Searching for Jet Emission in LMXBs: A Polarimetric View
Abstract
1. Introduction
2. Results
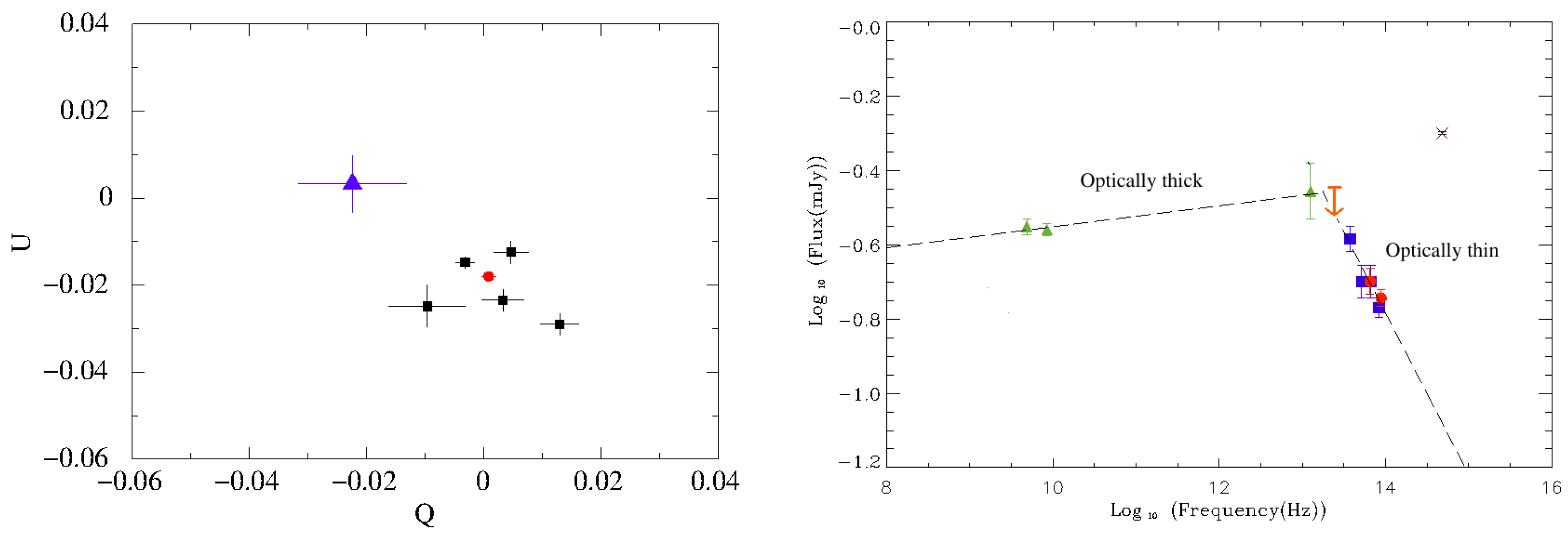
2.1. The Ultra-Compact X-ray Binary 4U 0614+091
2.2. The Transitional Millisecond Pulsar PSR J1023+0038
3. Discussion
Acknowledgments
Author Contributions
Conflicts of Interest
References
- Russell, D.M.; Miller-Jones, J.C.A.; Maccarone, T.J.; Yang, Y.J.; Fender, R.P.; Lewis, F. Testing the Jet Quenching Paradigm with an Ultradeep Observation of a Steadily Soft State Black Hole. Astrophys. J. Lett. 2011, 739, L19. [Google Scholar] [CrossRef]
- Muñoz-Darias, T.; Fender, R.P.; Motta, S.E.; Belloni, T.M. Black hole-like hysteresis and accretion states in neutron star low-mass X-ray binaries. Mon. Not. R. Astron. Soc. 2014, 443, 3270–3283. [Google Scholar] [CrossRef]
- Fender, R.P. Powerful jets from black hole X-ray binaries in low/hard X-ray states. Mon. Not. R. Astron. Soc. 2001, 322, 31–42. [Google Scholar] [CrossRef]
- Migliari, S.; Migliari1, S.; Tomsick, J.A.; Miller-Jones, J.C.A.; Heinz, S.; Hynes, R.I.; Fender, R.P.; Gallo, E.; Jonker, P.G.; Maccarone, T.J. The Complete Spectrum of the Neutron Star X-ray Binary 4U 0614+091. Astrophys. J. 2010, 710, 117–124. [Google Scholar] [CrossRef]
- Gandhi, P.; Gandhi, P.; Blain, A.W.; Russell, D.M.; Casella, P.; Malzac, J.; Corbel, S.; D’Avanzo, P.; Lewis, F.W.; Markoff, S.; et al. A Variable Mid-infrared Synchrotron Break Associated with the Compact Jet in GX 339-4. Astrophys. J. Lett. 2011, 740, L13. [Google Scholar] [CrossRef]
- Nelemans, G.; Jonker, P.G.; Steeghs, D. Optical spectroscopy of (candidate) ultracompact X-ray binaries: Constraints on the composition of the donor stars. Mon. Not. R. Astron. Soc. 2006, 370, 255–262. [Google Scholar] [CrossRef]
- Baglio, M.C.; Mainetti, D.; D’Avanzo, P.; Campana, S.; Covino, S.; Russell, D.M.; Shahbaz, T. Polarimetric and spectroscopic optical observations of the ultra-compact X-ray binary 4U 0614+091. Astron. Astrophys. 2014, 572, A99. [Google Scholar] [CrossRef]
- O’Brien, K. A Life with Stars. In Proceedings of the Honor of Ed van den Heuvel, Amsterdam, The Netherlands, 22–26 August 2005. [Google Scholar]
- Zhang, Y.; Hynes, R.I.; Robinson, E.L. Millihertz quasi-periodic optical oscillations in 4U 0614+091. Mon. Not. R. Astron. Soc. 2012, 419, 2943–2948. [Google Scholar] [CrossRef]
- Shahbaz, T.; Watson, C.A.; Zurita, C.; Villaver, E.; Hernandez-Peralta, H. Time-Resolved Optical Photometry of the Ultracompact Binary 4U 0614+091. Publ. Astron. Soc. Pac. 2008, 120, 848–851. [Google Scholar] [CrossRef]
- Madej, O.K.; Jonker, P.G.; Groot, P.J.; van Haaften, L.M.; Nelemans, G.; Maccarone, T.J. Time-resolved X-Shooter spectra and RXTE light curves of the ultra-compact X-ray binary candidate 4U 0614+091. Mon. Not. R. Astron. Soc. 2013, 429, 2986–2996. [Google Scholar] [CrossRef]
- Stetson, P.B. DAOPHOT—A computer program for crowded-field stellar photometry. Publ. Astron. Soc. Pac. 1987, 99, 191–222. [Google Scholar] [CrossRef]
- Covino, S.; Molinari, E.; Bruno, P.; Cecconi, M.; Conconi, P.; D’Avanzo, P.; di Fabrizio, L.; Fugazza, D.; Giarrusso, M.; Giro, E.; et al. PAOLO: A Polarimeter Add-On for the LRS Optics at a Nasmyth focus of the TNG. Astrono. Nachr. 2014, 335, 117–123. [Google Scholar] [CrossRef]
- Wardle, J.F.C.; Kronberg, P.P. The linear polarization of quasi-stellar radio sources at 3.71 and 11.1 centimeters. Astrophys. J. 1974, 194, 249–255. [Google Scholar] [CrossRef]
- Bond, H.E.; White, R.L.; Becker, R.H.; Sean O’Brien, M. FIRST J102347.6+003841: The First Radio-selected Cataclysmic Variable. Publ. Astron. Soc. Pac. 2002, 114, 1359–1363. [Google Scholar] [CrossRef]
- Szkody, P.; Fraser, O.; Silvestri, N.; Henden, A.; Anderson, S.F.; Frith, J.; Lawton, B.; Owens, E.; Raymond, S.; Schmidt, G.; et al. Cataclysmic Variables from the Sloan Digital Sky Survey. II. The Second Year. Astron. J. 2003, 126, 1499–1514. [Google Scholar] [CrossRef]
- Archibald, A.M.; Kaspi, V.M.; Hessels, J.W.T.; Stappers, B.; Janssen, G.; Lyne, A. Long-Term Radio Timing Observations of the Transition Millisecond Pulsar PSR J1023+0038. ArXiv, 2013; arXiv:astro-ph.HE/1311.5161. [Google Scholar]
- Stappers, B.W.; Archibald, A.M.; Hessels, J.W.T.; Bassa, C.G.; Bogdanov, S.; Janssen, G.H.; Kaspi, V.M.; Lyne, A.G.; Patruno, A.; Tendulkar, S.; et al. A State Change in the Missing Link Binary Pulsar System PSR J1023+0038. Astrophys. J. 2014, 790, 39–47. [Google Scholar] [CrossRef]
- Archibald, A.M.; Stairs, I.H.; Ransom, S.M.; Kaspi, V.M.; Kondratiev, V.I.; Lorimer, D.R.; McLaughlin, M.A.; Boyles, J.; Hessels, J.W.T.; Lynch, R.; et al. A Radio Pulsar/X-ray Binary Link. Science 2009, 324, 1411–1414. [Google Scholar] [CrossRef] [PubMed]
- Deller, A.T.; Archibald, A.M.; Brisken, W.F.; Chatterjee, S.; Janssen, G.H.; Kaspi, V.M.; Lorimer, D.; Lyne, A.G.; McLaughlin, M.A.; Ransom, S.; et al. A Parallax Distance and Mass Estimate for the Transitional Millisecond Pulsar System J1023+0038. Astrophys. J. Lett. 2012, 756, L25. [Google Scholar] [CrossRef]
- Di Serego Alighieri, S. Instrumentation for Large Telescopes; Cambrigre University Press: Cambrige, UK, 1998; Volume 199, p. 287. [Google Scholar]
- Covino, S.; Lazzati, D.; Ghisellini, G.; Saracco, P.; Campana, S.; Chincarini, G.; di Serego, S.; Cimatti, A.; Vanzi, L.; Pasquini, L.; et al. GRB 990510: Linearly polarized radiation from a fireball. Astron. Astrophys. 1999, 348, L1–L4. [Google Scholar]
- Coti Zelati, F.; Baglio, M.C.; Campana, S.; D’Avanzo, P.; Goldoni, P.; Masetti, N.; Muñoz-Darias, T.; Covino, S.; Fender, R.P.; Jiménez Bailón, E.; et al. Engulfing a radio pulsar: The case of PSR J1023+0038. Mon. Not. R. Astron. Soc. 2014, 444, 1783–1792. [Google Scholar] [CrossRef]
- Schultz, J.; Hakala, P.; Huovelin, J. Polarimetric Survey of Low-Mass X-ray Binaries. Balt. Astron. 2004, 13, 581–595. [Google Scholar]
- Russell, D.M.; Casella, P.; Fender, R.; Soleri, P.; Pretorius, M.L.; Lewis, F.; van der Klis, M. Rapid variations of polarization in low-mass X-ray binaries. ArXiv, 2011; arXiv:astro-ph.HE/1104.0837. [Google Scholar]
- Campana, S.; Coti Zelati, F.; Papitto, A.; Rea, N.; Torres, D.F.; Baglio, M.C.; D’Avanzo, P. A physical scenario for the high and low X-ray luminosity states in the transitional pulsar PSR J1023+0038. Astron. Astrophys. 2016, 594, A31. [Google Scholar] [CrossRef]
- Deller, A.; Degenaar, N.; Hessels, J.; Heinke, C.; Jaodand, A. Radio detection of the transient neutron star LMXB 1RXS J180408.9-342058. The Astronomer’s Telegram, 24 December 2015. [Google Scholar]
- Baglio, M.C.; D’Avanzo, P.; Campana, S.; Coti Zelati, F.; Covino, S.; Russell, D.M. Different twins in the millisecond pulsar recycling scenario: Optical polarimetry of PSR J1023+0038 and XSS J12270-4859. Astron. Astrophys. 2016, 591, A101. [Google Scholar] [CrossRef]


| Object | Q (%) | U (%) |
|---|---|---|
| 4U 0614+091 | ||
| Star 1 | ||
| Star 2 | ||
| Star 3 | ||
| Star 4 | ||
| Star 5 | ||
| Weighted mean |
| B | V | R | i |
|---|---|---|---|
| P (%) | |||
| P ( upper limit) | |||
| – | – | ||
| Interstellar/instrumental LP ( upper limit) | |||
© 2017 by the authors. Licensee MDPI, Basel, Switzerland. This article is an open access article distributed under the terms and conditions of the Creative Commons Attribution (CC BY) license (http://creativecommons.org/licenses/by/4.0/).
Share and Cite
Baglio, M.C.; D’Avanzo, P.; Campana, S.; Russell, D.M. Searching for Jet Emission in LMXBs: A Polarimetric View. Galaxies 2017, 5, 62. https://doi.org/10.3390/galaxies5040062
Baglio MC, D’Avanzo P, Campana S, Russell DM. Searching for Jet Emission in LMXBs: A Polarimetric View. Galaxies. 2017; 5(4):62. https://doi.org/10.3390/galaxies5040062
Chicago/Turabian StyleBaglio, Maria Cristina, Paolo D’Avanzo, Sergio Campana, and Dave M. Russell. 2017. "Searching for Jet Emission in LMXBs: A Polarimetric View" Galaxies 5, no. 4: 62. https://doi.org/10.3390/galaxies5040062
APA StyleBaglio, M. C., D’Avanzo, P., Campana, S., & Russell, D. M. (2017). Searching for Jet Emission in LMXBs: A Polarimetric View. Galaxies, 5(4), 62. https://doi.org/10.3390/galaxies5040062

