Simulations of Neutrino and Gamma-Ray Production from Relativistic Black-Hole Microquasar Jets
Abstract
1. Introduction
2. Interaction Mechanisms Inside the Jet
3. Solution of the Transfer Equation
3.1. Particle Injection Functions
3.1.1. Relativistic Protons Injection Function
3.1.2. Pion Energy Distribution
3.1.3. Muon Spectra from Pion Decay
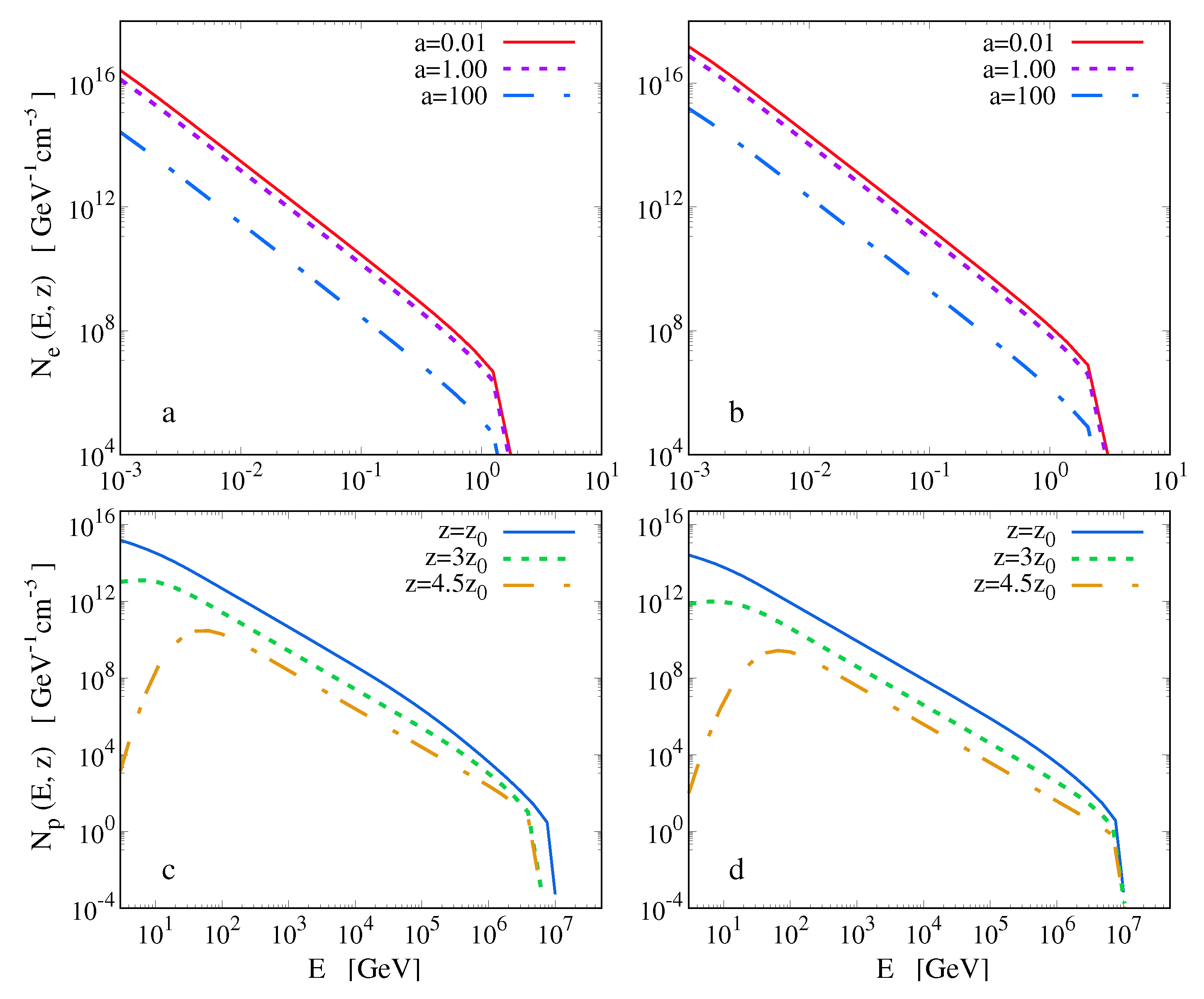
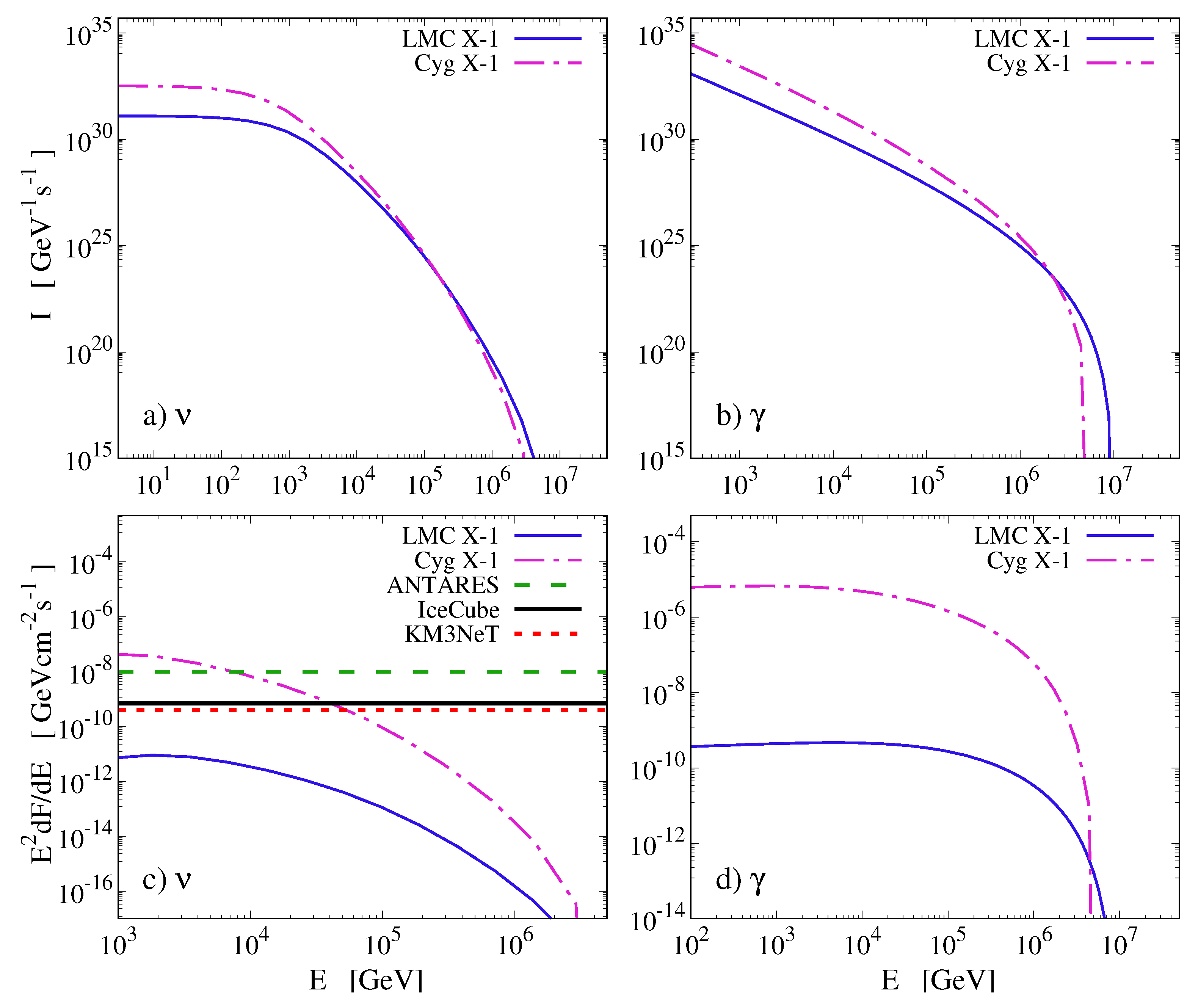
4. Results and Discussion
4.1. Neutrino Energy-Spectra from Pion and Muon Decay
4.2. Gamma-Ray Emissivity for GeV
4.3. Neutrino and -ray Intensity Calculations
5. Summary and Conclusions
Author Contributions
Funding
Institutional Review Board Statement
Informed Consent Statement
Data Availability Statement
Acknowledgments
Conflicts of Interest
Appendix A. Normalization Constant
Appendix B. p-γ Collision Frequency
Appendix C. Right and Left-Handed Muon Spectra
References
- Reynoso, M.M.; Romero, G.E.; Christiansen, H.R. Production of gamma rays and neutrinos in the dark jets of the microquasar SS433. Mon. Not. R. Astron. Soc. 2008, 387, 1745–1754. [Google Scholar] [CrossRef][Green Version]
- Reynoso, M.M.; Romero, G.E. Magnetic field effects on neutrino production in microquasars. Astron. Astrophys. 2009, 493, 1–11. [Google Scholar] [CrossRef]
- Romero, G.E.; Boettcher, M.; Markoff, S.; Tavecchio, F. Relativistic Jets in Active Galactic Nuclei and Microquasars. Space Sci. Rev. 2017, 207, 5–61. [Google Scholar] [CrossRef]
- Aartsen, M.G.; Abraham, K.; Ackermann, M.; Adams, J.; Aguilar, J.A.; Ahlers, M.; Ahrens, M.; Altmann, D.; Andeen, K.; Anderson, T.; et al. Searches for Sterile Neutrinos with the IceCube Detector. Phys. Rev. Lett. 2016, 117, 071801. [Google Scholar] [CrossRef]
- Aartsen, M.; Ackermann, M.; Adams, J.; Aguilar, J.A.; Ahlers, M.; Ahrens, M.; Al Samarai, I.; Altmann, D.; Andeen, K.; Anderson, T.; et al. Neutrino emission from the direction of the blazar TXS 0506+056 prior to the IceCube-170922A alert. Science 2018, 361, 147–151. [Google Scholar] [CrossRef]
- Adrián-Martínez, S.; Ageron, M.; Aharonian, F.; Aiello, S.; Albert, A.; Ameli, F.; Anassontzis, E.; Andre, M.; Androulakis, G.; Anghinolfi, M.; et al. Letter of intent for KM3NeT 2.0. J. Phys. G Nucl. Part Phys. 2016, 43, 084001. [Google Scholar] [CrossRef]
- Smponias, T.; Kosmas, O.T. High Energy Neutrino Emission from Astrophysical Jets in the Galaxy. Adv. High Energy Phys. 2015, 2015, 921757. [Google Scholar] [CrossRef]
- Smponias, T.; Kosmas, O.T. Neutrino Emission from Magnetized Microquasar Jets. Adv. High Energy Phys. 2017, 2017, 4962741. [Google Scholar] [CrossRef]
- Kosmas, O.; Smponias, T. Simulations of Gamma-Ray Emission from Magnetized Microquasar Jets. Adv. High Energy Phys. 2018, 2018, 9602960. [Google Scholar] [CrossRef]
- Mirabel, I.F.; Rodríguez, L.F. Sources of Relativistic Jets in the Galaxy. Annu. Rev. Astron. Astrophys. 1999, 37, 409–443. [Google Scholar] [CrossRef]
- Friend, D.B.; Castor, J.I. Radiation driven winds in X-ray binaries. Astrophys. J. 1982, 261, 293–300. [Google Scholar] [CrossRef]
- Hanke, M.; Wilms, J.; Nowak, M.A.; Pottschmidt, K.; Schulz, N.S.; Lee, J.C. Chandrax-ray spectroscopy of the focused wind in the cygnus X-1 system. I. the nondip spectrum in the low/hard state. Astrophys. J. 2008, 690, 330–346. [Google Scholar] [CrossRef]
- Hell, N.; Miškovičová, I.; Brown, G.V.; Wilms, J.; Clementson, J.; Hanke, M.; Beiersdorfer, P.; Liedahl, D.; Pottschmidt, K.; Porter, F.S.; et al. Low charge states of Si and S in Cygnus X-1. Phys. Scr. 2013, T156, 014008. [Google Scholar] [CrossRef]
- Falcke, H.; Biermann, P. The jet-disk symbiosis. 1. Radio to X-ray emission models for quasars. Astron. Astrophys. 1994, 293, 665–682. [Google Scholar]
- Aharonian, F.; Akhperjanian, A.G.; Aye, K.M.; Bazer-Bachi, A.R.; Beilicke, M.; Benbow, W.; Berge, D.; Berghaus, P.; Bernlöhr, K.; Boisson, C.; et al. Discovery of Very High Energy Gamma Rays Associated with an X-ray Binary. Science 2005, 309, 746–749. [Google Scholar] [CrossRef]
- Albert, J.; Aliu, E.; Anderhub, H.; Antoranz, P.; Armada, A.; Asensio, M.; Baixeras, C.; Barrio, J.A.; Bartelt, M.; Bartko, H.; et al. Variable Very-High-Energy Gamma-Ray Emission from the Microquasar LS I +61 303. Science 2006, 312, 1771–1773. [Google Scholar] [CrossRef]
- Albert, J.; Aliu, E.; Anderhub, H.; Antoranz, P.; Armada, A.; Baixeras, C.; Barrio, J.A.; Bartko, H.; Bastieri, D.; Becker, J.K.; et al. Very High Energy Gamma-Ray Radiation from the Stellar Mass Black Hole Binary Cygnus X–1. Astrophys. J. 2007, 665, L51–L54. [Google Scholar] [CrossRef]
- Heinz, S.; Sunyaev, R. Cosmic rays from microquasars: A narrow component to the CR spectrum? Astron. Astrophys. 2002, 390, 751–766. [Google Scholar] [CrossRef]
- Levinson, A.; Waxman, E. Probing Microquasars with TeV Neutrinos. Phys. Rev. Lett. 2001, 87, 171101. [Google Scholar] [CrossRef]
- Romney, J.D.; Schilizzi, R.T.; Fejes, I.; Spencer, R.E. The Inner Beams of SS 433. Astrophys. J. 1987, 321, 822. [Google Scholar] [CrossRef]
- Reid, M.J.; McClintock, J.E.; Narayan, R.; Gou, L.; Remillard, R.A.; Orosz, J.A. The trigonometric parallax of cygnus X-1. Astrophys. J. 2011, 742, 83. [Google Scholar] [CrossRef]
- Kantzas, D.; Markoff, S.; Beuchert, T.; Lucchini, M.; Chhotray, A.; Ceccobello, C.; Tetarenko, A.J.; Miller-Jones, J.C.A.; Bremer, M.; Garcia, J.A.; et al. A new lepto-hadronic model applied to the first simultaneous multiwavelength data set for Cygnus X–1. Mon. Not. R. Astron. Soc. 2020, 500, 2112–2126. [Google Scholar] [CrossRef]
- Di Benedetto, G.P. The Cepheid distance to the Large Magellanic Cloud and NGC 4258 by the surface brightness technique and improved calibration of the cosmic distance scale. Mon. Not. R. Astron. Soc. 2008, 390, 1762–1776. [Google Scholar] [CrossRef]
- Orosz, J.A.; McClintock, J.E.; Narayan, R.; Bailyn, C.D.; Hartman, J.D.; Macri, L.; Liu, J.; Pietsch, W.; Remillard, R.A.; Shporer, A.; et al. A 15.65-solar-mass black hole in an eclipsing binary in the nearby spiral galaxy M 33. Nature 2007, 449, 872–875. [Google Scholar] [CrossRef] [PubMed]
- Hyde, E.A.; Russell, D.M.; Ritter, A.; Filipović, M.D.; Kaper, L.; Grieve, K.; O’Brien, A.N. LMC X-1: A New Spectral Analysis of the O-star in the Binary and Surrounding Nebula. Astron. Soc. Pac. 2017, 129, 094201. [Google Scholar] [CrossRef]
- Cooke, R.; Bland-Hawthorn, J.; Sharp, R.; Kuncic, Z. Ionization Cone in the X-ray Binary LMC X-1. Astrophys. J. 2008, 687, L29–L32. [Google Scholar] [CrossRef]
- Smponias, T.; Kosmas, T.S. Modelling the equatorial emission in a microquasar. Mon. Not. R. Astron. Soc. 2011, 412, 1320–1330. [Google Scholar] [CrossRef][Green Version]
- Smponias, T.; Kosmas, T.S. Dynamical and radiative simulations of γ-ray jets in microquasars. Mon. Not. R. Astron. Soc. 2013, 438, 1014–1026. [Google Scholar] [CrossRef][Green Version]
- Böttcher, M.; Dermer, C.D. Photon-Photon Absorption of Very High Energy Gamma Rays from Microquasars: Application to LS 5039. Astrophys. J. 2005, 634, L81–L84. [Google Scholar] [CrossRef]
- Cerutti, B.; Dubus, G.; Malzac, J.; Szostek, A.; Belmont, R.; Zdziarski, A.A.; Henri, G. Absorption of high-energy gamma rays in Cygnus X-3. Astron. Astrophys. 2011, 529, A120. [Google Scholar] [CrossRef][Green Version]
- Vieyro, F.L.; Romero, G.E. Particle transport in magnetized media around black holes and associated radiation. Astron. Astrophys. 2012, 542, A7. [Google Scholar] [CrossRef]
- Marshall, H.L.; Canizares, C.R.; Schulz, N.S. The High-Resolution X-ray Spectrum of SS 433 Using the Chandra HETGS. Astrophys. J. 2002, 564, 941–952. [Google Scholar] [CrossRef]
- Körding, E.G.; Fender, R.P.; Migliari, S. Jet-dominated advective systems: Radio and X-ray luminosity dependence on the accretion rate. Mon. Not. R. Astron. Soc. 2006, 369, 1451–1458. [Google Scholar] [CrossRef]
- Khangulyan, D.; Hnatic, S.; Aharonian, F.; Bogovalov, S. TeV light curve of PSR B1259–63/SS2883. Mon. Not. R. Astron. Soc. 2007, 380, 320–330. [Google Scholar] [CrossRef][Green Version]
- Gallant, Y.A.; Achterberg, A. Ultra-high-energy cosmic ray acceleration by relativistic blast waves. Mon. Not. R. Astron. Soc. 1999, 305, L6–L10. [Google Scholar] [CrossRef]
- Begelman, M.C.; Rudak, B.; Sikora, M. Consequences of Relativistic Proton Injection in Active Galactic Nuclei. Astrophys. J. 1990, 362, 38. [Google Scholar] [CrossRef]
- Romero, G.E.; Torres, D.F.; Kaufman Bernadó, M.M.; Mirabel, I.F. Hadronic gamma-ray emission from windy microquasars. Astron. Astrophys. 2003, 410, L1–L4. [Google Scholar] [CrossRef]
- Romero, G.E.; Okazaki, A.T.; Orellana, M.; Owocki, S.P. Accretion vs. colliding wind models for the gamma-ray binary LS I +61 303: An assessment. Astron. Astrophys. 2007, 474, 15–22. [Google Scholar] [CrossRef]
- Romero, G.E.; Vila, G.S. The proton low-mass microquasar: High-energy emission. Astron. Astrophys. 2008, 485, 623–631. [Google Scholar] [CrossRef]
- Mannheim, K.; Schlickeiser, R. Interactions of cosmic ray nuclei. Astron. Astrophys. 1994, 286, 983–996. [Google Scholar]
- Bosch-Ramon, V.; Romero, G.E.; Paredes, J.M. A broadband leptonic model for gamma-ray emitting microquasars. Astron. Astrophys. 2006, 447, 263–276. [Google Scholar] [CrossRef]
- Kelner, S.R.; Aharonian, F.A.; Bugayov, V.V. Energy spectra of gamma rays, electrons, and neutrinos produced at proton-proton interactions in the very high energy regime. Phys. Rev. D 2006, 74, 034018. [Google Scholar] [CrossRef]
- Gaisser, T.K.; Engel, R.; Resconi, E. Cosmic Rays and Particle Physics, 2nd ed.; Cambridge University Press: Cambridge, UK, 2016. [Google Scholar] [CrossRef]
- Dermer, C.D.; Schlickeiser, R. Model for the High-Energy Emission from Blazars. Astrophys. J. 1993, 416, 458. [Google Scholar] [CrossRef]
- Blumenthal, G.R.; Gould, R.J. Bremsstrahlung, Synchrotron Radiation, and Compton Scattering of High-Energy Electrons Traversing Dilute Gases. Rev. Mod. Phys. 1970, 42, 237–271. [Google Scholar] [CrossRef]
- Cherepashchuk, A.M.; Sunyaev, R.A.; Fabrika, S.N.; Postnov, K.A.; Molkov, S.V.; Barsukova, E.A.; Antokhina, E.A.; Irsmambetova, T.R.; Panchenko, I.E.; Seifina, E.V.; et al. INTEGRAL observations of SS433: Results of a coordinated campaign. Astron. Astrophys. 2005, 437, 561–573. [Google Scholar] [CrossRef]
- Orosz, J.A.; McClintock, J.E.; Aufdenberg, J.P.; Remillard, R.A.; Reid, M.J.; Narayan, R.; Gou, L. The mass of the black hole in cygnus X-1. Astrophys. J. 2011, 742, 84. [Google Scholar] [CrossRef]
- Orosz, J.A.; Steeghs, D.; McClintock, J.E.; Torres, M.A.P.; Bochkov, I.; Gou, L.; Narayan, R.; Blaschak, M.; Levine, A.M.; Remillard, R.A.; et al. A new dynamical model for the black hole binary lmc X-1. Astrophys. J. 2009, 697, 573–591. [Google Scholar] [CrossRef]
- Stirling, A.; Spencer, R.; de La Force, C.; Garrett, M.; Fender, R.; Ogley, R. A relativistic jet from Cygnus X-1 in the low/hard X-ray state. Mon. Not. R. Astron. Soc. 2001, 327, 1273–1278. [Google Scholar] [CrossRef]
- Fabrika, S. The jets and supercritical accretion disk in SS433. Astrophys. Space Phys. Rev. 2004, 12, 1–152. [Google Scholar]
- Zhang, J.F.; Li, Z.R.; Xiang, F.Y.; Lu, J.F. Electron transport with re-acceleration and radiation in the jets of X-ray binaries. Mon. Not. R. Astron. Soc. 2017, 473, 3211–3222. [Google Scholar] [CrossRef]
- Kosmas, O.T.; Leyendecker, S. Phase lag analysis of variational integrators using interpolation techniques. PAMM Proc. Appl. Math. Mech. 2012, 12, 677–678. [Google Scholar] [CrossRef]
- Kosmas, O.T.; Leyendecker, S. Family of high order exponential variational integrators for split potential systems. J. Phys. Conf. Ser. 2015, 574, 012002. [Google Scholar] [CrossRef]
- Kosmas, O.T.; Vlachos, D.S. A space-time geodesic approach for phase fitted variational integrators. J. Phys. Conf. Ser. 2016, 738, 012133. [Google Scholar] [CrossRef]
- Papavasileiou, T.V.; Papadopoulos, D.A.; Kosmas, T.S. Astrophysical magnetohydrodynamical outflows in the extragalactic binary system LMC X-1. J. Phys. Conf. Ser. 2020, in press. [Google Scholar]
- Achterberg, A.; Gallant, Y.A.; Kirk, J.G.; Guthmann, A.W. Particle acceleration by ultrarelativistic shocks: Theory and simulations. Mon. Not. R. Astron. Soc. 2001, 328, 393–408. [Google Scholar] [CrossRef]
- Kirk, J.G.; Guthmann, A.W.; Gallant, Y.A.; Achterberg, A. Particle Acceleration at Ultrarelativistic Shocks: An Eigenfunction Method. Astrophys. J. 2000, 542, 235–242. [Google Scholar] [CrossRef]
- Ghisellini, G.; Maraschi, L.; Treves, A. Inhomogeneous synchrotron-self-Compton models and the problem of relativistic beaming of BL Lac objects. Astron. Astrophys. 1985, 146, 204. [Google Scholar]
- Torres, D.F.; Reimer, A. Hadronic beam models for quasars and microquasars. Astron. Astrophys. 2011, 528, L2. [Google Scholar] [CrossRef]
- Lipari, P.; Lusignoli, M.; Meloni, D. Flavor composition and energy spectrum of astrophysical neutrinos. Phys. Rev. D 2007, 75, 123005. [Google Scholar] [CrossRef]
- Berezhko, E.G.; Ellison, D.C. A Simple Model of Nonlinear Diffusive Shock Acceleration. Astrophys. J. 1999, 526, 385–399. [Google Scholar] [CrossRef]
- Ahnen, M.L.; Ansoldi, S.; Antonelli, L.A.; Arcaro, C.; Babić, A.; Banerjee, B.; Bangale, P.; de Almeida, U.B.; Barrio, J.A.; González, J.B.; et al. Search for very high-energy gamma-ray emission from the microquasar Cygnus X-1 with the MAGIC telescopes. Mon. Not. R. Astron. Soc. 2017, 472, 3474–3485. [Google Scholar] [CrossRef]
- Aartsen, M.G.; Ackermann, M.; Adams, J.; Aguilar, J.A.; Ahlers, M.; Ahrens, M.; Alispach, C.; Andeen, K.; Anderson, T.; Ansseau, I.; et al. Neutrino astronomy with the next-generation IceCube Neutrino Observatory. arXiv 2019, arXiv:1911.02561. [Google Scholar]
- Albert, A.; André, M.; Anghinolfi, M.; Anton, G.; Ardid, M.; Aubert, J.J.; Avgitas, T.; Baret, B.; Barrios-Martí, J.; Basa, S.; et al. First all-flavor neutrino pointlike source search with the ANTARES neutrino telescope. Phys. Rev. D 2017, 96, 082001. [Google Scholar] [CrossRef]
- Aartsen, M.G.; Abraham, K.; Ackermann, M.; Adams, J.; Aguilar, J.A.; Ahlers, M.; Ahrens, M.; Altmann, D.; Andeen, K.; Anderson, T.; et al. All-sky Search for Time-integrated Neutrino Emission from Astrophysical Sources with 7 yr of IceCube Data. Astrophys. J. 2017, 835, 151. [Google Scholar] [CrossRef]
- Aiello, S.; Akrame, S.; Ameli, F.; Anassontzis, E.G.; Andre, M.; Androulakis, G.; Anghinolfi, M.; Anton, G.; Ardid, M.; Aublin, J.; et al. Sensitivity of the KM3NeT/ARCA neutrino telescope to point-like neutrino sources. Astropart. Phys. 2019, 111, 100–110. [Google Scholar] [CrossRef]
- Sacco, B.; Vercellone, S. Present and future of the TeV astronomy with Cherenkov telescopes. arXiv 2010, arXiv:1010.2208. [Google Scholar]







| Description | Parameter | SS 433 | Cyg X-1 | LMC X-1 |
|---|---|---|---|---|
| Jet’s base | (cm) | |||
| Acceleration limit | (cm) | |||
| Black Hole mass | 9 [46] | 14.8 [47] | 10.91 [48] | |
| Distance from Earth | d (kpc) | 5.5 [20] | 1.86 [21] | 48 [48] |
| Angle to the line-of-sight | () | 78.05 [46] | 27.1 [47] | 36.38 [48] |
| Jet’s half-opening angle | () | 0.6 [46] | 1.5 [49] | 3 |
| Jet’s bulk velocity | 0.26c [50] | 0.6c [49] | 0.92c | |
| Maximum proton energy | (GeV) |
Publisher’s Note: MDPI stays neutral with regard to jurisdictional claims in published maps and institutional affiliations. |
© 2021 by the authors. Licensee MDPI, Basel, Switzerland. This article is an open access article distributed under the terms and conditions of the Creative Commons Attribution (CC BY) license (https://creativecommons.org/licenses/by/4.0/).
Share and Cite
Papavasileiou, T.; Kosmas, O.; Sinatkas, I. Simulations of Neutrino and Gamma-Ray Production from Relativistic Black-Hole Microquasar Jets. Galaxies 2021, 9, 67. https://doi.org/10.3390/galaxies9030067
Papavasileiou T, Kosmas O, Sinatkas I. Simulations of Neutrino and Gamma-Ray Production from Relativistic Black-Hole Microquasar Jets. Galaxies. 2021; 9(3):67. https://doi.org/10.3390/galaxies9030067
Chicago/Turabian StylePapavasileiou, Theodora, Odysseas Kosmas, and Ioannis Sinatkas. 2021. "Simulations of Neutrino and Gamma-Ray Production from Relativistic Black-Hole Microquasar Jets" Galaxies 9, no. 3: 67. https://doi.org/10.3390/galaxies9030067
APA StylePapavasileiou, T., Kosmas, O., & Sinatkas, I. (2021). Simulations of Neutrino and Gamma-Ray Production from Relativistic Black-Hole Microquasar Jets. Galaxies, 9(3), 67. https://doi.org/10.3390/galaxies9030067

