The Baryonic Halos of Isolated Elliptical Galaxies
Abstract
1. Introduction
2. Globular Clusters in Isolated Ellipticals
2.1. Observations
2.2. Results
3. Deep Imaging of Isolated Ellipticals
3.1. Observations
3.2. Results
4. Conclusions and Outlook
- Optical color bimodality is a common feature in GCSs, even for the most isolated elliptical galaxies.
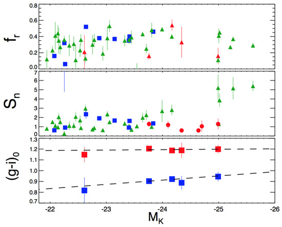
- The red fractions of GCs in isolated ellipticals are on average lower than the ones in cluster environments, at odds with the predictions of hierarchical merging (e.g., [3]). Specific frequencies are also lower compared to cluster galaxies, with a remarkably flat behavior around .
- The blue peaks of GCSs in isolated ellipticals present a mild correlation with galaxy luminosity, although this result is driven mostly by the faintest galaxy in the sample (NGC 4240).
- Deep imaging of six isolated ellipticals reaching show that these galaxies follow a Sérsic profile with low Sérsic index, more akin to dwarf ellipticals than giant ellipticals.
- Spectroscopic follow-up will provide the outer halo dynamics necessary for a systematic study of the dark matter content of isolated ellpticals, which might be rather small, as shown in the case of NGC 7507 [15,16]. Given the large distances to these systems, measuring the ages and metallicities of their GCs spectroscopically is prohibitive; therefore, these quantities will probably only be accessible through near-infrared imaging. A near-infrared imaging campaign for most of the galaxies discussed here is underway.
Acknowledgments
Author Contributions
Conflicts of Interest
Abbreviations
| GC | globular cluster |
| GCS | globular cluster system |
| specific frequency |
References
- Peng, E.W.; Jordán, A.; Côté, P.; Takamiya, M.; West, M.J.; Blakeslee, J.P.; Chen, C.W.; Ferrarese, L.; Mei, S.; Tonry, J.L.; et al. The ACS Virgo Cluster Survey. XV. The Formation Efficiencies of Globular Clusters in Early-Type Galaxies: The Effects of Mass and Environment. Astrophys. J. 2008, 681, 197–224. [Google Scholar] [CrossRef]
- Niemi, S.; Heinämäki, P.; Nurmi, P.; Saar, E. Formation, evolution and properties of isolated field elliptical galaxies. Mon. Not. R. Astron. Soc. 2010, 405, 477–493. [Google Scholar] [CrossRef]
- Tonini, C. The Metallicity Bimodality of Globular Cluster Systems: A Test of Galaxy Assembly and of the Evolution of the Galaxy Mass-Metallicity Relation. Astrophys. J. 2013, 762, 39. [Google Scholar] [CrossRef]
- Abadi, M.G.; Navarro, J.F.; Steinmetz, M. Stars beyond galaxies: The origin of extended luminous haloes around galaxies. Mon. Not. R. Astron. Soc. 2006, 365, 747–758. [Google Scholar] [CrossRef]
- Reda, F.M.; Forbes, D.A.; Beasley, M.A.; O’Sullivan, E.J.; Goudfrooij, P. The photometric properties of isolated early-type galaxies. Mon. Not. R. Astron. Soc. 2004, 354, 851–869. [Google Scholar] [CrossRef]
- Smith, R.M.; Martínez, V.J.; Graham, M.J. A Sample of Field Ellipticals. Astrophys. J. 2004, 617, 1017–1021. [Google Scholar] [CrossRef]
- Caso, J.P.; Richtler, T.; Bassino, L.P.; Salinas, R.; Lane, R.R.; Romanowsky, A. The paucity of globular clusters around the field elliptical NGC 7507. Astron. Astrophys. 2013, 555, A56. [Google Scholar] [CrossRef]
- Lane, R.R.; Salinas, R.; Richtler, T. Isolated ellipticals and their globular cluster systems. I. Washington photometry of NGC 3585 and NGC 5812. Astron. Astrophys. 2013, 549, A148. [Google Scholar] [CrossRef]
- Richtler, T.; Salinas, R.; Lane, R.R.; Hilker, M.; Schirmer, M. Isolated elliptical galaxies and their globular cluster systems. II. NGC 7796–Globular clusters, dynamics, companion. Astron. Astrophys. 2015, 574, A21. [Google Scholar] [CrossRef]
- Salinas, R.; Alabi, A.; Richtler, T.; Lane, R.R. Isolated ellipticals and their globular cluster systems. III. NGC 2271, NGC 2865, NGC 3962, NGC 4240, and IC 4889. Astron. Astrophys. 2015, 577, A59. [Google Scholar] [CrossRef]
- Stetson, P.B. DAOPHOT—A computer program for crowded-field stellar photometry. Publ. Astron. Soc. Pac. 1987, 99, 191–222. [Google Scholar] [CrossRef]
- Cho, J.; Sharples, R.M.; Blakeslee, J.P.; Zepf, S.E.; Kundu, A.; Kim, H.S.; Yoon, S.J. Globular cluster systems of early-type galaxies in low-density environments. Mon. Not. R. Astron. Soc. 2012, 422, 3591–3610. [Google Scholar] [CrossRef]
- Schirmer, M. THELI: Convenient Reduction of Optical, Near-infrared, and Mid-infrared Imaging Data. Astrophys. J. Suppl. Ser. 2013, 209, 21. [Google Scholar] [CrossRef]
- Kormendy, J.; Fisher, D.B.; Cornell, M.E.; Bender, R. Structure and Formation of Elliptical and Spheroidal Galaxies. Astrophys. J. Suppl. Ser. 2009, 182, 216–309. [Google Scholar] [CrossRef]
- Salinas, R.; Richtler, T.; Bassino, L.P.; Romanowsky, A.J.; Schuberth, Y. Kinematic properties of the field elliptical NGC 7507. Astron. Astrophys. 2012, 538, A87. [Google Scholar] [CrossRef]
- Lane, R.R.; Salinas, R.; Richtler, T. Dark matter deprivation in the field elliptical galaxy NGC 7507. Astron. Astrophys. 2015, 574, A93. [Google Scholar] [CrossRef]


© 2017 by the authors. Licensee MDPI, Basel, Switzerland. This article is an open access article distributed under the terms and conditions of the Creative Commons Attribution (CC BY) license (http://creativecommons.org/licenses/by/4.0/).
Share and Cite
Salinas, R.; Alabi, A.; Hammar, N.; Richtler, T.; Lane, R.R.; Schirmer, M. The Baryonic Halos of Isolated Elliptical Galaxies. Galaxies 2017, 5, 42. https://doi.org/10.3390/galaxies5030042
Salinas R, Alabi A, Hammar N, Richtler T, Lane RR, Schirmer M. The Baryonic Halos of Isolated Elliptical Galaxies. Galaxies. 2017; 5(3):42. https://doi.org/10.3390/galaxies5030042
Chicago/Turabian StyleSalinas, Ricardo, Adebusola Alabi, Nicklas Hammar, Tom Richtler, Richard R. Lane, and Mischa Schirmer. 2017. "The Baryonic Halos of Isolated Elliptical Galaxies" Galaxies 5, no. 3: 42. https://doi.org/10.3390/galaxies5030042
APA StyleSalinas, R., Alabi, A., Hammar, N., Richtler, T., Lane, R. R., & Schirmer, M. (2017). The Baryonic Halos of Isolated Elliptical Galaxies. Galaxies, 5(3), 42. https://doi.org/10.3390/galaxies5030042

