Controllable Sliding Bearings and Controllable Lubrication Principles—An Overview †
Abstract
1. Introduction
2. Strategies for Rendering Adaptability and Multi-Functionality to Sliding Bearings
3. Controllable Lubrication Principles Applied to Sliding Bearings
3.1. From Aerostatic, Aerodynamic and Hybrid to Controllable and Active Gas Bearings
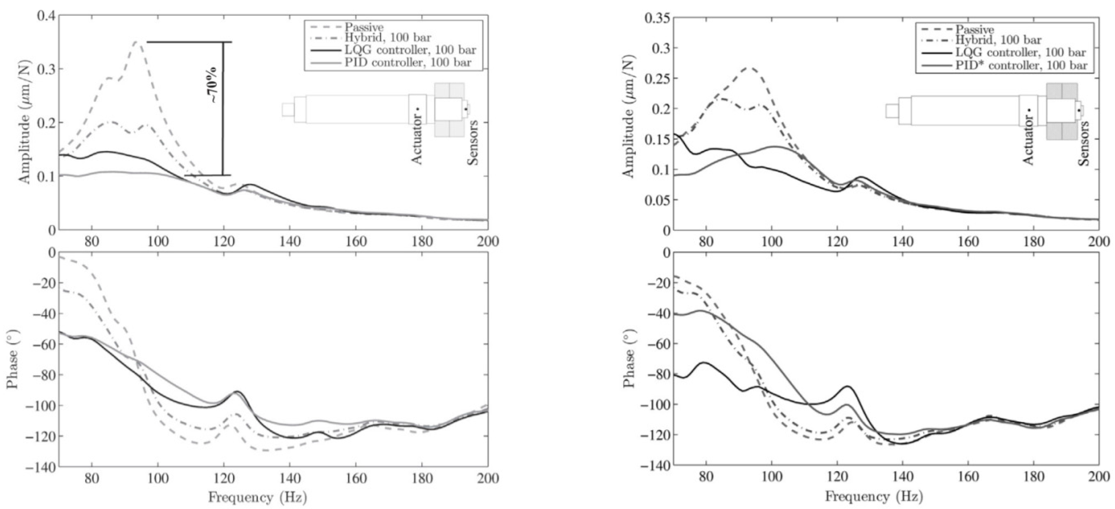
3.2. From Hydrostatic, Hydrodynamic and Hybrid to Controllable and Active Oil Bearings
4. Additional Achievements and New Bearing Features in Industry 4.0
5. A Fully-Instrumented Test Bench and Large Amount of Data for Model Validation
6. Industrial Application
7. Conclusions and Future Aspects
Conflicts of Interest
References
- Lee, E.A. Cyber Physical Systems: Design Challenges. In Proceedings of the 11th IEEE International Symposium on Object Oriented Real-Time Distributed Computing (ISORC), Orlando, FL, USA, 5–7 May 2008; pp. 363–369. [Google Scholar]
- Schmidt, R.; Möhring, M.; Härting, R.C.; Reichstein, C.; Neumaier, P.; Jozinović, P. Industry 4.0—Potentials for Creating Smart Products: Empirical Research Results. In Business Information Systems; Lecture Notes in Business Information Processing; Abramowicz, W., Ed.; Springer: Berlin/Heidelberg, Germany, 2015; Volume 208, pp. 16–27. [Google Scholar]
- Brynjolfsson, E.; McAfee, A. The Second Machine Age: Work, Progress, and Prosperity in a Time of Brilliant Technologies; W.W. Norton & Company: New York, NY, USA, 2014. [Google Scholar]
- Brynjolfsson, E.; Hofmann, P.; Jordan, J. Cloud Computing and Electricity: Beyond the Utility Model. Commun. ACM 2010, 53, 32–34. [Google Scholar] [CrossRef]
- Schmidt, R. Industrie 4.0—Revolution oder evolution. Wirtsch. Ostwürtt 2013, 4–7. [Google Scholar]
- Beckert, S. Empire of Cotton: A Global History; Knopf: New York, NY, USA, 2014. [Google Scholar]
- Mühlhäuser, M. Smart Products: An Introduction. In Constructing Ambient Intelligence; Mühlhäuser, M., Ferscha, A., Aitenbichler, E., Eds.; Springer: Berlin/Heidelberg, Germany, 2008; pp. 158–164. [Google Scholar]
- Miche, M.; Schreiber, D.; Hartmann, M. Core Services for Smart Products. In Proceedings of the 3rd European Workshop on Smart Products, Salzburg, Austria, 18–21 November 2009; pp. 1–4. [Google Scholar]
- Santos, I.F. On the Future of Controllable Fluid Film Bearings. Mech. Ind. 2011, 12, 275–281. [Google Scholar] [CrossRef]
- Janocha, H. Neue Aktoren aus Sicht der Mechatronik, Kolloquium Aktoren in Mechatronischen Systemen; Nordmann, R., Isermann, R., Eds.; Fortschritt-Berichte VDI, Reihe 8, Nr. 743; VDI Verlag: Düsseldorf, Germany, 1999; pp. 1–13. [Google Scholar]
- Janocha, H. Adaptronics and Smart Structures—Basics, Materials, Design and Applications; Springer: Berlin, Germany, 1999. [Google Scholar]
- Santos, I.F. Trends in Controllable Oil Film Bearings, Emerging Trends in Rotor Dynamics; IUTAM Bookseries, Volume 1011; Springer: Dordrecht, The Netherlands, 2011; pp. 185–199. [Google Scholar]
- Santos, I.F. Design and evaluation of two types of active tilting pad journal bearings. In The Active Control of Vibration; Mechanical Engineering Publications: London, UK, 1994; pp. 79–87. [Google Scholar]
- Bently, D.E.; Grant, J.W.; Hanifan, P.C. Active Controlled Hydrostatic Bearings for a New Generation of Machines. ASME 2000, V002T03A011. [Google Scholar] [CrossRef]
- Bently, D.E.; Eldridge, T.; Jensen, J.; Mol, P. Externally Pressurized Bearings Allow Rotor Dynamic Optimization. VDI Ber. 2001, 1640, 49–62. [Google Scholar]
- Morosi, S.; Santos, I.F. Active Lubrication Applied to Radial Gas Journal Bearings. Part 1: Modelling. Tribol. Int. 2011, 44, 1949–1958. [Google Scholar] [CrossRef]
- Morosi, S.; Santos, I.F. Experimental Investigations of Active Air Bearings. ASME 2012, 901–910. [Google Scholar] [CrossRef]
- Pierart, F.; Santos, I.F. Steady State Characteristics of an Adjustable Hybrid Gas Bearing—CFD, Modified Reynolds Equation and Experimental Validation. Proc. Inst. Mech. Eng. Part J J. Eng. Tribol. 2015, 229, 807–822. [Google Scholar] [CrossRef]
- Ulbrich, H.; Althaus, J. Actuator Design for Rotor Control. In Proceedings of the 12th Biennial ASME Conference on Vibration and Noise, Montreal, QC, Canada, 17–21 September 1989; pp. 17–21. [Google Scholar]
- Cai, Z.; de Queiroz, M.S.; Khonsari, M.M. On the Active Stabilization of Tilting-Pad Journal Bearings. J. Sound Vib. 2004, 273, 421–428. [Google Scholar] [CrossRef]
- Deckler, D.C.; Veillette, R.J.; Braun, M.J.; Choy, F.K. Simulation and Control of an Active Tilting-Pad Journal Bearing. Tribol. Trans. 2004, 47, 440–458. [Google Scholar] [CrossRef]
- Santos, I.F. Aktive Kippsegmentlagerung—Theorie und Experiment; VDI Fortschritt—Berichte, Reihe 11: Schwingungstechnik, Nr. 189; VDI Verlag: Düsseldorf, Germany, 1993; p. 112. [Google Scholar]
- Krodkiewski, J.M.; Sun, L. Modelling of Multi-Bearing Rotor System Incorporating an Active Journal Bearing. J. Sound Vib. 1998, 210, 215–229. [Google Scholar] [CrossRef]
- Sun, L.; Krodkiewski, J.M.; Cen, Y. Self-Tuning Adaptive Control of Forced Vibration in Rotor Systems Using an Active Journal Bearing. J. Sound Vib. 1998, 213, 1–14. [Google Scholar] [CrossRef]
- Sun, L.; Krodkiewski, J.M. Experimental Investigation of Dynamic Properties of an Active Journal Bearing. J. Sound Vib. 2000, 230, 1103–1117. [Google Scholar] [CrossRef]
- Chasalevri, A.; Dohnal, F. Improving stability and operation of turbine rotors using adjustable journal bearings. Tribol. Int. 2016, 104, 369–382. [Google Scholar] [CrossRef]
- Goodwin, M.J.; Boroomand, T.; Hooke, C.J. Variable Impedance Hydrodynamic Journal Bearings for Controlling Flexible Rotor Vibrations. In Proceedings of the 12th Biennial ASME Conference on Vibration and Noise, Montreal, QC, Canada, 17–21 September 1989; pp. 261–267. [Google Scholar]
- Lin, C.R.; Rylander, H.G., Jr. Performance Characteristics of Compliant Journal Bearings. ASME Trans. J. Tribol. 1991, 113, 639–644. [Google Scholar] [CrossRef]
- Rylander, H.G.; Carlson, M.J.T.; Lin, C.R. Actively-controlled bearing surface profiles—Theory and experiment. In Proceedings of the 1995 American Society of Mechanical Engineers (ASME) Energy Sources Technology Conference and Exhibition, Houston, TX, USA, 29 January–1 February 1995; pp. 11–14. [Google Scholar]
- Osman, T.A.; Nada, G.S.; Safar, Z.S. Static and Dynamic Characteristics of Magnetised Journal Bearings Lubricated with Ferrofluid. Tribol. Int. 2001, 34, 369–380. [Google Scholar] [CrossRef]
- Laukiavich, C.A.; Braun, M.J.; Chandy, A.J. A comparison between the performanceof ferro- and magnetorheological fluids in a hydrodynamic bearing. Proc. Inst. Mech. Eng. Part J J. Eng. Tribol. 2014, 228, 649–666. [Google Scholar] [CrossRef]
- Andrew, D.D.; Alexander, K. Electrorheological Fluid-Controlled “Smart” Journal Bearings. Tribol. Trans. 1992, 35, 611–618. [Google Scholar]
- Fürst, S.; Ulbrich, H. An Active Support System for Rotors with Oil-Film Bearings. In Proceedings of the 4th International Conference on Vibrations in Rotating Machinery of the Institution of Mechanical Engineers, Heriot-Watt University, Edinburgh, UK, 13–15 September 1988; pp. 61–68. [Google Scholar]
- San Andres, L.; Childs, D. Angled injection-hydrostatic bearings analysis and comparison to test results. ASME J. Tribol. 1997, 119, 179–187. [Google Scholar] [CrossRef]
- Santos, I.F.; Watanabe, F.Y. Compensation of Cross-Coupling Stiffness and Increase of Direct Damping in Multirecess Journal Bearings Using Active Hybrid Lubrication: Part I—Theory. ASME J. Tribol. 2004, 126, 146–155. [Google Scholar] [CrossRef]
- Martin, J.K.; Parkins, D.W. Testing of a Large Adjustable Hydrodynamic Journal Bearing. Tribol. Trans. 2001, 44, 559–566. [Google Scholar] [CrossRef]
- Agrawal, A.; Ciocanel, C.; Martinez, T.; Duggan, J. A Bearing Application Using Magnetorheological Fluid. J. Intell. Mater. Syst. Struct. 2002, 13, 667–673. [Google Scholar] [CrossRef]
- Haugaard, M.A.; Santos, I.F. Elastohydrodynamics Applied to Active Tilting-Pad Journal Bearings. ASME J. Tribol. 2010, 132. [Google Scholar] [CrossRef]
- Pierart, F.G.; Santos, I.F. Active lubrication applied to radial gas journal bearings. Part 2: Modelling improvement and experimental validation. Tribol. Int. 2016, 96, 237–246. [Google Scholar] [CrossRef]
- Pierart, F.G.; Santos, I.F. Lateral vibration control of a flexible overcritical rotor via an active gas bearing—Theoretical and experimental comparisons. J. Sound Vib. 2016, 383, 20–34. [Google Scholar] [CrossRef]
- Pierart, F.G.; Santos, I.F. Adjustable hybrid gas bearing—Influence of piezoelectrically adjusted injection on damping factors and natural frequencies of a flexible rotor operating under critical speeds. Proc. Inst. Mech. Eng. Part J J. Eng. Tribol. 2016, 230, 1209–1220. [Google Scholar] [CrossRef]
- Theisen, L.R.; Niemann, H.H.; Santos, I.F.; Galeazzi, R.; Blanke, M. Modelling and Identification for Control of Gas Bearings. Mech. Syst. Signal Process. 2016, 70–71, 1150–1170. [Google Scholar] [CrossRef]
- Salazar, J.G.; Santos, I.F. Active tilting-pad journal bearings supporting flexible rotors: Part II—The model-based feedback-controlled lubrication. Tribol. Int. 2017, 107, 106–115. [Google Scholar] [CrossRef]
- Varela, A.C.; Fillon, M.; Santos, I.F. On the simplifications for the thermal modeling of tilting-pad journal bearings under thermoelastohydrodynamic regime. ASME 2012, 823–835. [Google Scholar] [CrossRef]
- Varela, A.C.; Nielsen, B.B.; Santos, I.F. Steady state characteristics of a tilting pad journal bearing with controllable lubrication: Comparison between theoretical and experimental results. Tribol. Int. 2013, 58, 85–97. [Google Scholar] [CrossRef]
- Salazar, J.G.; Santos, I.F. Active tilting-pad journal bearings supporting flexible rotors: Part I—The hybrid lubrication. Tribol. Int. 2017, 107, 94–105. [Google Scholar] [CrossRef]
- Santos, I.F.; Varela, A.C. Actively lubricated bearings applied as calibrated shakers to aid parameter identification in rotordynamics. ASME 2013, V07BT30A025. [Google Scholar] [CrossRef]
- Santos, I.F.; Svendsen, P.K. Noninvasive Parameter Identification in Rotordynamics via Fluid Film Bearings—Linking Active Lubrication and Operational Modal Analysis. J. Eng. Gas Turbines Power 2017, 139. [Google Scholar] [CrossRef]
- Simonsen, M.K. Experimental Modal Analysis applied to Flexible Rotors Supported by Oil Lubricated Bearings. Master’s Thesis, DTU Mechanical Engineering Department, Kongens Lyngby, Denmark, 2016. [Google Scholar]
- Cerda, A.; Santos, I.F. Validity of the modified Reynolds equation for incompressible active lubrication. Proc. Inst. Mech. Eng. Part J J. Eng. Tribol. 2016, 230, 1490–1502. [Google Scholar] [CrossRef]
- Santos, I.F.; Nicoletti, R.; Scalabrin, A. Feasibility of Applying Active Lubrication to Reduce Vibration in Industrial Compressors. ASME J. Eng. Gas Turbines Power 2004, 126, 888–894. [Google Scholar] [CrossRef]
- Varela, A.C.; Santos, I.F. Stability Analysis of an Industrial Gas Compressor Supported by Tilting-Pad Bearings under Different Lubrication Regimes. ASME J. Eng. Gas Turbines Power 2012, 134. [Google Scholar] [CrossRef]
- Varela, A.C.; Santos, I.F. Performance Improvement of Tilting-Pad Journal Bearings by Means of Controllable Lubrication. Mech. Ind. 2012, 13, 17–32. [Google Scholar] [CrossRef]
- Estupinan, E.; Santos, I.F. Controllable lubrication for main engine bearings using mechanical and piezoelectric actuators. IEEE/ASME Trans. Mech. 2012, 17, 279–287. [Google Scholar] [CrossRef]
- Estupinan, E.; Santos, I.F. Radial oil injection applied to main engine bearings: Evaluation of injection control rules. J. Vib. Control 2012, 18, 587–595. [Google Scholar] [CrossRef]





| Sliding Bearing Type | Control Variable | Actuator Type | Authors | Year |
|---|---|---|---|---|
| adjustable multi-recessed bearing | pressure | hydraulic accumulator | Goodwin [27] | 1989 |
| active housing of a circular-bearing | housing motion | electromagnetic | Ulbrich, Fürst [33] | 1988 |
| active tilting-pads | bearing gap | piezoelectric stacks | Ulbrich, Althaus [19] | 1989 |
| Deckler, Veillette, Braun, Choy [21] | 2000 | |||
| circular | viscosity | electrorheological | Andrew, Alexander [32] | 1992 |
| active tilting-pads | bearing gap | hydraulic chamber system | Santos [22] | 1993 |
| actively-lubricated tilting-pads (orifices) | pressure, flow | hydraulic (servovalves) | Santos [13] | 1994 |
| circular | gap, deformable bushing | hydraulic (servovalves) | Rylander, Carlson, Lin [29] | 1995 |
| hydrostatic bearings | Angled flow injection | mechanical/manual | San Andres, Childs [34] | 1997 |
| controllable segmented bushing | gap gradient | hydraulic | Krodkiewski, Sun [23] | 1998 |
| adjustable multi-recess bearing | pressure, flow | hydraulic (servovalves) | Bently [14] | 2000 |
| active multi-recess bearing | pressure, flow | hydraulic (servovalves) | Santos, Watanabe [35] | 2000 |
| partial arc (three pads) | gap, gap slope | mechanical/manual | Martin, Parkins [36] | 2001 |
| circular | viscosity | magneto-rheological | Agrawal, Ciocanel, Martinez, Duggan [37] | 2002 |
| Laukiavich, Braun, Chandy [31] | 2014 | |||
| deformable actively-lubricated tilting-pads (orifices) | pressure, flow, gap | hydraulic (servovalves) | Santos, Haugaard [38] | 2010 |
| partial arc bearing (two pads) | gap, preload | mechanical/manual | Chasalevris, Dohnal [26] | 2014 |
© 2018 by the author. Licensee MDPI, Basel, Switzerland. This article is an open access article distributed under the terms and conditions of the Creative Commons Attribution (CC BY) license (http://creativecommons.org/licenses/by/4.0/).
Share and Cite
Santos, I.F. Controllable Sliding Bearings and Controllable Lubrication Principles—An Overview. Lubricants 2018, 6, 16. https://doi.org/10.3390/lubricants6010016
Santos IF. Controllable Sliding Bearings and Controllable Lubrication Principles—An Overview. Lubricants. 2018; 6(1):16. https://doi.org/10.3390/lubricants6010016
Chicago/Turabian StyleSantos, Ilmar F. 2018. "Controllable Sliding Bearings and Controllable Lubrication Principles—An Overview" Lubricants 6, no. 1: 16. https://doi.org/10.3390/lubricants6010016
APA StyleSantos, I. F. (2018). Controllable Sliding Bearings and Controllable Lubrication Principles—An Overview. Lubricants, 6(1), 16. https://doi.org/10.3390/lubricants6010016
