medina, C.A.; Rudas-Grajales, J. Método para marcar escarabajos coprófagos (Coleoptera: Scarabaeinae) y su implementación en los Andes de Colombia. Acta Zool. Mex. 2013, 29, 448–451. [Google Scholar]
- Halffter, G.; Edmonds, W.D. Nesting Behavior of Dung Beetles (Scarabaeinae), 1st ed.; Man and Biosphere Program—UNESCO: Tlalpan, Distrito Federal, Mexico, 1982. [Google Scholar]
- Zuur, A.F.; Ieno, E.N.; Walker, N.; Saveliev, A.A.; Smith, G.M. Mixed Effects Models and Extensions in Ecology with R, 1st ed.; Springer: New York, NY, USA, 2009; pp. 209–259. ISBN 9780387874586. [Google Scholar]
- Buckley, Y.M. Generalized linear models. In Ecological Statistics: Contemporary Theory and Application, 1st ed.; Fox, G.A., Negrete-Yankelevich, S., Sosa, V.J., Eds.; Oxford University Press: Oxford, UK, 2015; pp. 131–147. ISBN 978019967255. [Google Scholar]
- Burnham, K.P.; Anderson, D.R. Model Selection and Multimodel Inference: A Practical Information-Theoretic Approach, 2nd ed.; Springer: New York, NY, USA, 2002; pp. 66–67. ISBN 0387953647. [Google Scholar]
- R Core Team. R: A Language and Environment for Statistical Computing; R foundation for Statistical Computing: Vienna, Austria, 2015. [Google Scholar]
- Wilson, K.; Hardy, I.C.W. Statistical analysis of sex ratios: An introduction. In Sex Ratios: Concepts and Research Methods, 1st ed.; Hardy, I.C.W., Ed.; Cambridge University Press: New York, NY, USA, 2002; pp. 48–92. ISBN 978052181896. [Google Scholar]
- Ancona, S.; Dénes, F.V.; Krüger, O.; Székely, T.; Beissinger, S.R. Estimating adult sex ratios in nature. Philos. Trans. R. Soc. Lond. B Biol. Sci. 2017, 372, 20160313. [Google Scholar] [CrossRef]
- Jolly, G.M. Explicit estimates from capture-recapture data with boht death and immigration stochastic model. Biometrika 1965, 1, 225–247. [Google Scholar] [CrossRef]
- Seber, G.A. A note on the multiple-recapture census. Biometrika 1965, 52, 249–259. [Google Scholar] [CrossRef] [PubMed]
- Allen, K.A.; Thompson, D.J. Population size y survival estimates for the rare damselflies, Coenagrion mercuriale and Ischnura pumilio. Insect Conserv. Divers. 2014, 7, 241–251. [Google Scholar] [CrossRef]
- Fox, J.; Weisberg, S. An R Companion to Applied Regression, 2nd ed.; SAGE Publication: Thousand Oaks, CA, USA, 2011; pp. 229–328. ISBN 978412975148. [Google Scholar]
- Hanski, I.; Cambefort, Y. Dung Beetle Ecology, 1st ed.; Princeton University Press: Princeton, NJ, USA, 1991; pp. 179–229. ISBN 0691087393. [Google Scholar]
- Huerta, C.; Halffter, G.; Halffter, V. Nidification in Eurysternus foedus Guérin-Méneville: Its relationship to other dung beetle nesting patterns (Coleoptera: Scarabaeidae, Scarabaeinae). Folia Entomológica Mexicana 2005, 44, 74–84. [Google Scholar]
- Huerta, C.; Anduaga, S.; Halffter, G.; Portillo-Lopez, J. Use of food and space by tunneler dung beetles (Coleoptera; Scarabaeinae) during reproduction. Environ. Entomol. 2010, 39, 1165–1169. [Google Scholar] [CrossRef] [PubMed]
- Janzen, D.H. Seasonal change in abundance of large nocturnal dung beetles (Scarabaeidae) in a Costa Rican deciduous forest and adjacent horse pasture. Oikos 1983, 41, 274–283. [Google Scholar] [CrossRef]
- Andresen, E. Effects of season and vegetation type on community organization of dung beetles in a tropical dry forest. Biotropica 2005, 37, 291–300. [Google Scholar] [CrossRef]
- Halffter, G.; Matthews, E.G. The Natural History of Dung Beetles of the Subfamily Scarabaeinae (Coleoptera, Scarabaeidae), 1st ed.; Folia Entomol. Mex.: Mexico, Distrito Federal, Mexico, 1966. [Google Scholar]
- Bang, H.S.; Crespo, C.H.; Na, Y.E.; Han, M.S.; Lee, J.H. Reproductive development and seasonal activity of two Korean native Coprini species (Coleoptera: Scarabaeidae). J. Asia Pac. Entomol. 2008, 11, 195–199. [Google Scholar] [CrossRef]
- Davis, A.L.; Swemmer, A.M.; Scholtz, C.H.; Deschodt, C.M.; Tshikae, B.P. Roles of environmental variables and land usage as drivers of dung beetle assemblage structure in mopane woodland. Austral Ecol. 2014, 39, 313–327. [Google Scholar] [CrossRef]
- Sánchez-de-Jesús, H.A.; Arroyo-Rodríguez, V.; Andresen, E.; Escobar, F. Forest loss and matrix composition are the major drivers shaping dung beetle assemblages in a fragmented rainforest. Landsc. Ecol. 2016, 31, 843–854. [Google Scholar] [CrossRef]
- Alvarado, F.; Andrade, E.R.; Santos, B.A.; Prescott, G.; Souza, G.; Escobar, F. Forest cover is more important than farmland heterogeneity and livestock intensification for the retention of dung beetle phylogenetic diversity. Ecol. Indic. 2018, 93, 524–532. [Google Scholar] [CrossRef]
- Silva, P.G.; Hernández, M.I.M. Spatial patterns of movement of dung beetle species in a tropical forest suggest a new trap spacing for dung beetle biodiversity studies. PLoS ONE 2015, 10, e0126112. [Google Scholar] [CrossRef] [PubMed]
- Joseph, H.C. El Pinotus torulosus Eschsch. Rev. Chil. Hist. Nat. 1929, 33, 31–46. [Google Scholar]
- Oberholzer, J.J. A description of the third-stage larva of Onitis caffer Bohem. (Copridae: Col.) with notes on its biology. S. Afr. J. Agric. Sci. 1958, 1, 415–422. [Google Scholar]
- Edwards, P.B. Field ecology of a brood-caring dung beetle Kheper nigroaeneus—habitat predictability and life history strategy. Oecologia 1988, 75, 527–534. [Google Scholar] [CrossRef] [PubMed]
- Paschalidis, K.M. The Genus Sisyphus Latr (Coleoplera, Scarabaeidae) in Southern Africa. Master’s Thesis, Rhodes University, Grahamstown, South Africa, 1975. [Google Scholar]
- Tyndale-Biscoe, M. Physiological age-grading in females of the dung beetle Euoniticellus intermedius (Reiche) (Coleoptera: Scarabaeidae). Bull. Entomol. Res. 1978, 68, 207–217. [Google Scholar] [CrossRef]
- Charnov, E.L.; Los-den Hartogh, R.L.; Jones, W.T.; van den Assem, J. Sex ratio evolution in a variable environment. Nature 1981, 289, 27–33. [Google Scholar] [CrossRef] [PubMed]
- Veran, S.; Beissinger, S.R. Demographic origins of skewed operational and adult sex ratios: Perturbation analyses of two-sex models. Ecol. Lett. 2009, 12, 129–143. [Google Scholar] [CrossRef]
- Székely, T.; Weissing, F.J.; Komdeur, J. Adult sex ratio variation: Implications for breeding system evolution. J. Evol. Biol. 2014, 27, 1500–1512. [Google Scholar] [CrossRef]
- Wilson, E.O. Sociobiology: The New Synthesis; Harvard University Press: Cambridge, UK, 1975; ISBN 9780674002357. [Google Scholar]
- Bessa-Gomes, C.; Legendre, S.; Clobert, J. Allee effects, mating systems and the extinction risk in populations with two sexes. Ecol. Lett. 2004, 7, 802–812. [Google Scholar] [CrossRef]
- Moczek, A.P. The behavioral ecology of threshold evolution in a polyphenic beetle. Behav. Ecol. 2003, 6, 841–854. [Google Scholar] [CrossRef]
- Pomfret, J.C.; Knell, R.J. Crowding, sex ratio y horn evolution in a South African beetle community. Proc. R. Soc. Lond. B Biol. Sci. 2008, 275, 315–321. [Google Scholar] [CrossRef] [PubMed]
- Arellano, L.; León-Cortés, J.L.; Ovaskainen, O. Patterns of abundance and movement in relation to landscape structure: A study of a common scarab (Canthon cyanellus cyanellus) in Southern Mexico. Landsc. Ecol. 2008, 23, 69–78. [Google Scholar] [CrossRef]
- Villada-Bedoya, S.; Cultid-Medina, C.A. Estructura poblacional de dos especies de Dichotomius Hope, 1838 (Coleoptera: Scarabaeinae) en un paisaje cafetero de Los Andes Occidentales de Colombia, Risaralda. Boletín Científico—Museo de Historia Natural 2017, 21, 188–198. [Google Scholar] [CrossRef]
- Barretto, J.W.; Cultid-Medina, C.A.; Escobar, F. Spatial distribution and movement of two dung beetle species (Coleoptera: Scarabaeinae) in a human-modified landscape. Manuscript in preparation.
- Samways, J.; McGeoch, A.M.; New, T.R. Estimating population size and condition. In Insect Conservation: Approaches and Methods, 1st ed.; Samways, J., McGeoch, A.M., New, T.R., Eds.; Oxford University Press Inc.: New York, NY, USA, 2010; pp. 161–206. ISBN 9780199298235. [Google Scholar]
- Hanski, I. Epilogue. In Dung Beetle Ecology, 1st ed.; Hanski, I., Cambefort, Y., Eds.; Princeton University Press: Princeton, NJ, USA, 1991; pp. 366–371. ISBN 0691087393. [Google Scholar]




© 2018 by the authors. Licensee MDPI, Basel, Switzerland. This article is an open access article distributed under the terms and conditions of the Creative Commons Attribution (CC BY) license (http://creativecommons.org/licenses/by/4.0/).
Share and Cite
Barretto, J.W.; Cultid-Medina, C.A.; Escobar, F. Annual Abundance and Population Structure of Two Dung Beetle Species in a Human-Modified Landscape. Insects 2019, 10, 2. https://doi.org/10.3390/insects10010002
Barretto JW, Cultid-Medina CA, Escobar F. Annual Abundance and Population Structure of Two Dung Beetle Species in a Human-Modified Landscape. Insects. 2019; 10(1):2. https://doi.org/10.3390/insects10010002
Chicago/Turabian StyleBarretto, Julliana W., Carlos A. Cultid-Medina, and Federico Escobar. 2019. "Annual Abundance and Population Structure of Two Dung Beetle Species in a Human-Modified Landscape" Insects 10, no. 1: 2. https://doi.org/10.3390/insects10010002
APA StyleBarretto, J. W., Cultid-Medina, C. A., & Escobar, F. (2019). Annual Abundance and Population Structure of Two Dung Beetle Species in a Human-Modified Landscape. Insects, 10(1), 2. https://doi.org/10.3390/insects10010002

