X-ray and Gamma-ray Variability of NGC 1275
Abstract
1. Introduction
2. Observation Details and Analysis
2.1. Fermi-LAT
2.2. Swift-XRT
2.3. NuSTAR
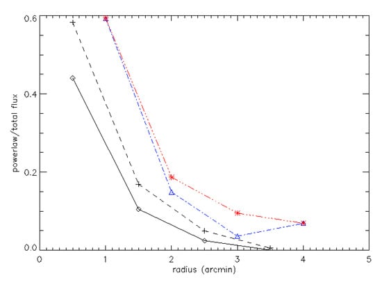
3. Spatial and Spectral Segregation of Cluster and AGN Contributions
4. X-ray and Gamma-ray Variability
5. Discussion and Conclusions
5.1. X-ray Variability on Various Time Scales
5.2. Spectral Shape and Multiwaveband SED
5.3. Spectral Evolution
6. Conclusions
Author Contributions
Funding
Acknowledgments
Conflicts of Interest
References
- Falco, E.E.; Kurtz, M.J.; Geller, M.J.; Huchra, J.P.; Peters, J.; Berlind, P.; Mink, D.J.; Tokarz, S.P.; Elwell, B. The Updated Zwicky Catalog (UZC). Publ. Astron. Soc. Pac. 1999, 111, 438–452. [Google Scholar] [CrossRef]
- Vermeulen, R.C.; Readhead, A.C.S.; Backer, D.C. Discovery of a nuclear counterjet in NGC 1275: A new way to probe the parsec-scale environment. Astrophys. J. 1994, 430, L41–L44. [Google Scholar] [CrossRef]
- Nagai, H.; Suzuki, K.; Asada, K.; Kino, M.; Kameno, S.; Doi, A.; Inoue, M.; Kataoka, J.; Bach, U.; Hirota, T.; et al. VLBI Monitoring of 3C 84 (NGC 1275) in Early Phase of the 2005 Outburst. PASJ 2010, 62, L11–L15. [Google Scholar] [CrossRef]
- Nagai, H.; Orienti, M.; Kino, M.; Suzuki, K.; Giovannini, G.; Doi, A.; Asada, K.; Giroletti, M.; Kataoka, J.; D’Ammando, F.; et al. VLBI and single-dish monitoring of 3C 84 for the period 2009–2011. Mon. Not. R. Astron. Soc. Lett. 2012, 423, L122–L126. [Google Scholar] [CrossRef]
- Martin, P.G.; Thompson, I.B.; Maza, J.; Angel, J.R.P. The polarization of Seyfert galaxies. Astrophys. J. 1983, 266, 470–478. [Google Scholar] [CrossRef]
- Punsly, B.; Marziani, P.; Bennert, V.N.; Nagai, H.; Gurwell, M.A. Revealing the Broad Line Region of NGC 1275: The Relationship to Jet Power. Astrophys. J. 2018, 869, 2. [Google Scholar] [CrossRef]
- Yamazaki, S.; Fukazawa, Y.; Sasada, M.; Itoh, R.; Nishino, S.; Takahashi, H.; Takaki, K.; Kawabata, K.S.; Yoshida, M.; Uemura, M. X-ray and Optical Monitoring of a Gamma-Ray-Emitting Radio Galaxy, NGC 1275. Publ. Astron. Soc. Jpn. 2013, 65, 30. [Google Scholar] [CrossRef]
- Angel, J.R.P.; Stockman, H.S. Optical and infrared polarization of active extragalactic objects. Annu. Rev. Astron. Astrophys. 1980, 18, 321–361. [Google Scholar] [CrossRef]
- Churazov, E.; Forman, W.; Jones, C.; Böhringer, H. XMM-Newton Observations of the Perseus Cluster. I. The Temperature and Surface Brightness Structure. Astrophys. J. 2003, 590, 225–237. [Google Scholar] [CrossRef]
- Balmaverde, B.; Capetti, A.; Grandi, P. The Chandra view of the 3C/FR I sample of low luminosity radio-galaxies. Astron. Astrophys. 2006, 451, 35–44. [Google Scholar] [CrossRef]
- Ajello, M.; Rebusco, P.; Cappelluti, N.; Reimer, O.; Böhringer, H.; Greiner, J.; Gehrels, N.; Tueller, J.; Moretti, A. Galaxy Clusters in the Swift/Burst Alert Telescope Era: Hard X-rays in the Intracluster Medium. Astrophys. J. 2009, 690, 367–388. [Google Scholar] [CrossRef]
- Rani, B.; Madejski, G.M.; Mushotzky, R.F.; Reynolds, C.; Hodgson, J.A. NuStar View of the Central Region of the Perseus Cluster. Astrophys. J. Lett. 2018, 866, L13. [Google Scholar] [CrossRef]
- Abdo, A.A.; Ackermann, M.; Ajello, M.; Asano, K.; Baldini, L.; Ballet, J.; Barbiellini, G.; Bastieri, D.; Baughman, B.M.; Bechtol, K.; et al. Fermi Discovery of Gamma-ray Emission from NGC 1275. Astrophys. J. 2009, 699, 31–39. [Google Scholar] [CrossRef]
- Aleksić, J.; Alvarez, E.A.; Antonelli, L.A.; Antoranz, P.; Asensio, M.; Backes, M.; De Almeida, U.B.; Barrio, J.A.; Bastieri, D.; González, J.B.; et al. Detection of very-high energy γ-ray emission from NGC 1275 by the MAGIC telescopes. Astron. Astrophys. 2012, 539, L2. [Google Scholar] [CrossRef]
- Mirzoyan, R. MAGIC detection of a giant flaring activity from NGC 1275 at very-high-energy gamma rays. ATel 2017, 9929, 1. [Google Scholar]
- Aleksić, J.; Ansoldi, S.; Antonelli, L.A.; Antoranz, P.; Babic, A.; Bangale, P.; De Almeida, U.B.; Barrio, J.A.; González, J.B.; Bednarek, W.; et al. Contemporaneous observations of the radio galaxy NGC 1275 from radio to very high energy γ-rays. Astron. Astrophys. 2014, 564, A5. [Google Scholar] [CrossRef]
- Mukherjee, R.; VERITAS Collaboration. VERITAS detection of the radio galaxy NGC 1275 with elevated very-high-energy gamma-ray emission. ATel 2017, 9931. [Google Scholar]
- Verrecchia, F.; Pittori, C.; Chen, A.W.; Bulgarelli, A.; Tavani, M.; Lucarelli, F.; Giommi, P.; Vercellone, S.; Pellizzoni, A.; Giuliani, A.; et al. An updated list of AGILE bright γ-ray sources and their variability in pointing mode. Astron. Astrophys. 2013, 558, A137. [Google Scholar] [CrossRef]
- Lucarelli, F.; Pittori, C.; Verrecchia, F.; Vercellone, S.; Bulgarelli, A.; Tavani, M.; Munar-Adrover, P.; Minervini, G.; Piano, G.; Ursi, A.; et al. AGILE confirmation of enhanced gamma-ray activity from NGC 1275. ATel 2017, 9934. [Google Scholar]
- Fukazawa, Y.; Shiki, K.; Tanaka, Y.; Itoh, R.; Takahashi, H.; Imazato, F.; D’Ammando, F.; Ojha, R.; Nagai, H. X-ray and GeV Gamma-Ray Variability of the Radio Galaxy NGC 1275. Astrophys. J. 2018, 855, 93. [Google Scholar] [CrossRef]
- Atwood, W.B.; Abdo, A.A.; Ackermann, M.; Althouse, W.; Anderson, B.; Axelsson, M.; Baldini, L.; Ballet, J.; Band, D.L.; Barbiellini, G.; et al. The Large Area Telescope on the Fermi Gamma-Ray Space Telescope Mission. Astrophys. J. 2009, 697, 1071–1102. [Google Scholar] [CrossRef]
- Sanchez, D.A.; Deil, C. Enrico: A Python package to simplify Fermi-LAT analysis. arXiv 2013, arXiv:1307.4534S. [Google Scholar]
- Burrows, D.N.; Hill, J.E.; Nousek, J.A.; Kennea, J.A.; Wells, A.; Osborne, J.P.; Abbey, A.F.; Beardmore, A.; Mukerjee, K.; Short, A.D.T.; et al. The Swift X-ray Telescope. Space Sci. Rev. 2005, 120, 165–195. [Google Scholar] [CrossRef]
- Harrison, F.A.; Craig, W.W.; Christensen, F.E.; Hailey, C.J.; Zhang, W.W.; Boggs, S.E.; Stern, D.; Cook, W.R.; Forster, K.; Giommi, P.; et al. The Nuclear Spectroscopic Telescope Array (NuSTAR) High-energy X-ray Mission. Astrophys. J. 2013, 770, 103. [Google Scholar] [CrossRef]
- Asplund, M.; Grevesse, N.; Sauval, A.J.; Scott, P. The Chemical Composition of the Sun. Annu. Rev. Astron. Astrophys. 2009, 47, 481–522. [Google Scholar] [CrossRef]
- Nishino, S.; Fukazawa, Y.; Hayashi, K.; Nakazawa, K.; Tanaka, T. Study of the Large-Scale Temperature Structure of the Perseus Cluster with Suzaku. Publ. Astron. Soc. Jpn. 2010, 62, 9–18. [Google Scholar] [CrossRef]
- Ezawa, H.; Yamasaki, N.Y.; Ohashi, T.; Fukazawa, Y.; Hirayama, M.; Honda, H.; Kamae, T.; Kikuchi, K.I.; Shibata, R. ASCA Observations of the Temperature Structure and Metal Distribution in the Perseus Cluster of Galaxies. Publ. Astron. Soc. Jpn. 2001, 53, 595–604. [Google Scholar] [CrossRef]
- Schmidt, R.W.; Fabian, A.C.; Sanders, J.S. Chandra temperature and metallicity maps of the Perseus cluster core. Mon. Not. R. Astron. Soc. 2002, 337, 71–78. [Google Scholar] [CrossRef]
- Chitnis, V.R.; Pendharkar, J.K.; Bose, D.; Agrawal, V.K.; Rao, A.R.; Misra, R. X-ray Variability of Active Galactic Nuclei in the Soft and Hard X-ray Bands. Astrophys. J. 2009, 698, 1207–1220. [Google Scholar] [CrossRef]
- Vaughan, S.; Edelson, R.; Warwick, R.S.; Uttley, P. On characterizing the variability properties of X-ray light curves from active galaxies. Mon. Not. R. Astron. Soc. 2003, 345, 1271–1284. [Google Scholar] [CrossRef]
- Beckmann, V.; Barthelmy, S.D.; Courvoisier, T.J.L.; Gehrels, N.; Soldi, S.; Tueller, J.; Wendt, G. Hard X-ray variability of active galactic nuclei. Astron. Astrophys. 2007, 475, 827–835. [Google Scholar] [CrossRef][Green Version]
- Baghmanyan, V.; Gasparyan, S.; Sahakyan, N. Rapid Gamma-Ray Variability of NGC 1275. Astrophys. J. 2017, 848, 111. [Google Scholar] [CrossRef]
- Tanada, K.; Kataoka, J.; Arimoto, M.; Akita, M.; Cheung, C.C.; Digel, S.W.; Fukazawa, Y. The Origins of the Gamma-Ray Flux Variations of NGC 1275 Based on Eight Years of Fermi-LAT Observations. Astrophys. J. 2018, 860, 74. [Google Scholar] [CrossRef]








| Data Set | Instrument | Observation Mode | Observation Date and Time | MJD | Observation Duration (s) |
|---|---|---|---|---|---|
| 1 | XRT | PC | Start: 2015-11-03 03:59:59 | 57,329.16 | 6415 |
| End: 2015-11-03 09:14:55 | 57,329.39 | ||||
| NuSTAR | Science | Start: 2015-11-03 03:21:08 | 57,329.14 | 19,874 | |
| End: 2015-11-03 14:21:08 | 57,329.60 | ||||
| 4 | XRT | WT | Start: 2017-02-01 18:04:51 | 57,785.75 | 1657 |
| End: 2017-02-01 18:32:56 | 57,785.77 | ||||
| NuSTAR | Science | Start: 2017-02-01 13:56:09 | 57,785.58 | 22,366 | |
| End: 2017-02-02 02:31:09 | 57,786.10 | ||||
| 5 | XRT | WT | Start: 2017-02-04 17:51:33 | 57,788.74 | 1580 |
| End: 2017-02-04 19:25:56 | 57,788.81 | ||||
| NuSTAR | Science | Start: 2017-02-04 04:06:03 | 57,788.17 | 28,168 | |
| End: 2017-02-04 19:31:09 | 57,788.81 |
| Region | Apec | Apec Flux | Powerlaw Flux | Energy where Apec | Energy where Apec |
|---|---|---|---|---|---|
| kT | @ 10 keV | @ 10keV | Flux = Powerlaw | flux = 10% Powerlaw | |
| Flux | Flux | ||||
| (keV) | (ph/cm/s/keV) | (ph/cm/s/keV) | (keV) | (keV) | |
| 3 November 2015 | |||||
| 0’–1’ | 3.91 ± 0.06 | 7.56 × 10 | 8.71 × 10 | 9.5 | 19.3 |
| 1’–2’ | 4.12 ± 0.04 | 1.48 × 10 | 2.30 × 10 | 18.3 | 28.2 |
| 2’–3’ | 4.64 ± 0.06 | 1.56 × 10 | 4.37 × 10 | 28.1 | 40.0 |
| 3’–4’ | 5.00 ± 0.05 | 1.38 × 10 | 5.66 × 10 | 54.0 | 66.8 |
| 1 February 2017 | |||||
| 0’–1’ | 3.98 ± 0.08 | 7.81 × 10 | 9.83 × 10 | 8.9 | 19.5 |
| 1’–2’ | 4.24 ± 0.05 | 1.57 × 10 | 2.25 × 10 | 19.3 | 29.7 |
| 2’–3’ | 4.61 ± 0.06 | 1.60 × 10 | 4.49 × 10 | 28.7 | 40.6 |
| 3’–4’ | 5.13 ± 0.11 | 1.41 × 10 | 7.38 × 10 | 27.3 | 40.1 |
| 4 February 2017 | |||||
| 0’–1’ | 4.14 ± 0.07 | 7.80 × 10 | 9.97 × 10 | 8.7 | 19.9 |
| 1’–2’ | 4.10 ± 0.04 | 1.44 × 10 | 2.92 × 10 | 17.8 | 28.3 |
| 2’–3’ | 4.52 ± 0.05 | 1.53 × 10 | 1.31 × 10 | 23.1 | 34.8 |
| 3’–4’ | 5.09 ± 0.08 | 1.39 × 10 | 7.66 × 10 | 27.4 | 40.3 |
| Observation Date | 2015 November 3 | 1 February 2017 | 4 February 2017 |
|---|---|---|---|
| constant (for XRT) | 1.15 | 2.27 | 1.83 |
| constant (for NuSTAR) | 1.0 | 1.0 | 1.0 |
| TBabs (N in 10) | 0.17 ± 0.01 | 0.15 ± 0.010 | 0.18 ± 0.01 |
| Apec kT (keV) | 3.90 ± 0.08 | 3.93 ± 0.08 | 4.01 ± 0.08 |
| Apec abundance | 0.51 ± 0.03 | 0.54 ± 0.03 | 0.55 ± 0.04 |
| Apec norm | (6.7 ± 0.2) × 10 | (6.7 ± 0.3) × 10 | (5.9 ± 0.3) × 10 |
| powerlaw index | 1.65 ± 0.06 | 1.77 ± 0.06 | 1.91 ± 0.05 |
| powerlaw norm | (4.0 ± 0.8) × 10 | (5.9 ± 1.2) × 10 | (8.7 ± 1.5) × 10 |
| Reduced /dof | 1.04/1067 | 1.02/1100 | 1.05/1052 |
| Observation Period | NuSTAR Energy Range (keV) | Model | Hard X-ray Powerlaw Index | Hard X-ray flux 20–60 keV (erg cm s) | Fermi-LAT Logparabola | Fermi-LAT Logparabola | Fermi-LAT 0.1–300 GeV Flux (ph cm s) |
|---|---|---|---|---|---|---|---|
| 3 November 2015 | 20–60 | po only | 1.97 ± 0.10 | 2.32 × 10 | 2.01 ± 0.10 | 0.003 ± 0.04 | 5.8 × 10 |
| 3–70 | apec+po | 1.64 ± 0.07 | 2.43 × 10 | - | - | ||
| 1 February 2017 | 20–60 | po only | 1.92 ± 0.11 | 2.35 × 10 | 1.86 ± 0.11 | 0.08 ± 0.04 | 4.9 × 10 |
| 3–70 | apec+po | 1.75 ± 0.07 | 2.37 × 10 | - | - | ||
| 4 February 2017 | 20–60 | po only | 2.17 ± 0.10 | 2.04 × 10 | 1.82 ± 0.14 | 0.09 ± 0.06 | 4.1 × 10 |
| 3–70 | apec+po | 1.83 ± 0.03 | 2.15 × 10 | - | - |
| Instrument | Energy Range Used (keV) | Poowerlawi Flux Fraction | Observation Duration (MJD) | Time Scale (Days) | No. of Points | Variability Strength (%) |
|---|---|---|---|---|---|---|
| RXTE-ASM | 1.5–12 | 0.28 | 50,087–55,924 | 1 | 4193 | 17.8 ± 0.5 |
| 50,087–55,924 | 30 | 163 | 4.6 ± 0.4 | |||
| MAXI | 2–20 | 0.363 | 55,058–58,093 | 1 | 1812 | 15.8 ± 0.6 |
| 55,058–58,088 | 30 | 76 | 4.0 ± 0.6 | |||
| Swift-BAT | 15–50 | 0.957 | 53,414–58,003 | 1 | 3924 | <318 |
| 53,414–57,999 | 30 | 131 | 25.2 ± 3.5 | |||
| 53,414–58,004 | 60 | 66 | 20.0 ± 3.3 | |||
| NuSTAR | 20–60 | 0.988 | 57,329.14–57,329.60 | 0.01 | 20 | <17.4 |
| 57,785.58–57,786.10 | 0.01 | 25 | 15.6 ± 7.0 | |||
| 57,788.17–57,788.81 | 0.01 | 30 | <25.1 | |||
| INTEGRAL-ISGRI | 17.3–80 | 0.983 | 52,701–57,305 | 1 | 91 | 30.7 ± 6.5 |
| 52,701–57,321 | 30 | 27 | 27.0 ± 5.8 | |||
| Fermi-LAT | 0.1–300 GeV | 57,327–57,500 | 1 | 174 | 40.9 ± 4.7 | |
| 57,750–57,799 | 1 | 50 | 50.3 ± 8.2 | |||
| 54,687–58,107 | 10 | 343 | 52.9 ± 2.3 |
© 2020 by the authors. Licensee MDPI, Basel, Switzerland. This article is an open access article distributed under the terms and conditions of the Creative Commons Attribution (CC BY) license (http://creativecommons.org/licenses/by/4.0/).
Share and Cite
Chitnis, V.; Shukla, A.; Singh, K.P.; Roy, J.; Bhattacharyya, S.; Chandra, S.; Stewart, G. X-ray and Gamma-ray Variability of NGC 1275. Galaxies 2020, 8, 63. https://doi.org/10.3390/galaxies8030063
Chitnis V, Shukla A, Singh KP, Roy J, Bhattacharyya S, Chandra S, Stewart G. X-ray and Gamma-ray Variability of NGC 1275. Galaxies. 2020; 8(3):63. https://doi.org/10.3390/galaxies8030063
Chicago/Turabian StyleChitnis, Varsha, Amit Shukla, K. P. Singh, Jayashree Roy, Sudip Bhattacharyya, Sunil Chandra, and Gordon Stewart. 2020. "X-ray and Gamma-ray Variability of NGC 1275" Galaxies 8, no. 3: 63. https://doi.org/10.3390/galaxies8030063
APA StyleChitnis, V., Shukla, A., Singh, K. P., Roy, J., Bhattacharyya, S., Chandra, S., & Stewart, G. (2020). X-ray and Gamma-ray Variability of NGC 1275. Galaxies, 8(3), 63. https://doi.org/10.3390/galaxies8030063

