Analysis of the Turbulent Lubrication of a Textured Hydrodynamic Journal Bearing
Abstract
:1. Introduction
2. Geometry Model and Governing Equations
2.1. Geometry Model
2.2. Flow Regime Criterion
2.3. Reynolds Governing Equation
2.4. Bearing Capacity and Attitude Angle Equation
2.5. Lubricant Side Leakage Flow Equation
2.6. Axis Whirl Orbit Governing Equation
3. Numerical Computation Method and Effectiveness Analysis
4. Results and Discussion
4.1. Lubrication Characteristics of a Textured Bearing under the Turbulent Model
4.1.1. Reynolds Number Varies with Eccentricity Ratios and Rotational Speeds
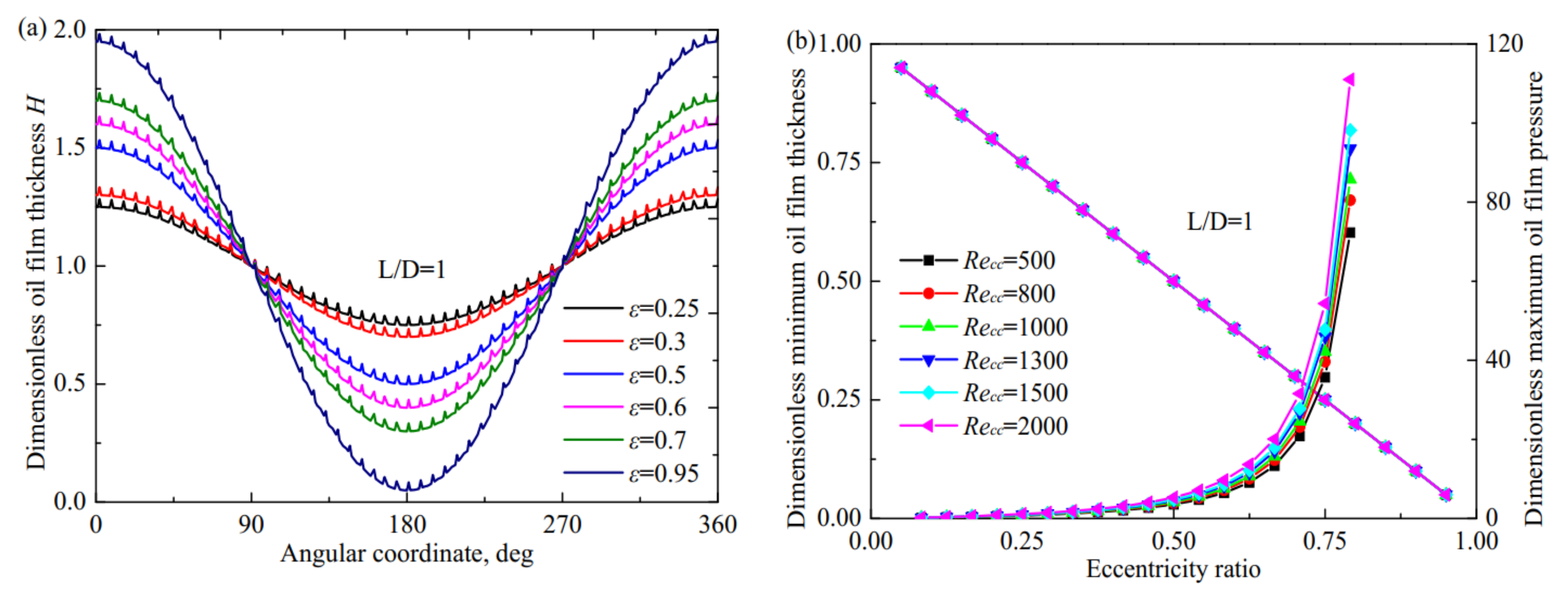
4.1.2. Variations in Oil Film Thickness and Maximum Oil Film Pressure
4.1.3. Variation in Oil Film Pressure Distribution
4.2. The Influence of Structural and Working Condition Parameters
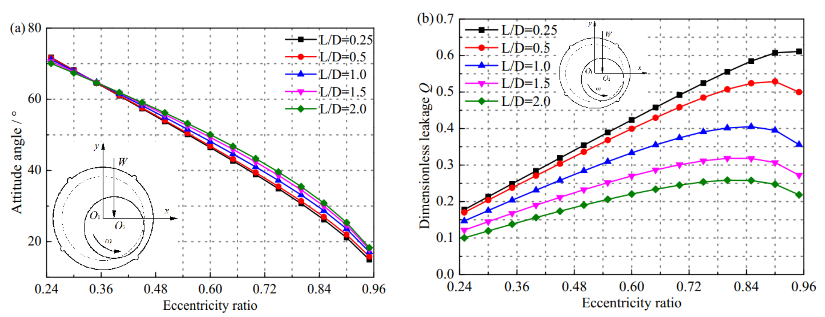
4.3. Variations in the Attitude Angle and Lubricant Side Leakage Flow with the Eccentricity Ratio
4.4. The Axis Whirl Orbit Variation of the Rotor
5. Conclusions
- (1)
- A turbulent lubrication model was established for a performance analysis based on the Ng-Pan model, and the correctness of the model and the numerical method was verified. For the THJB in this work, the flow regimes were laminar and mixed flow at rotational speeds of n = 200~800 rpm and 1000~1200 rpm, whereas a completely turbulent regime occurred at n ≥ 1400 rpm. The difference between the values calculated for the laminar and turbulent model shows that the turbulent effect enhanced the dynamic pressure effect of lubricating oil, which cannot be ignored when designing textured bearings.
- (2)
- The Reynolds number decreases with the eccentricity in the pressure-bearing zone but increases with the rotational speed. The variation in the maximum oil film pressure increases and the minimum oil film thickness decreases with the eccentricity ratio under various Reynolds numbers. Furthermore, the bearing capacity of the THJB under a turbulent regime decreases with the dimple diameter, depth, oil film thickness, and clearance ratio but increases with the dimple spacing and length/diameter ratio. In addition, the attitude angle decreases but the side leakage flow increases as the eccentricity ratio increases.
- (3)
- The axis trajectory converged to an equilibrium point as the eccentricity values were ε = 0.25 and 0.95 under the same rotational speed n = 1000 rpm. Additionally, the axis trajectory spread outward and gradually became unstable as the rotational speed increased under the same eccentricity ε = 0.25. Further study showed that the mechanism of friction and wear during the axis trajectory operation was mainly three-body friction. Moreover, the axis trajectory approached the cycle limit gradually as the length/diameter ratio changed from 1 to 2, and the length/diameter ratio should be properly selected to ensure the stable operation of the rotor when designing the THJB.
Author Contributions
Funding
Data Availability Statement
Acknowledgments
Conflicts of Interest
References
- Mao, Y.; Yang, J.; Ji, J.; Xu, W.; Guo, Q. An analytical solution of Reynolds equation for evaluation the characteristics of surface textured bearing. Ind. Lubr. Tribol. 2020, 72, 1075–1085. [Google Scholar] [CrossRef]
- Mao, Y.; Yang, J.; Xu, W.; Liu, Y. Study on the influence of round pits arrangement patterns on tribological properties of journal bearings. Ind. Lubr. Tribol. 2019, 71, 931–941. [Google Scholar] [CrossRef]
- Lin, C.-G.; Yang, Y.-N.; Chu, J.-L.; Sima, C.; Liu, P.; Qi, L.-B.; Zou, M.-S. Study on nonlinear dynamic characteristics of propulsion shafting under friction contact of stern bearings. Tribol. Int. 2023, 183, 108391. [Google Scholar] [CrossRef]
- Grützmacher, P.G.; Profito, F.J.; Rosenkranz, A. Multi-scale surface texturing in tribology-Current knowledge and future perspectives. Lubricants 2019, 7, 95. [Google Scholar] [CrossRef]
- Rosenkranz, A.; Costa, H.L.; Profito, F.; Gachot, C.; Medina, S.; Dini, D. Influence of surface texturing on hydrodynamic friction in plane converging bearings-An experimental and numerical approach. Tribol. Int. 2019, 134, 190–204. [Google Scholar] [CrossRef]
- Taylor, G.I. Stability of a viscous liquid contained between two rotating cylinders. Proc. R. Soc. A 1923, 102, 541–542. [Google Scholar]
- Mariot, A.; Arghir, M.; Hélies, P. Experimental analysis of floating ring annular seals and comparisons with theoretical predictions. J. Eng. Gas Turbines Power 2015, 138, 42503. [Google Scholar] [CrossRef]
- Li, G.Q.; Zhang, Q.; Huang, E.L. Leakage performance of floating ring seal in cold/hot state for aero-engine. Chin. J. Aeronaut. 2019, 32, 2085–2094. [Google Scholar] [CrossRef]
- Das, S.; Guha, S.K. Non-linear stability analysis of micropolar fluid lubricated journal bearings with turbulent effect. Ind. Lubr. Tribol. 2019, 71, 31–39. [Google Scholar] [CrossRef]
- Zhu, S.; Sun, J.; Li, B.; Zhao, X.; Wang, H.; Teng, Q.; Ren, Y.; Zhu, G. Stochastic models for turbulent lubrication of bearing with rough surfaces. Tribol. Int. 2019, 136, 224–233. [Google Scholar] [CrossRef]
- Zhu, S.; Sun, J.; Li, B.; Zhu, G. Thermal turbulent lubrication analysis of rough surface journal bearing with journal misalignment. Tribol. Int. 2019, 144, 106109. [Google Scholar] [CrossRef]
- Du, Y.; Lan, J.; Quan, H.; Sun, C.; Liu, X.; Yang, X. Effect of different turbulent lubrication models on the lubrication characteristics of water-lubricated rubber bearings at a high Reynolds number. Phys. Fluids 2021, 33, 065118. [Google Scholar] [CrossRef]
- Chetti, B. The effect of turbulence on the performance of a two-lobe journal bearing lubricated with a couple stress fluid. Ind. Lubr. Tribol. 2016, 68, 336–340. [Google Scholar] [CrossRef]
- Cai, J.; Xiang, G.; Li, S.; Guo, J.; Wang, J.; Chen, S.; Yang, T. Mathematical modeling for nonlinear dynamic mixed friction behaviors of novel coupled bearing lubricated with low-viscosity fluid. Phys. Fluids 2022, 34, 093612. [Google Scholar] [CrossRef]
- Singh, A.; Sharma, S.C. Influence of geometric imperfection of journal on the performance of porous hybrid journal bearing under turbulent condition. Proc. Inst. Mech. Eng. Part J 2021, 235, 1879–1896. [Google Scholar] [CrossRef]
- Ouyang, W.; Zhang, X.; Jin, Y.; Yuan, X. Experimental study on the dynamic performance of water lubricated rubber bearings with local contact. Shock Vib. 2018, 2018, 6309727. [Google Scholar] [CrossRef]
- Feng, H.H.; Jiang, S.Y.; Ji, A.M. Investigations of the static and dynamic characteristics of water-lubricated hydrodynamic journal bearing considering turbulent, thermohydrodynamic and misaligned effects. Tribol. Int. 2019, 130, 245–260. [Google Scholar] [CrossRef]
- Lin, X.H.; Jiang, S.Y.; Zhang, C.B. Thermohydrodynamic analysis of high speed water-lubricated spiral groove thrust bearing considering effects of cavitation, inertia and turbulence. Tribol. Int. 2018, 119, 645–665. [Google Scholar] [CrossRef]
- Du, Y.Y.; Li, M. Effects on lubrication characteristics of water-lubricated rubber bearings with journal tilting and surface roughness. Proc. Inst. Mech. Eng. Part J 2019, 234, 161–171. [Google Scholar] [CrossRef]
- Zhang, X.H.; Xu, Y.; Jackson, R. A mixed lubrication analysis of a thrust bearing with fractal rough surfaces. Proc. Inst. Mech. Eng. Part J 2020, 234, 608–621. [Google Scholar] [CrossRef]
- Zhou, G.W.; Wu, K.P.; Pu, W.; Li, P.; Han, Y. Tribological modification of hydrogenated nitrile rubber nanocomposites for water-lubricated bearing of ship stern shaft. Wear 2022, 504, 204432. [Google Scholar] [CrossRef]
- Mallya, R.; Shenoy, S.B.; Pai, R. Static characteristics of misaligned multiple axial groove water-lubricated bearing in the turbulent regime. J. Eng. Tribol. 2017, 231, 385–398. [Google Scholar] [CrossRef]
- Lv, F.R.; Zou, D.L.; Ta, N.; Rao, Z.S. Influence of local turbulent flow on the performance of a mixed-lubrication bearing. Proc. Inst. Mech. Eng. Part J 2019, 233, 1029–1035. [Google Scholar] [CrossRef]
- Zhang, L.; Xu, H. Effect of radial clearance on the dynamic behavior of adjustable journal bearings in turbulent and laminar flow regimes. AIP Adv. 2023, 13, 025362. [Google Scholar] [CrossRef]
- Gong, J.Y.; Jin, Y.; Liu, Z.L. Study on influencing factors of lubrication performance of water-lubricated micro-groove bearing. Tribol. Int. 2019, 129, 390–397. [Google Scholar] [CrossRef]
- Yang, T.Y.; Cai, J.L.; Wang, L.W.; Tang, D.; Chen, S.; Wang, J. Numerical analysis of turbulence effect for coupled journal-thrust water-lubricated bearing with micro grooves. J. Tribol. 2023, 145, 084101. [Google Scholar] [CrossRef]
- Guo, X.; Han, Y.F. Study on the tribo-dynamic performances of water-lubricated microgroove bearings during start-up. Tribol. Int. 2020, 151, 106395. [Google Scholar]
- Liang, X.X.; Yan, X.P.; Ouyang, W. Experimental research on tribological and vibration performance of water-lubricated hydrodynamic thrust bearings used in marine shaft-less rim driven thrusters. Wear 2019, 426–427, 778–791. [Google Scholar] [CrossRef]
- Wang, L.; Pei, S.Y.; Xiong, X.Z. Study on the static performance and stability of a water-lubricated hybrid bearing with circumferential grooves and stepped recesses considering the influence of recess sizes. Tribol. Trans. 2014, 57, 36–45. [Google Scholar] [CrossRef]
- Constantinescu, V.N. On gas lubrication in turbulent regime. J. Basic Eng. 1964, 86, 475–482. [Google Scholar] [CrossRef]
- Frene, J.; Arghir, M.; Constantinescu, V. Combined thin-film and Navier–Stokes analysis in high Reynolds number lubrication. Tribol. Int. 2006, 39, 734–747. [Google Scholar] [CrossRef]
- Sun, J.; Gui, C.L. Hydrodynamic lubrication analysis of journal bearing considering misalignment caused by shaft deformation. Tribol. Int. 2004, 37, 841–848. [Google Scholar] [CrossRef]
- Lv, F.R.; Ta, N.; Rao, Z.S. Analysis of equivalent supporting point location and carrying capacity of misaligned journal bearing. Tribol. Int. 2017, 116, 26–38. [Google Scholar] [CrossRef]
- Gertzos, K.; Nikolakopoulos, P.; Papadopoulos, C. CFD analysis of journal bearing hydrodynamic lubrication by Bingham lubricant. Tribol. Int. 2008, 41, 1190–1204. [Google Scholar] [CrossRef]
- Chasalevris, A.; Sfyris, D. Evaluation of the finite journal bearing characteristics, using the exact analytical solution of the Reynolds equation. Tribol. Int. 2013, 57, 216–234. [Google Scholar] [CrossRef]















| Parameters | Values |
|---|---|
| Bearing radius R/mm | 100 |
| Radial clearance, c/mm | 0.05–0.20 |
| Length/diameter ratio, L/D | 1 |
| Eccentricity ratio, ε | 0.25–0.95 |
| Lubricant viscosity, μ/Pa·s−1 | 0.0048 |
| Density, ρ/kg·m−3 | 890 |
| Mass, m/kg | 13.43 |
| Rotational speed, n/rpm | 1000–20,000 |
| Texture radius, rp/μm | 16 |
| Texture depth, hp/μm | 25 |
| Texture density, sp/% | 25 |
Disclaimer/Publisher’s Note: The statements, opinions and data contained in all publications are solely those of the individual author(s) and contributor(s) and not of MDPI and/or the editor(s). MDPI and/or the editor(s) disclaim responsibility for any injury to people or property resulting from any ideas, methods, instructions or products referred to in the content. |
© 2023 by the authors. Licensee MDPI, Basel, Switzerland. This article is an open access article distributed under the terms and conditions of the Creative Commons Attribution (CC BY) license (https://creativecommons.org/licenses/by/4.0/).
Share and Cite
Mao, Y.; Li, L.; Li, D.; Zheng, J. Analysis of the Turbulent Lubrication of a Textured Hydrodynamic Journal Bearing. Lubricants 2023, 11, 362. https://doi.org/10.3390/lubricants11090362
Mao Y, Li L, Li D, Zheng J. Analysis of the Turbulent Lubrication of a Textured Hydrodynamic Journal Bearing. Lubricants. 2023; 11(9):362. https://doi.org/10.3390/lubricants11090362
Chicago/Turabian StyleMao, Yazhou, Lilin Li, Daqing Li, and Jingyang Zheng. 2023. "Analysis of the Turbulent Lubrication of a Textured Hydrodynamic Journal Bearing" Lubricants 11, no. 9: 362. https://doi.org/10.3390/lubricants11090362
APA StyleMao, Y., Li, L., Li, D., & Zheng, J. (2023). Analysis of the Turbulent Lubrication of a Textured Hydrodynamic Journal Bearing. Lubricants, 11(9), 362. https://doi.org/10.3390/lubricants11090362

