Relic—Shock Connection in Abell 115
Abstract
:1. Introduction
2. Observations
2.1. Chandra
2.2. VLA
3. Relic–Shock Connection
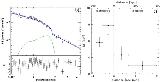
3.1. Shock Detection
3.2. Relic Morphology and Location
3.3. Evidence of Particle Re-Acceleration?
4. Conclusions
- The discovery of a shock in the N part of the cluster. The Mach numbers derived via SB and temperature jump are consistent, leading to and , respectively.
- The shock is co-spatially located with the W part of the radio relic. This strongly supports the idea that shocks play a crucial role in the formation of relics.
- The low Mach number of the shock in A115, compared to the spectral index of relic, rules out particle acceleration from the thermal pool. On the other hand, a scenario where the shock is re-accelerating CRs injected in the ICM by the surrounding radiogalaxies appears energetically favored.
- The E part of the relic is located in a low X-ray SB region which does not allow a clear investigation with current Chandra data. However, the relic morphology is consistent with numerical simulations of an off-axis merger between galaxy clusters with different mass, where the shock bends around the less massive cluster. In this respect, we propose that this relic region is due to the uplifting of the radiogalaxies plasma by the shock spreading out in the cluster outskirts.
Acknowledgments
Author Contributions
Conflicts of Interest
Abbreviations
| CR | cosmic ray |
| DSA | diffusive shock acceleration |
| ICM | intra-cluster medium |
| SB | surface brightness |
| SNR | supernova remnant |
| VLA | Very Large Array |
References
- Feretti, L.; Giovannini, G.; Govoni, F.; Murgia, M. Clusters of galaxies: observational properties of the diffuse radio emission. Astron. Astrophys. Rev. 2012, 20, 54. [Google Scholar] [CrossRef]
- Brunetti, G.; Jones, T. Cosmic Rays in Galaxy Clusters and Their Nonthermal Emission. Int. J. Mod. Phys. D 2014, 23, 1430007. [Google Scholar] [CrossRef]
- Eckert, D.; Molendi, S.; Paltani, S. The cool-core bias in X-ray galaxy cluster samples. I. Method and application to HIFLUGCS. Astron. Astrophys. 2011, 526, A79. [Google Scholar] [CrossRef]
- Bartalucci, I.; Mazzotta, P.; Bourdin, H.; Vikhlinin, A. Chandra ACIS-I particle background: an analytical model. Astron. Astrophys. 2014, 566, A25. [Google Scholar] [CrossRef]
- Govoni, F.; Feretti, L.; Giovannini, G.; Böhringer, H.; Reiprich, T.H.; Murgia, M. Radio and X-ray diffuse emission in six clusters of galaxies. Astron. Astrophys. 2001, 376, 803–819. [Google Scholar] [CrossRef]
- Forman, W.; Bechtold, J.; Blair, W.; Giacconi, R.; van Speybroeck, L.; Jones, C. Einstein imaging observations of clusters with a bimodal mass distribution. Astrophys. J. 1981, 243, L133–L136. [Google Scholar] [CrossRef]
- Shibata, R.; Honda, H.; Ishida, M.; Ohashi, T.; Yamashita, K. Temperature Variation in the Cluster of Galaxies Abell 115 Studied with ASCA. Astrophys. J. 1999, 524, 603–611. [Google Scholar] [CrossRef]
- Gutierrez, K.; Krawczynski, H. The Off-Axis Galaxy Cluster Merger A115. Astrophys. J. 2005, 619, 161–168. [Google Scholar] [CrossRef]
- Barrena, R.; Boschin, W.; Girardi, M.; Spolaor, M. The dynamical status of the galaxy cluster Abell 115. Astron. Astrophys. 2007, 469, 861–872. [Google Scholar] [CrossRef]
- Finoguenov, A.; Sarazin, C.; Nakazawa, K.; Wik, D.; Clarke, T. XMM-Newton Observation of the Northwest Radio Relic Region in A3667. Astrophys. J. 2010, 715, 1143–1151. [Google Scholar] [CrossRef]
- Akamatsu, H.; Kawahara, H. Systematic X-Ray Analysis of Radio Relic Clusters with Suzaku. Publ. Astron. Soc. Jpn. 2013, 65, 16. [Google Scholar] [CrossRef]
- Bourdin, H.; Mazzotta, P.; Markevitch, M.; Giacintucci, S.; Brunetti, G. Shock Heating of the Merging Galaxy Cluster A521. Astrophys. J. 2013, 764, 82. [Google Scholar] [CrossRef]
- Shimwell, T.; Markevitch, M.; Brown, S.; Feretti, L.; Gaensler, B.; Johnston-Hollitt, M.; Lage, C.; Srinivasan, R. Another shock for the Bullet cluster, and the source of seed electrons for radio relics. Mon. Not. R. Astron. Soc. 2015, 449, 1486–1494. [Google Scholar] [CrossRef]
- Eckert, D.; Jauzac, M.; Vazza, F.; Owers, M.; Kneib, J.P.; Tchernin, C.; Intema, H.; Knowles, K. A shock front at the radio relic of Abell 2744. Mon. Not. R. Astron. Soc. 2016, 461, 1302–1307. [Google Scholar] [CrossRef]
- Botteon, A.; Gastaldello, F.; Brunetti, G.; Dallacasa, D. A shock at the radio relic position in Abell 115. Mon. Not. R. Astron. Soc. 2016, 460, L84–L88. [Google Scholar] [CrossRef]
- Botteon, A.; Gastaldello, F.; Brunetti, G.; Kale, R. A M ≳ 3 shock in ‘El Gordo’ cluster and the origin of the radio relic. Mon. Not. R. Astron. Soc. 2016, 463, 1534–1542. [Google Scholar] [CrossRef]
- Van Weeren, R.; Brüggen, M.; Röttgering, H.; Hoeft, M. Using double radio relics to constrain galaxy cluster mergers: a model of double radio relics in CIZA J2242.8+5301. Mon. Not. R. Astron. Soc. 2011, 418, 230–243. [Google Scholar] [CrossRef]
- Ricker, P.; Sarazin, C. Off-Axis Cluster Mergers: Effects of a Strongly Peaked Dark Matter Profile. Astrophys. J. 2001, 561, 621–644. [Google Scholar] [CrossRef]
- Vazza, F.; Brüggen, M. Do radio relics challenge diffusive shock acceleration? Mon. Not. R. Astron. Soc. 2014, 437, 2291–2296. [Google Scholar] [CrossRef]
- Vazza, F.; Eckert, D.; Brüggen, M.; Huber, B. Electron and proton acceleration efficiency by merger shocks in galaxy clusters. Mon. Not. R. Astron. Soc. 2015, 451, 2198–2211. [Google Scholar] [CrossRef]
- Vazza, F.; Brüggen, M.; Wittor, D.; Gheller, C.; Eckert, D.; Stubbe, M. Constraining the efficiency of cosmic ray acceleration by cluster shocks. Mon. Not. R. Astron. Soc. 2016, 459, 70–83. [Google Scholar] [CrossRef]
- Markevitch, M.; Govoni, F.; Brunetti, G.; Jerius, D. Bow Shock and Radio Halo in the Merging Cluster A520. Astrophys. J. 2005, 627, 733–738. [Google Scholar] [CrossRef]
- Kang, H.; Ryu, D.; Jones, T. Diffusive Shock Acceleration Simulations of Radio Relics. Astrophys. J. 2012, 756, 97. [Google Scholar] [CrossRef]
- Pinzke, A.; Oh, S.; Pfrommer, C. Giant radio relics in galaxy clusters: reacceleration of fossil relativistic electrons? Mon. Not. R. Astron. Soc. 2013, 435, 1061–1082. [Google Scholar] [CrossRef]
- Kang, H.; Ryu, D. Re-acceleration Model for Radio Relics with Spectral Curvature. Astrophys. J. 2016, 823, 13. [Google Scholar] [CrossRef]
- Blandford, R.; Eichler, D. Particle acceleration at astrophysical shocks: A theory of cosmic ray origin. Phys. Rep. 1987, 154, 1–75. [Google Scholar] [CrossRef]
- Kang, H.; Ryu, D. Re-acceleration of Non-thermal Particles at Weak Cosmological Shock Waves. Astrophys. J. 2011, 734, 18. [Google Scholar] [CrossRef]
- Bonafede, A.; Giovannini, G.; Feretti, L.; Govoni, F.; Murgia, M. Double relics in Abell 2345 and Abell 1240. Spectral index and polarization analysis. Astron. Astrophys. 2009, 494, 429–442. [Google Scholar] [CrossRef]
- Van Weeren, R.; Röttgering, H.; Brüggen, M.; Hoeft, M. Particle Acceleration on Megaparsec Scales in a Merging Galaxy Cluster. Science 2010, 330, 347. [Google Scholar] [CrossRef] [PubMed]
- Botteon, A.; Brunetti, G.; Dallacasa, D. Constraining magnetic field strength in radio relics. In Proceedings of the Many Facets of Extragalactic Radio Surveys: Towards New Scientific Challenges, Bologna, Italy, 20–23 October 2015; p. 46.
- Bonafede, A.; Intema, H.; Brüggen, M.; Girardi, M.; Nonino, M.; Kantharia, N.; van Weeren, R.; Röttgering, H. Evidence for Particle Re-acceleration in the Radio Relic in the Galaxy Cluster PLCKG287.0+32.9. Astrophys. J. 2014, 785, 1. [Google Scholar] [CrossRef]




© 2016 by the authors; licensee MDPI, Basel, Switzerland. This article is an open access article distributed under the terms and conditions of the Creative Commons Attribution (CC-BY) license (http://creativecommons.org/licenses/by/4.0/).
Share and Cite
Botteon, A.; Gastaldello, F.; Brunetti, G.; Dallacasa, D. Relic—Shock Connection in Abell 115. Galaxies 2016, 4, 68. https://doi.org/10.3390/galaxies4040068
Botteon A, Gastaldello F, Brunetti G, Dallacasa D. Relic—Shock Connection in Abell 115. Galaxies. 2016; 4(4):68. https://doi.org/10.3390/galaxies4040068
Chicago/Turabian StyleBotteon, Andrea, Fabio Gastaldello, Gianfranco Brunetti, and Daniele Dallacasa. 2016. "Relic—Shock Connection in Abell 115" Galaxies 4, no. 4: 68. https://doi.org/10.3390/galaxies4040068
APA StyleBotteon, A., Gastaldello, F., Brunetti, G., & Dallacasa, D. (2016). Relic—Shock Connection in Abell 115. Galaxies, 4(4), 68. https://doi.org/10.3390/galaxies4040068

