A Panchromatic View of Relativistic Jets in Narrow-Line Seyfert 1 Galaxies
Abstract
:1. Introduction
2. The Fermi-LAT View of NLSy1
2.1. Fermi-LAT Data Analysis
2.2. γ-ray Properties
3. X-ray Properties
4. Infrared-to-UV Properties
5. Radio Properties
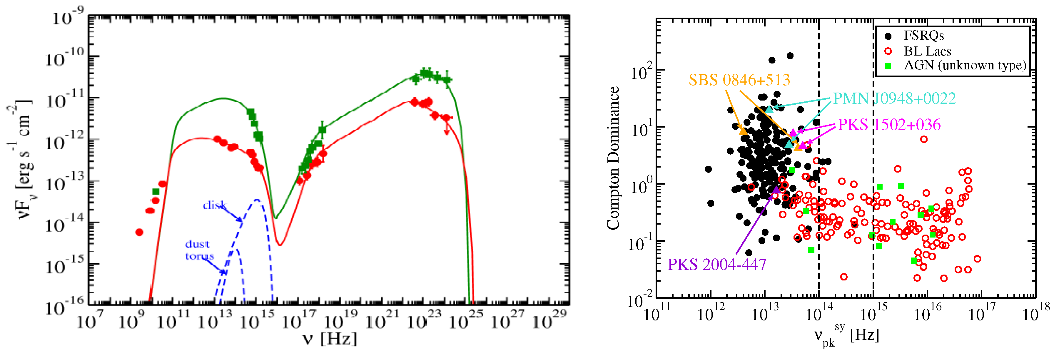
6. SED Modelling of γ-ray Emitting NLSy1
7. Black Hole Mass, Host Galaxy, and Jet Formation
Acknowledgments
Author Contributions
Conflicts of Interest
References
- Atwood, W.B.; Abdo, A.A.; Ackermann, M.; Althouse, W.; Anderson, B.; Axelsson, M.; Baldini, L.; Ballet, J.; Band, D.L.; Barbiellini, G.; et al. The large area telescope on the Fermi gamma-ray space telescope mission. Astrophys. J. 2009, 697, 1071–1102. [Google Scholar] [CrossRef]
- Blandford, R.D.; Rees, M.J. Some comments on radiation mechanisms in Lacertids. In Proceedings of the Pittsburgh Conference on BL Lac Objects, Pittsburgh, PA, USA, 24–26 April 1978.
- Acero, F.; Ackermann, M.; Ajello, M.; Albert, A.; Atwood, W.B.; Axelsson, M.; Baldini, L.; Ballet, J.; Barbiellini, G.; Bastieri, D.; et al. Fermi large area telescope third source catalog. Astrophys. J. Suppl. 2015, 218, 23. [Google Scholar] [CrossRef]
- Abdo, A.A.; Ackermann, M.; Ajello, M.; Axelsson, M.; Baldini, L.; Ballet, J.; Barbiellini, G.; Bastieri, D.; Battelino, M.; Baughman, B.M.; et al. Fermi/large area telescope discovery of gamma-ray emission from a relativistic jet in the narrow-line quasar PMN J0948 + 0022. Astrophys. J. 2009, 699, 976–984. [Google Scholar] [CrossRef]
- Abdo, A.A.; Ackermann, M.; Ajello, M.; Baldini, L.; Ballet, J.; Barbiellini, G.; Bastieri, D.; Bechtol, K.; Bellazzini, R.; Berenji, B.; et al. Radio-loud narrow-line Seyfert 1 as a new class of gamma-ray active galactic nuclei. Astrophys. J. 2009, 707, L142–L147. [Google Scholar] [CrossRef]
- Osterbrock, D.E.; Pogge, R.W. The spectra of narrow-line Seyfert 1 galaxies. Astrophys. J. 1985, 297, 166–176. [Google Scholar] [CrossRef]
- Pogge, R.W. Narrow-line Seyfert 1s: 15 years later. New Astron. Rev. 2000, 44, 381–385. [Google Scholar] [CrossRef]
- Grupe, D.; Komossa, S.; Leighly, K.M.; Page, K.L. The Simultaneous optical-to-X-ray spectral energy distribution of soft X-ray selected active galactic nuclei observed by swift. Astrophys. J. Suppl. 2010, 187, 64–106. [Google Scholar] [CrossRef]
- Komossa, S.; Voges, W.; Xu, D.; Mathur, S.; Adorf, H.-M.; Lemson, G.; Duschl, W.J.; Grupe, D. Radio-loud narrow-line Type 1 quasars. Astron. J. 2006, 132, 531–545. [Google Scholar] [CrossRef]
- Komatsu, E.; Smith, K.M.; Dunkley, J.; Bennett, C.L.; Gold, B.; Hinshaw, G.; Jarosik, N.; Larson, D.; Nolta, M.R.; Page, L.; et al. Seven-year wilkinson microwave anisotropy probe (WMAP) observations: Cosmological interpretation. Astrophys. J. Suppl. 2011, 192, 18. [Google Scholar] [CrossRef]
- Abdo, A.A.; Ackermann, M.; Ajello, M.; Allafort, A.; Antolini, E.; Atwood, W.B.; Axelsson, M.; Baldini, L.; Ballet, J.; Barbiellini, G.; et al. Fermi large area telescope first source catalog. Astrophys. J. Suppl. 2010, 188, 405. [Google Scholar] [CrossRef]
- D’Ammando, F.; Orienti, M.; Finke, J.; Raiteri, C.M.; Angelakis, E.; Fuhrmann, L.; Giroletti, M.; Hovatta, T.; Max-Moerbeck, W.; Perkins, J.S.; et al. SBS 0846+513: A new γ-ray-emitting narrow-line Seyfert 1 galaxy. Mon. Not. R. Astron. Soc. 2012, 426, 317–329. [Google Scholar] [CrossRef]
- D’Ammando, F.; Orienti, M.; Larsson, J.; Giroletti, M. The first γ-ray detection of the narrow-line Seyfert 1 FBQS J1644+2619. Mon. Not. R. Astron. Soc. 2015, 452, 520–524. [Google Scholar] [CrossRef]
- Yuan, W.; Zhou, H.Y.; Komossa, S.; Dong, X.B.; Wang, T.G.; Lu, H.L.; Bai, J.M.A. Population of radio-loud narrow-line Seyfert 1 galaxies with blazar-like properties? Astrophys. J. 2008, 685, 801–827. [Google Scholar] [CrossRef]
- Foschini, L. Evidence of powerful relativistic jets in narrow-line Seyfert 1 galaxies. 2011; arXiv:1105.0772. [Google Scholar]
- Foschini, L.; Berton, M.; Caccianiga, A.; Ciroi, S.; Cracco, V.; Peterson, B.M.; Angelakis, E.; Braito, V.; Fuhrmann, L.; Gallo, L.; et al. Properties of flat-spectrum radio-loud narrow-line Seyfert 1 galaxies. Astron. Astrophys. 2015, 575, A13. [Google Scholar] [CrossRef]
- Acero, F.; Ackermann, M.; Ajello, M.; Albert, A.; Baldini, L.; Ballet, J.; Barbiellini, G.; Bastieri, D.; Bellazzini, R.; Bissaldi, E.; et al. Development of the Model of Galactic Interstellar Emission for Standard Point-source Analysis of Fermi Large Area Telescope Data. Astrophys. J. Suppl. 2011, 223, 26–48. [Google Scholar] [CrossRef]
- Atwood, W.; Albert, A.; Baldini, L.; Tinivella, M.; Bregeon, J.; Pesce-Rollins, M.; Sgrò, C.; Bruel, P.; Charles, E.; Drlica-Wagner, A. Pass 8: Toward the full realization of the fermi-LAT scientific potential. In Proceedings of the 2012 Fermi Symposium, Monterey, CA, USA, 2 November 2012.
- Mattox, J.R.; Bertsch, D.L.; Chiang, J.; Dingus, B.L.; Digel, S.W.; Esposito, J.A.; Fierro, J.M.; Hartman, R.C.; Hunter, S.D.; Kanbach, G.; et al. The likelihood analysis of EGRET data. Astrophys. J. 1996, 461, 396–407. [Google Scholar] [CrossRef]
- Ackermann, M.; Ajello, M.; Atwood, W.B.; Baldini, L.; Ballet, J.; Barbiellini, G.; Bastieri, D.; Becerra Gonzalez, J.; Bellazzini, R.; Bissaldi, E.; et al. The third catalog of active galactic nuclei detected by the fermi large area telescope. Astrophys. J. 2015, 810, 14. [Google Scholar] [CrossRef]
- D’Ammando, F.; Orienti, M.; Finke, J.; Raiteri, C.M.; Angelakis, E.; Fuhrmann, L.; Giroletti, M.; Hovatta, T.; Karamanavis, V.; Max-Moerbeck, W.; et al. Multifrequency studies of the narrow-line Seyfert 1 galaxy SBS 0846+513. Mon. Not. R. Astron. Soc. 2013, 436, 191–201. [Google Scholar] [CrossRef]
- Foschini, L.; Ghisellini, G.; Kovalev, Y.Y.; Lister, M.L.; D’Ammando, F.; Thompson, D.J.; Tramacere, A.; Angelakis, E.; Donato, D.; Falcone, A.; et al. The first gamma-ray outburst of a narrow-line Seyfert 1 galaxy: The case of PMN J0948+0022 in 2010 July. Mon. Not. R. Astron. Soc. 2011, 413, 1671–1677. [Google Scholar] [CrossRef]
- D’Ammando, F.; Orienti, M.; Finke, J.; Raiteri, C.M.; Hovatta, T.; Larsson, J.; Max-Moerbeck, W.; Perkins, J.; Readhead, A.C.S.; Richards, J. L.; et al. The most powerful flaring activity from the NLSy1 PMN J0948+0022. Mon. Not. R. Astron. Soc. 2015, 446, 2456–2467. [Google Scholar] [CrossRef]
- Paliya, V.S.; Sahayanathan, S.; Parker, M.L.; Fabian, A.C.; Stalin, C.S.; Anjum, A.; Pandey, S.B. The peculiar radio-loud narrow line Seyfert 1 galaxy 1H 0323+342. Astrophys. J. 2014, 789, 143. [Google Scholar] [CrossRef]
- D’Ammando, F.; Orienti, M.; Finke, J.; Hovatta, T.; Giroletti, M.; Max-Moerbeck, W.; Pearson, T.J.; Readhead, A.C.S.; Reeves, R.A.; Richards, J.L. The awakening of the γ-ray narrow-Line Seyfert 1 galaxy PKS 1502 + 036. Mon. Not. R. Astron. Soc. 2016, in press. [Google Scholar]
- Abdo, A.A.; Ackermann, M.; Ajello, M.; Atwood, W.B.; Axelsson, M.; Baldini, L.; Ballet, J.; Barbiellini, G.; Bastieri, D.; Bechtol, K.; et al. Spectral properties of bright fermi-detected blazars in the gamma-ray band. Astrophys. J. 2010, 710, 1271–1285. [Google Scholar] [CrossRef]
- Ackermann, M.; Ajello, M.; Allafort, A.; Atwood, W.B.; Baldini, L.; Ballet, J.; Barbiellini, G.; Bastieri, D.; Bechtol, K.; Belfiore, A.; et al. The first fermi-lat catalog of sources above 10 GeV. Astrophys. J. Suppl. 2013, 209, 34. [Google Scholar] [CrossRef]
- Ackermann, M.; Ajello, M.; Atwood, W.B.; Baldini, L.; Ballet, J.; Barbiellini, G.; Bastieri, D.; Becerra Gonzalez, J.; Bellazzini, R.; Bissaldi, E.; et al. 2FHL: The second catalog of hard fermi-LAT sources. Astrophys. J. Suppl. Ser. 2016, 222, 5. [Google Scholar] [CrossRef]
- D’Ammando, F.; Larsson, J.; Orienti, M.; Raiteri, C.M.; Angelakis, E.; Carraminana, A.; Carrasco, L.; Drake, A.J.; Fuhrmann, L.; Giroletti, M.; et al. Multiwavelength observations of the γ-ray-emitting narrow-line Seyfert 1 PMN J0948+0022 in 2011. Mon. Not. R. Astron. Soc. 2014, 438, 3521–3534. [Google Scholar] [CrossRef]
- D’Ammando, F.; Orienti, M.; Doi, A.; Giroletti, M.; Dallacasa, D.; Hovatta, T.; Drake, A.J.; Max-Moerbeck, W.; Readhead, A.C.S.; Richards, J.L. The ordinary life of the γ-ray emitting narrow-line Seyfert 1 galaxy PKS 1502+036. Mon. Not. R. Astron. Soc. 2013, 433, 952–961. [Google Scholar] [CrossRef]
- Orienti, M.; D’Ammando, F.; Larsson, J.; Finke, J.; Giroletti, M.; Dallacasa, D.; Isacsson, T.; Stoby Hoglund, J. Investigating powerful jets in radio-loud narrow-line Seyfert 1s. Mon. Not. R. Astron. Soc. 2015, 453, 4037–4050. [Google Scholar] [CrossRef]
- Kreikenbohm, A.; Schulz, R.; Kadler, M.; Wilms, J.; Markowitz, A.; Chang, C.S.; Carpenter, B.; Elsässer, D.; Gehrels, N.; Mannheim, K.; et al. The gamma-ray emitting radio-loud narrow-line Seyfert 1 galaxy PKS 2004−447. I. The X-ray View. Astron. Astrophys. 2016, 585, 91. [Google Scholar] [CrossRef]
- D’Ammando, F.; Raiteri, C.M.; Villata, M.; Romano, P.; Pucella, G.; Krimm, H.A.; Covino, S.; Orienti, M.; Giovannini, G.; Vercellone, S.; et al. AGILE detection of extreme γ–ray activity from the blazar PKS 1510-089 during March 2009. Multifrequency analysis. Astron. Astrophys. 2011, 529, A145. [Google Scholar] [CrossRef]
- Gierlinski, M.; Done, C. Is the soft excess in active galactic nuclei real? Mon. Not. R. Astron. Soc. 2004, 349, L7–L11. [Google Scholar] [CrossRef]
- Kataoka, J.; Madejski, G.; Sikora, M.; Roming, P.; Chester, M.M.; Grupe, D.; Tsubuku, Y.; Sato, R.; Kawai, N.; Tosti, G.; et al. Multiwavelength Observations of the powerful gamma-ray quasar PKS 1510–089: Clues on the jet composition. Astrophys. J. 2008, 672, 787–799. [Google Scholar] [CrossRef]
- Gallo, L.C.; Edwards, P.G.; Ferrero, E.; Kataoka, J.; Lewis, D.R.; Ellingsen, S.P.; Misanovic, Z.; Welsh, W.F.; Whiting, M.; Boller, T.; et al. The spectral energy distribution of PKS 2004−447: A compact steep-spectrum source and possible radio-loud narrow-line Seyfert 1 galaxy. Mon. Not. R. Astron. Soc. 2006, 370, 245–254. [Google Scholar] [CrossRef]
- Baumgartner, W.H.; Tueller, J.; Markwardt, C.B.; Skinner, G.K.; Barthelmy, S.; Mushotzky, R.F.; Evans, P.; Gehrels, N. The 70 month swift-BAT all-sky hard X-ray survey. Astrophys. J. Suppl. 2013, 207, 19. [Google Scholar] [CrossRef]
- Bird, A.J.; Bazzano, A.; Bassani, L.; Capitanio, F.; Fiocchi, M.; Hill, A.B.; Malizia, A.; McBride, V.A.; Scaringi, S.; Sguera, V.; et al. The fourth IBIS/ISGRI soft gamma-ray survey catalog. Astrophys. J. Suppl. 2010, 186, 1–9. [Google Scholar] [CrossRef]
- D’Abrusco, R.; Massaro, F.; Ajello, M.; Grindlay, J.E.; Smith, H.A.; Tosti, G. Infrared colors of the gamma-ray-detected blazars. Astrophys. J. 2012, 748, 68. [Google Scholar] [CrossRef]
- Caccianiga, A.; Antón, S.; Ballo, L.; Foschini, L.; Maccacaro, T.; Della Ceca, R.; Severgnini, P.; Marchã, M.J.; Mateos, S.; Sani, E. WISE colours and star formation in the host galaxies of radio-loud narrow-line Seyfert 1. Mon. Not. R. Astron. Soc. 2015, 451, 1795–1805. [Google Scholar] [CrossRef]
- Jiang, N.; Zhou, H.-Y.; Ho, L.C.; Yuan, W.; Wang, T.-G.; Dong, X.-B.; Jiang, P.; Ji, T.; Tian, Q. Rapid infrared variability of three radio-loud narrow-line Seyfert 1 galaxies: A view from the wide-field infrared survey explorer. Astrophys. J. 2012, 759, L31. [Google Scholar] [CrossRef]
- Itoh, R.; Tanaka, Y.T.; Fukazawa, Y.; Kawabata, K.S.; Kawaguchi, K.; Moritani, Y.; Takaki, K.; Ueno, I.; Uemura, M.; Akitaya, H.; et al. Minute-scale rapid variability of the optical polarization in the narrow-line Seyfert 1 galaxy PMN J0948+0022. Astrophys. J. 2013, 775, L26. [Google Scholar] [CrossRef]
- Maune, J.D.; Miller, H.R.; Eggen, J.R. The extreme optical variability of J0948+0022. Astrophys. J. 2013, 762, 124. [Google Scholar] [CrossRef]
- Maune, J.D.; Eggen, J.R.; Miller, H.R.; Marshall, K.; Readhead, A.C.S.; Hovatta, T.; King, O. The extreme behavior of the radio-loud narrow-line Seyfert 1 galaxy J0849+5108. Astrophys. J. 2014, 794, 93. [Google Scholar] [CrossRef]
- Ghisellini, G.; Tavecchio, F.; Foschini, L.; Ghirlanda, G. The transition between BL Lac objects and flat spectrum radio quasars. Mon. Not. R. Astron. Soc. 2011, 414, 2674–2689. [Google Scholar] [CrossRef]
- Wajima, K.; Fujisawa, K.; Hayashida, M.; Isobe, N.; Ishida, T.; Yonekura, Y. Short-term radio variability and parsec-scale structure in a gamma-ray narrow-line Seyfert 1 galaxy 1H 0323+342. Astrophys. J. 2014, 781, 75. [Google Scholar] [CrossRef]
- Giroletti, M.; Paragi, Z.; Bignall, H.; Doi, A.; Foschini, L.; Gabányi, K.É.; Reynolds, C.; Blanchard, J.; Campbell, R.M.; Colomer, F.; et al. Global e-VLBI observations of the gamma-ray narrow line Seyfert 1 PMN J0948+0022. Astron. Astrophys. 2011, 528, L11. [Google Scholar] [CrossRef]
- Lister, M.L.; Aller, M.F.; Aller, H.D.; Homan, D.C.; Kellermann, K.I.; Kovalev, Y.Y.; Pushkarev, A.B.; Richards, J.L.; Ros, E.; Savolainen, T. MOJAVE: XIII. Parsec-scale AGN jet kinematics analysis based on 19 years of VLBA observations at 15 GHz. Astron. J. 2016, 152, 12. [Google Scholar] [CrossRef]
- Piner, B.G.; Pant, N.; Edwards, P.G. The jets of teV blazars at higher resolution: 43 GHz and polarimetric VLBA observations from 2005 to 2009. Astrophys. J. 2010, 723, 1150. [Google Scholar] [CrossRef]
- Readhead, A.C.S. Equipartition brightness temperature and the inverse Compton catastrophe. Astrophys. J. 1994, 426, 51–59. [Google Scholar] [CrossRef]
- Angelakis, E.; Fuhrmann, L.; Marchili, N.; Foschini, L.; Myserlis, I.; Karamanavis, V.; Komossa, S.; Blinov, D.; Krichbaum, T. P.; Sievers, A.; et al. Radio jet emission from GeV-emitting narrow-line Seyfert 1 galaxies. Astron. Astrophys. 2015, 575, A55. [Google Scholar] [CrossRef]
- Doi, A.; Nagira, H.; Kawakatu, N.; Kino, M.; Nagai, H.; Asada, K. Kiloparsec-scale radio structures in narrow-line Seyfert 1 galaxies. Astrophys. J. 2012, 760, 41. [Google Scholar] [CrossRef]
- Ackermann, M.; Ajello, M.; Allafort, A.; Antolini, E.; Atwood, W.B.; Axelsson, M.; Baldini, L.; Ballet, J.; Barbiellini, G.; Bastieri, D.; et al. The second catalog of active galactic nuclei detected by the fermi large area telescope. Astrophys. J. 2011, 743, 171. [Google Scholar] [CrossRef]
- Finke, J. Compton dominance and the blazar sequence. Astrophys. J. 2013, 763, 134. [Google Scholar] [CrossRef]
- D’Ammando, F.; Antolini, E.; Tosti, G.; Finke, J.; Ciprini, S.; Larsson, S.; Ajello, M.; Covino, S.; Gasparrini, D.; Gurwell, M.; et al. Long-term monitoring of PKS 0537−441 with Fermi-LAT and multiwavelength observations. Mon. Not. R. Astron. Soc. 2013, 431, 2481–2492. [Google Scholar] [CrossRef]
- Chatterjee, R.; Fossati, G.; Urry, C.M.; Bailyn, C.D.; Maraschi, L.; Buxton, M.; Bonning, E.W.; Isler, J.; Coppi, P. An optical-near-infrared outburst with no accompanying γ-rays in the blazar PKS 0208−512. Astrophys. J. 2013, 763, L11. [Google Scholar] [CrossRef]
- Ghisellini, G.; Celotti, A.; Fossati, G.; Maraschi, L.; Comastri, A. A theoretical unifying scheme for gamma-ray bright blazars. Mon. Not. R. Astron. Soc. 1998, 301, 451–468. [Google Scholar] [CrossRef]
- Sikora, M.; Stawarz, L.; Lasota, J.-P. Radio loudness of active galactic nuclei: Observational facts and theoretical implications. Astrophys. J. 2007, 658, 815. [Google Scholar] [CrossRef]
- Chiaberge, M.; Marconi, A. On the origin of radio loudness in active galactic nuclei and its relationship with the properties of the central supermassive black hole. Mon. Not. R. Astron. Soc. 2011, 416, 917–926. [Google Scholar] [CrossRef]
- Deo, R.P.; Crenshow, D.M.; Kramer, S.B. The host galaxies of narrow-line Seyfert 1 galaxies: Nuclear dust morphology and starburst rings. Astron. J. 2006, 132, 321–346. [Google Scholar] [CrossRef]
- Böttcher, M.; Dermer, C.D. An evolutionary scenario for blazar unification. Astrophys. J. 2002, 564, 86. [Google Scholar] [CrossRef]
- Marscher, A. Jets in Active Galactic Nuclei. In The Jet Paradigm: From Microquasars to Quasars; Springer: Berlin, Germany, 2009; pp. 173–201. [Google Scholar]
- Marconi, A.; Axon, D.J.; Maiolino, R.; Nagao, T.; Pastorini, G.; Pietrini, P.; Robinson, A.; Torricelli, G. The effect of radiation pressure on virial black hole mass estimates and the case of narrow-line Seyfert 1 galaxies. Astrophys. J. 2008, 678, 693. [Google Scholar] [CrossRef]
- Baldi, R.; Capetti, A.; Robinson, A.; Laor, A.; Behar, E. Radio-loud narrow line Seyfert 1 under a different perspective: A revised black hole mass estimate from optical spectropolarimetry. Mon. Not. R. Astron. Soc. 2016, 458, L69–L73. [Google Scholar] [CrossRef]
- Calderone, G.; Ghisellini, G.; Colpi, M.; Dotti, M. Black hole mass estimate for a sample of radio-loud narrow-line Seyfert 1 galaxies. Mon. Not. R. Astron. Soc. 2013, 431, 210–239. [Google Scholar] [CrossRef]
- Woo, J.-H.; Urry, M. Active galactic nucleus black hole masses and bolometric luminosities. Astrophys. J. 2002, 579, 530. [Google Scholar] [CrossRef]
- Zhou, H.; Wang, T.; Yuan, W.; Shan, H.; Komossa, S.; Lu, H.; Liu, Y.; Xu, D.; Bai, J.M.; Jiang, D.R. A narrow-line Seyfert 1-blazar composite nucleus in 2MASX J0324+3410. Astrophys. J. 2007, 658, L13–L16. [Google Scholar] [CrossRef]
- Anton, S.; Browne, I.W.A.; Marcha, M.J. The colour of the narrow line Sy1-blazar 0324+3410. Astron. Astrophys. 2008, 490, 583–587. [Google Scholar] [CrossRef]
- León Tavares, J.; Kotilainen, J.; Chavushyan, V.; Añorve, C.; Puerari, I.; Cruz-González, I.; Patino-Alvarez, V.; Antón, S.; Carraminana, A.; Carrasco, L.; et al. The host galaxy of the gamma-ray narrow-line Seyfert 1 galaxy 1H 0323+342. Astrophys. J. 2014, 795, 58. [Google Scholar] [CrossRef]


© 2016 by the authors; licensee MDPI, Basel, Switzerland. This article is an open access article distributed under the terms and conditions of the Creative Commons Attribution (CC-BY) license (http://creativecommons.org/licenses/by/4.0/).
Share and Cite
D’Ammando, F.; Orienti, M.; Finke, J.; Larsson, J.; Giroletti, M.; Raiteri, C.M. A Panchromatic View of Relativistic Jets in Narrow-Line Seyfert 1 Galaxies. Galaxies 2016, 4, 11. https://doi.org/10.3390/galaxies4030011
D’Ammando F, Orienti M, Finke J, Larsson J, Giroletti M, Raiteri CM. A Panchromatic View of Relativistic Jets in Narrow-Line Seyfert 1 Galaxies. Galaxies. 2016; 4(3):11. https://doi.org/10.3390/galaxies4030011
Chicago/Turabian StyleD’Ammando, Filippo, Monica Orienti, Justin Finke, Josefin Larsson, Marcello Giroletti, and Claudia M. Raiteri. 2016. "A Panchromatic View of Relativistic Jets in Narrow-Line Seyfert 1 Galaxies" Galaxies 4, no. 3: 11. https://doi.org/10.3390/galaxies4030011
APA StyleD’Ammando, F., Orienti, M., Finke, J., Larsson, J., Giroletti, M., & Raiteri, C. M. (2016). A Panchromatic View of Relativistic Jets in Narrow-Line Seyfert 1 Galaxies. Galaxies, 4(3), 11. https://doi.org/10.3390/galaxies4030011

