The Optical Properties of Host Galaxies of Radio Sources in the Coma Cluster
Abstract
1. Introduction
2. Data and Samples
2.1. Optical Data
2.2. Radio Sources
3. Optical Properties of Host Galaxies
3.1. Star-Forming and Quiescent Populations

3.2. AGN-Dominated Versus Star Formation-Dominated Activity
3.3. The Color–Magnitude Relation
4. Environment Influence
5. Conclusions
- (1)
- The Number and Morphology of Radio Sources. Thanks to LOFAR’s superior sensitivity, we present the most comprehensive catalog of radio members of the Coma Cluster to date. Our sample (79 members) more than doubles the population identified at 1.4 GHz by Miller et al. [19] and substantially expands upon the 24 members recently surveyed with uGMRT by Lal et al. [20]. The observed source count distribution (logN-logS) shows a slight excess above the average trend, but it is not contributed by radio activity within the cluster. Our 79 radio members are classified into 31 compact sources, 25 extended sources, and 23 tailed structures. Compared with existing reports [7], the proportion of extended sources is significantly higher, while the proportion of compact sources is markedly lower, regardless of whether the system is merging or relaxing. However, the proportion of tailed sources is comparable to that of the merging system.
- (2)
- Bimodal Nature of Radio Hosts. The radio population exhibits a clear bimodality in the star formation rate versus stellar mass plane, separating into massive quiescent galaxies and active star-forming systems. This optical state is strongly correlated with radio morphology. Compact (C) sources are predominantly hosted by massive, quiescent galaxies on the red sequence. Their radio emission exceeds the level expected from star formation alone, confirming it is dominated by central activity. Tailed (T) sources are largely associated with star-forming galaxies. Their alignment with the star-forming main sequence and their specific morphologies indicate that their radio emission originates primarily from star formation activity occurring within gas stripped by ram pressure.
- (3)
- Phase-Space Evolution. Using the phase-space distance () as a proxy for infall time, we mapped the distinct environmental histories of these populations. Extended (E) sources are preferentially located in the cluster outskirts (), where they are entering the cluster environment for the first time and remain relatively undisturbed. Tailed (T) sources are concentrated in the infall region (), confirming that the transformation of galaxy morphology via ram pressure stripping is most active during the first infall into the high-density .
- (4)
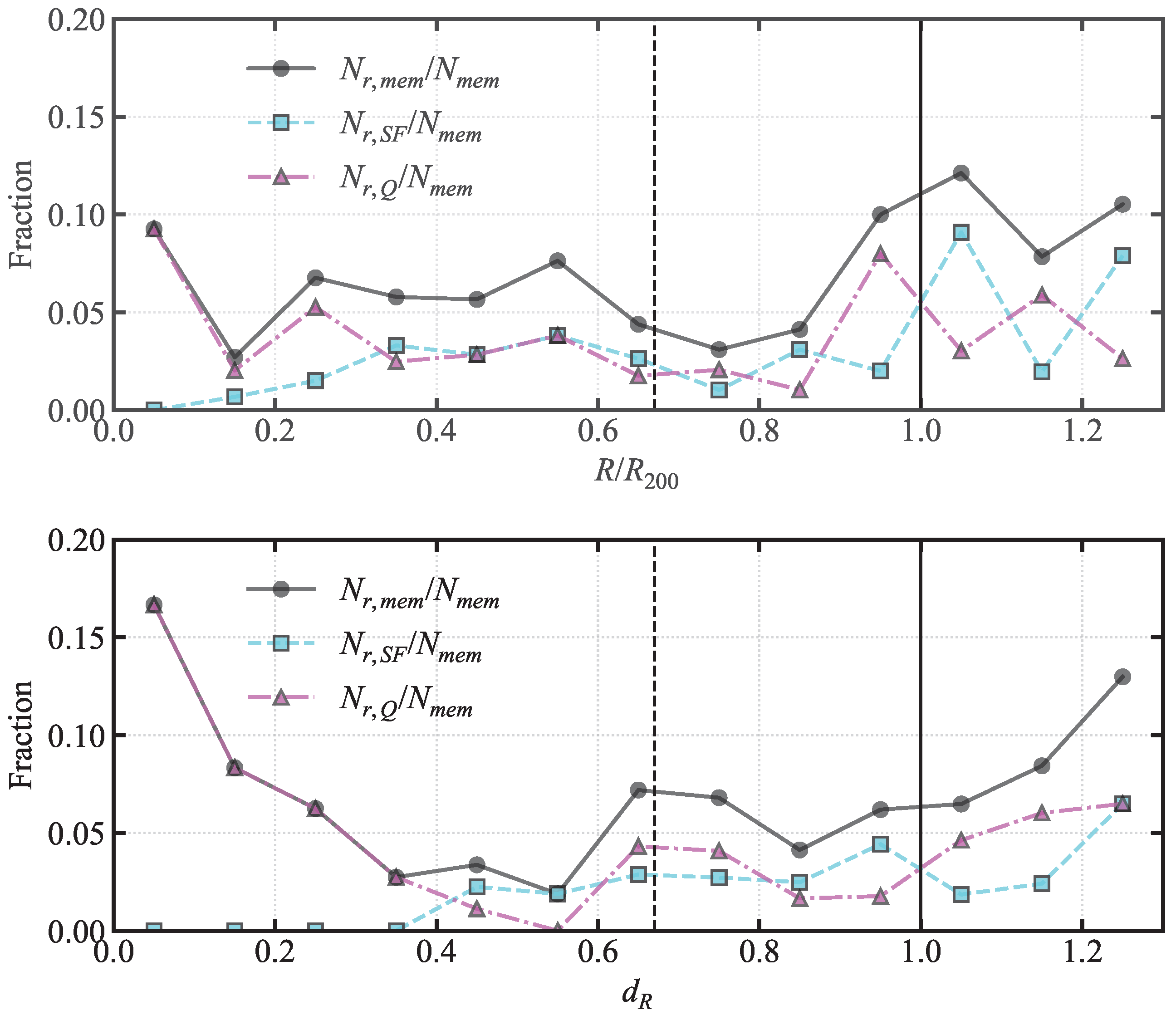
- Environmental Modulation of Activity. The fractions of radio-bright galaxies are not uniform across the cluster. We observed elevated radio fractions in the core (due to massive ) and, notably, a secondary peak around (). This intermediate peak, populated by both compact and tailed sources, suggests that the dense environment at acts as a “trigger zone.” Here, increasing ram pressure drives morphological disturbances (tails), while external perturbations (potentially linked to substructure mergers like NGC 4839) may transiently boost accretion before the galaxies are ultimately quenched in the core.
Author Contributions
Funding
Institutional Review Board Statement
Informed Consent Statement
Data Availability Statement
Acknowledgments
Conflicts of Interest
Appendix A. Physical Parameters of Host Galaxies of Radio Sources in the Coma Cluster
| ID | RA | Dec | z | logSFR | logM∗ | logL144 | g-r | SNR | A | Mtype | Name |
|---|---|---|---|---|---|---|---|---|---|---|---|
| 1 | 193.2233 | 28.3713 | 0.0236 | −1.0157 | 11.1675 | 23.2975 | 0.8106 | 159.4 | Q | E | |
| 2 | 193.2814 | 28.2412 | 0.0235 | −0.6578 | 8.6951 | 21.3763 | 0.2414 | 4.2 | SF | E | |
| 3 | 193.6383 | 27.6328 | 0.0244 | −1.5908 | 10.7169 | 21.8449 | 0.8852 | 10.0 | Q | E | |
| 4 | 193.7237 | 28.4170 | 0.0247 | −1.2597 | 10.5773 | 21.6050 | 0.7287 | 7.8 | Q | P | |
| 5 | 193.7535 | 27.4834 | 0.0232 | −0.5168 | 9.6409 | 20.9695 | 0.6976 | 6.6 | SF | T | |
| 6 | 193.9491 | 28.2562 | 0.0271 | −2.7578 | 10.6619 | 21.7663 | 0.9521 | 15.9 | Q | P | |
| 7 | 194.0457 | 28.1632 | 0.0290 | −1.4242 | 10.5203 | 22.3104 | 0.7733 | 32.7 | Q | E | |
| 8 | 194.1160 | 26.9874 | 0.0215 | −2.0609 | 11.1503 | 21.3991 | 0.7584 | 7.1 | Q | P | NGC 4819 |
| 9 | 194.1191 | 27.2913 | 0.0251 | 0.3423 | 10.0223 | 22.3951 | 0.5356 | 12.6 | SF | T | IC 3913 |
| 10 | 194.2690 | 27.7730 | 0.0252 | −1.0280 | 10.0424 | 21.4552 | 0.7290 | 8.3 | Q | P | |
| 11 | 194.2975 | 29.0450 | 0.0251 | −2.6986 | 11.0690 | 21.3544 | 0.7843 | 13.1 | Q | P | |
| 12 | 194.3515 | 27.4978 | 0.0245 | −1.3934 | 11.4962 | 23.9337 | 0.8238 | 225.1 | Q | T | NGC 4839 |
| 13 | 194.3832 | 28.4770 | 0.0226 | −1.8004 | 11.2456 | 21.3970 | 0.8209 | 7.7 | Q | P | NGC 4841 |
| 14 | 194.3868 | 27.6103 | 0.0202 | −2.2230 | 10.8419 | 21.1927 | 0.8175 | 16.1 | Q | P | NGC 4840 |
| 15 | 194.3911 | 28.4822 | 0.0209 | −2.4123 | 10.7735 | 20.8330 | 0.7794 | 5.1 | Q | P | NGC 4841B |
| 16 | 194.3994 | 27.4932 | 0.0244 | −2.0729 | 10.8500 | 21.8726 | 0.8449 | 23.0 | Q | T | NGC 4842A |
| 17 | 194.4861 | 27.0375 | 0.0247 | −2.2138 | 10.3507 | 21.2190 | 0.7963 | 6.8 | Q | P | |
| 18 | 194.4908 | 28.0615 | 0.0272 | −0.2679 | 10.0576 | 22.7905 | 0.5459 | 73.1 | SF | T | KUG 1255+283 |
| 19 | 194.5234 | 28.2425 | 0.0241 | 0.1863 | 10.8921 | 23.1299 | 0.7039 | 229.3 | SF | T | NGC 4848 |
| 20 | 194.5295 | 26.7871 | 0.0240 | −0.6892 | 9.5043 | 21.4055 | 0.7250 | 4.8 | SF | P | |
| 21 | 194.5386 | 28.7086 | 0.0254 | −0.2710 | 10.5953 | 22.7259 | 0.6768 | 37.9 | SF | T | |
| 22 | 194.5776 | 27.3108 | 0.0248 | 0.1650 | 9.8159 | 22.6033 | 0.5623 | 59.4 | SF | T | 2MASX J12581865+2718387 |
| 23 | 194.6064 | 28.1289 | 0.0274 | −0.1316 | 9.4701 | 21.5277 | 0.4726 | 12.5 | SF | P | |
| 24 | 194.6230 | 28.3012 | 0.0197 | −2.0608 | 9.7707 | 21.9931 | 0.6995 | 38.5 | Q | T | |
| 25 | 194.6473 | 27.2647 | 0.0246 | 0.3400 | 9.5105 | 22.4461 | 0.3864 | 46.9 | SF | T | Mrk 56 |
| 26 | 194.6553 | 27.1765 | 0.0256 | 0.4868 | 9.7762 | 22.5896 | 0.4429 | 39.6 | SF | E | Mrk 57 |
| 27 | 194.6577 | 27.4639 | 0.0209 | −0.7475 | 9.8283 | 21.2547 | 0.7178 | 6.0 | SF | P | |
| 28 | 194.6601 | 27.5441 | 0.0199 | −2.2441 | 9.9729 | 20.9931 | 0.7714 | 10.2 | Q | P | |
| 29 | 194.6661 | 26.7594 | 0.0249 | −0.2461 | 9.0988 | 22.2670 | 0.3091 | 9.4 | SF | E | |
| 30 | 194.6910 | 28.5430 | 0.0214 | −0.6492 | 8.0268 | 21.0120 | 0.2144 | 5.2 | SF | P | |
| 31 | 194.7333 | 27.8334 | 0.0250 | −0.6321 | 10.8093 | 22.3000 | 0.7057 | 34.9 | Q | T | IC 3949 |
| 32 | 194.7576 | 28.2253 | 0.0268 | −2.3230 | 10.9372 | 21.2362 | 0.8268 | 10.3 | Q | P | |
| 33 | 194.7576 | 26.8157 | 0.0239 | −2.4211 | 11.1191 | 21.1945 | 0.8588 | 7.1 | Q | P | NGC 4859 |
| 34 | 194.7721 | 27.6443 | 0.0181 | 0.4105 | 9.6307 | 22.1972 | 0.4258 | 69.3 | SF | T | Mrk 58 |
| 35 | 194.7831 | 27.8550 | 0.0220 | −2.1787 | 10.5967 | 21.2490 | 0.8464 | 6.7 | Q | P | IC 3960 |
| 36 | 194.8047 | 27.9770 | 0.0227 | −1.7094 | 10.8568 | 21.7360 | 0.8194 | 10.6 | Q | P | NGC 4864 |
| 37 | 194.8195 | 27.1061 | 0.0280 | −0.3123 | 10.1353 | 22.3609 | 0.8254 | 58.6 | SF | E | |
| 38 | 194.8464 | 28.4886 | 0.0233 | −0.1814 | 9.5231 | 21.6367 | 0.4914 | 10.3 | SF | E | |
| 39 | 194.8725 | 27.8501 | 0.0228 | −2.3703 | 10.5905 | 21.4116 | 0.8449 | 8.0 | Q | P | IC 3976 |
| 40 | 194.9130 | 28.8955 | 0.0204 | −2.5466 | 10.9182 | 21.5458 | 0.8250 | 29.6 | Q | P | IC 3990 |
| 41 | 194.9173 | 28.6308 | 0.0178 | −0.2191 | 9.3282 | 22.2849 | 0.2772 | 7.7 | SF | T | 2MASX J12594009+2837507 |
| 42 | 195.0185 | 27.9876 | 0.0213 | −3.0756 | 10.7331 | 20.8999 | 0.7918 | 5.2 | Q | P | NGC 4886 |
| 43 | 195.0381 | 27.8664 | 0.0178 | −0.3794 | 9.5411 | 21.3453 | 0.5153 | 25.4 | SF | T | |
| 44 | 195.0737 | 27.9553 | 0.0231 | −1.9421 | 10.8803 | 21.5432 | 0.8097 | 17.5 | Q | P | NGC 4898A |
| 45 | 195.0747 | 28.2024 | 0.0284 | −1.3262 | 11.2895 | 21.5054 | 0.8103 | 14.5 | Q | P | NGC 4895 |
| 46 | 195.1303 | 28.9505 | 0.0233 | −0.4629 | 9.1845 | 21.5757 | 0.5040 | 4.5 | SF | E | |
| 47 | 195.1398 | 27.5041 | 0.0186 | −0.3401 | 8.8462 | 21.5959 | 0.2983 | 11.1 | SF | T | |
| 48 | 195.1404 | 27.6377 | 0.0250 | 0.4759 | 9.4902 | 22.5324 | 0.3495 | 51.8 | SF | T | KUG 1258+279A |
| 49 | 195.1580 | 28.0575 | 0.0258 | −2.2341 | 10.5447 | 23.2354 | 0.5974 | 203.6 | Q | T | IC 4040 |
| 50 | 195.1649 | 29.0193 | 0.0243 | −1.4084 | 10.9222 | 22.4582 | 0.7034 | 5.4 | Q | E | IC 842 |
| 51 | 195.1782 | 27.9713 | 0.0213 | −2.1353 | 10.7590 | 21.6363 | 0.8231 | 12.3 | Q | P | IC 4042 |
| 52 | 195.2027 | 28.0907 | 0.0232 | −2.3876 | 10.8586 | 21.1329 | 0.8192 | 5.3 | Q | P | IC 4045 |
| 53 | 195.2335 | 27.7908 | 0.0266 | −1.9604 | 11.3670 | 23.4662 | 0.7630 | 72.3 | Q | E | NGC 4911 |
| 54 | 195.3530 | 29.3097 | 0.0238 | −0.7136 | 11.0558 | 22.9374 | 0.7694 | 343.4 | Q | E | |
| 55 | 195.3589 | 27.8860 | 0.0183 | −0.5649 | 9.5893 | 22.0810 | 0.8207 | 8.1 | SF | T | NGC 4921 |
| 56 | 195.3900 | 29.1306 | 0.0244 | −1.5341 | 11.1295 | 22.5343 | 0.8700 | 87.4 | Q | E | IC 843 |
| 57 | 195.4307 | 29.0446 | 0.0238 | −1.8624 | 11.0517 | 22.5015 | 0.7774 | 22.9 | Q | E | IC 4088 |
| 58 | 195.4899 | 28.0058 | 0.0258 | −2.4214 | 11.2327 | 22.5212 | 0.8588 | 75.4 | Q | T | NGC 4927 |
| 59 | 195.5175 | 29.2534 | 0.0244 | −2.0235 | 10.9985 | 21.2754 | 0.8273 | 12.4 | Q | P | |
| 60 | 195.5328 | 27.6483 | 0.0231 | 0.6086 | 10.1078 | 22.4365 | 0.5984 | 43.9 | SF | T | NGC 4926A |
| 61 | 195.5361 | 28.3871 | 0.0253 | −1.3320 | 10.7821 | 21.3179 | 0.8186 | 10.4 | Q | P | |
| 62 | 195.5534 | 28.2148 | 0.0273 | 0.4652 | 9.9039 | 22.5737 | 0.4530 | 38.7 | SF | T | |
| 63 | 195.6069 | 28.8581 | 0.0224 | −0.2017 | 8.6330 | 21.3629 | 0.2562 | 9.0 | SF | P | |
| 64 | 195.8177 | 28.0303 | 0.0204 | −2.0619 | 10.7009 | 21.2667 | 0.7033 | 10.7 | Q | P | NGC 4934 |
| 65 | 196.1489 | 28.6277 | 0.0224 | −0.0207 | 9.3745 | 21.5319 | 0.4092 | 12.6 | SF | E | |
| 66 | 196.4729 | 28.1124 | 0.0246 | −1.2821 | 10.3171 | 21.9081 | 0.7629 | 18.3 | Q | E | |
| 67 | 196.6517 | 27.8729 | 0.0209 | −0.1819 | 10.3712 | 22.6134 | 0.7172 | 99.0 | SF | E | |
| 68 | 195.0339 | 27.9769 | 0.0215 | −0.6327 | 11.4979 | 21.8058 | 0.9295 | 46.6 | Q | E | NGC 4889 |
| 69 | 194.3800 | 26.5122 | 0.0241 | 0.0311 | 10.3631 | 22.5834 | 0.6695 | 57.3 | SF | E | IC 837 |
| 70 | 194.6664 | 26.7595 | 0.0249 | −0.1239 | 8.9040 | 22.2666 | 0.1889 | 9.4 | SF | E | |
| 71 | 194.8988 | 27.9593 | 0.0239 | −1.0247 | 11.4851 | 24.1498 | 0.7986 | 707.3 | Q | E | NGC 4874 |
| 72 | 193.4747 | 28.1867 | 0.0256 | −0.4953 | 10.0399 | 22.0574 | 0.6107 | 6.8 | SF | T | |
| 73 | 193.7299 | 27.4127 | 0.0262 | −1.7811 | 11.3985 | 21.7893 | 0.8635 | 12.0 | Q | E | NGC 4798 |
| 74 | 194.6801 | 28.9101 | 0.0278 | 0.0657 | 10.2042 | 21.4637 | 0.6192 | 5.1 | SF | P | |
| 75 | 195.1487 | 27.5742 | 0.0170 | −0.9065 | 10.1042 | 21.8469 | 0.7380 | 38.2 | Q | E | |
| 76 | 195.2148 | 28.0429 | 0.0292 | −1.8349 | 11.1536 | 21.6187 | 0.8274 | 16.0 | Q | P | NGC 4908 |
| 77 | 196.0768 | 28.4681 | 0.0258 | −1.3036 | 10.2698 | 23.4086 | 0.7104 | 358.6 | Q | T | |
| 78 | 196.0945 | 28.8108 | 0.0265 | 0.3497 | 9.7524 | 22.3147 | 0.3471 | 18.3 | SF | E | |
| 79 | 196.1106 | 27.3044 | 0.0184 | −0.0358 | 9.3695 | 21.9423 | 0.3349 | 10.6 | SF | E |
Appendix B. Galaxies with Large Radio-Optical Offsets




References
- Gunn, J.E.; Gott, J.R., III. On the Infall of Matter Into Clusters of Galaxies and Some Effects on Their Evolution. Astrophys. J. 1972, 176, 1. [Google Scholar] [CrossRef]
- Boselli, A.; Gavazzi, G. Environmental Effects on Late-Type Galaxies in Nearby Clusters. Publ. Astron. Soc. Pac. 2006, 118, 517–559. [Google Scholar] [CrossRef]
- Bregman, J.N. Continuum radiation from active galactic nuclei. Astron. Astrophys. Rev. 1990, 2, 125–166. [Google Scholar] [CrossRef][Green Version]
- Turner, J.L.; Ho, P.T.P. Bright Radio Continuum Emission from Star Formation in the Cores of Nearby Spiral Galaxies. Astrophys. J. 1994, 421, 122. [Google Scholar] [CrossRef]
- Klein, U.; Lisenfeld, U.; Verley, S. Radio synchrotron spectra of star-forming galaxies. Astron. Astrophys. 2018, 611, A55. [Google Scholar] [CrossRef]
- Panessa, F.; Baldi, R.D.; Laor, A.; Padovani, P.; Behar, E.; McHardy, I. The origin of radio emission from radio-quiet active galactic nuclei. Nat. Astron. 2019, 3, 387–396. [Google Scholar] [CrossRef]
- Rickel, M.; Moravec, E.; Gordon, Y.A.; Hardcastle, M.J.; Pierce, J.C.S.; Bilton, L.E.; Roberts, I.D. The Merging Galaxy Cluster Environment Affects the Morphology of Radio Active Galactic Nuclei. Astrophys. J. 2025, 983, 138. [Google Scholar] [CrossRef]
- Ledlow, M.J.; Owen, F.N. 20 CM VLA Survey of Abell Clusters of Galaxies. VI. Radio/Optical Luminosity Functions. Astron. J. 1996, 112, 9. [Google Scholar] [CrossRef]
- Wing, J.D.; Blanton, E.L. Galaxy Cluster Environments of Radio Sources. Astron. J. 2011, 141, 88. [Google Scholar] [CrossRef]
- van Weeren, R.J.; de Gasperin, F.; Akamatsu, H.; Brüggen, M.; Feretti, L.; Kang, H.; Stroe, A.; Zandanel, F. Diffuse Radio Emission from Galaxy Clusters. Space Sci. Rev. 2019, 215, 16. [Google Scholar] [CrossRef]
- Salim, S.; Rich, R.M. Star Formation Signatures in Optically Quiescent Early-type Galaxies. Astrophys. J. Lett. 2010, 714, L290–L294. [Google Scholar] [CrossRef]
- Capetti, A.; Brienza, M.; Balmaverde, B.; Best, P.N.; Baldi, R.D.; Drabent, A.; Gürkan, G.; Rottgering, H.J.A.; Tasse, C.; Webster, B. The LOFAR view of giant, early-type galaxies: Radio emission from active nuclei and star formation. Astron. Astrophys. 2022, 660, A93. [Google Scholar] [CrossRef]
- Best, P.N. The environmental dependence of radio-loud AGN activity and star formation in the 2dFGRS. Mon. Not. R. Astron. Soc. 2004, 351, 70–82. [Google Scholar] [CrossRef]
- Comerford, J.M.; Negus, J.; Müller-Sánchez, F.; Eracleous, M.; Wylezalek, D.; Storchi-Bergmann, T.; Greene, J.E.; Barrows, R.S.; Nevin, R.; Roy, N.; et al. A Catalog of 406 AGNs in MaNGA: A Connection between Radio-mode AGNs and Star Formation Quenching. Astrophys. J. 2020, 901, 159. [Google Scholar] [CrossRef]
- Churazov, E.; Khabibullin, I.; Bykov, A.M.; Lyskova, N.; Sunyaev, R. Tempestuous life beyond R500: X-ray view on the Coma cluster with SRG/eROSITA. II. Shock and relic. Astron. Astrophys. 2023, 670, A156. [Google Scholar] [CrossRef]
- Dey, A.; Schlegel, D.J.; Lang, D.; Blum, R.; Burleigh, K.; Fan, X.; Findlay, J.R.; Finkbeiner, D.; Herrera, D.; Juneau, S.; et al. Overview of the DESI Legacy Imaging Surveys. Astron. J. 2019, 157, 168. [Google Scholar] [CrossRef]
- DESI Collaboration; Abdul-Karim, M.; Adame, A.G.; Aguado, D.; Aguilar, J.; Ahlen, S.; Alam, S.; Aldering, G.; Alexander, D.M.; Alfarsy, R.; et al. Data Release 1 of the Dark Energy Spectroscopic Instrument. arXiv 2025, arXiv:2503.14745. [Google Scholar] [CrossRef]
- Churazov, E.; Khabibullin, I.; Lyskova, N.; Sunyaev, R.; Bykov, A.M. Tempestuous life beyond R500: X-ray view on the Coma cluster with SRG/eROSITA. I. X-ray morphology, recent merger, and radio halo connection. Astron. Astrophys. 2021, 651, A41. [Google Scholar] [CrossRef]
- Miller, N.A.; Hornschemeier, A.E.; Mobasher, B. A Deep Very Large Array Radio Continuum Survey of the Core and Outskirts of the Coma Cluster. Astron. J. 2009, 137, 4436–4449. [Google Scholar] [CrossRef]
- Lal, D.V.; Lyskova, N.; Zhang, C.; Venturi, T.; Forman, W.R.; Jones, C.; Churazov, E.M.; van Weeren, R.J.; Bonafede, A.; Miller, N.A.; et al. High-resolution, High-sensitivity, Low-frequency uGMRT View of Coma Cluster of Galaxies. Astrophys. J. 2022, 934, 170. [Google Scholar] [CrossRef]
- Shimwell, T.W.; Röttgering, H.J.A.; Best, P.N.; Williams, W.L.; Dijkema, T.J.; de Gasperin, F.; Hardcastle, M.J.; Heald, G.H.; Hoang, D.N.; Horneffer, A.; et al. The LOFAR Two-metre Sky Survey. I. Survey description and preliminary data release. Astron. Astrophys. 2017, 598, A104. [Google Scholar] [CrossRef]
- Shimwell, T.W.; Hardcastle, M.J.; Tasse, C.; Best, P.N.; Röttgering, H.J.A.; Williams, W.L.; Botteon, A.; Drabent, A.; Mechev, A.; Shulevski, A.; et al. The LOFAR Two-metre Sky Survey. V. Second data release. Astron. Astrophys. 2022, 659, A1. [Google Scholar] [CrossRef]
- Almeida, A.; Anderson, S.F.; Argudo-Fernández, M.; Badenes, C.; Barger, K.; Barrera-Ballesteros, J.K.; Bender, C.F.; Benitez, E.; Besser, F.; Bird, J.C.; et al. The Eighteenth Data Release of the Sloan Digital Sky Surveys: Targeting and First Spectra from SDSS-V. Astrophys. J. Suppl. Ser. 2023, 267, 44. [Google Scholar] [CrossRef]
- Hahn, C.; Wilson, M.J.; Ruiz-Macias, O.; Cole, S.; Weinberg, D.H.; Moustakas, J.; Kremin, A.; Tinker, J.L.; Smith, A.; Wechsler, R.H.; et al. The DESI Bright Galaxy Survey: Final Target Selection, Design, and Validation. Astron. J. 2023, 165, 253. [Google Scholar] [CrossRef]
- Serra, A.L.; Diaferio, A.; Murante, G.; Borgani, S. Measuring the escape velocity and mass profiles of galaxy clusters beyond their virial radius. Mon. Not. R. Astron. Soc. 2011, 412, 800–816. [Google Scholar] [CrossRef]
- Serra, A.L.; Diaferio, A. Identification of Members in the Central and Outer Regions of Galaxy Clusters. Astrophys. J. 2013, 768, 116. [Google Scholar] [CrossRef]
- Zou, H.; Sui, J.; Saintonge, A.; Scholte, D.; Moustakas, J.; Siudek, M.; Dey, A.; Juneau, S.; Guo, W.; Canning, R.; et al. A Large Sample of Extremely Metal-poor Galaxies at z < 1 Identified from the DESI Early Data. Astrophys. J. 2024, 961, 173. [Google Scholar] [CrossRef]
- Boquien, M.; Burgarella, D.; Roehlly, Y.; Buat, V.; Ciesla, L.; Corre, D.; Inoue, A.K.; Salas, H. CIGALE: A python Code Investigating GALaxy Emission. Astron. Astrophys. 2019, 622, A103. [Google Scholar] [CrossRef]
- Bonato, M.; Negrello, M.; Mancuso, C.; De Zotti, G.; Ciliegi, P.; Cai, Z.Y.; Lapi, A.; Massardi, M.; Bonaldi, A.; Sajina, A.; et al. Does the evolution of the radio luminosity function of star-forming galaxies match that of the star formation rate function? Mon. Not. R. Astron. Soc. 2017, 469, 1912–1923. [Google Scholar] [CrossRef]
- Galluzzi, V.; Behiri, M.; Giulietti, M.; Lapi, A. An Updated Repository of Sub-mJy Extragalactic Source-Count Measurements in the Radio Domain. Galaxies 2025, 13, 34. [Google Scholar] [CrossRef]
- Dow, K.L.; White, S.D.M. ROSAT Observations of Coma Cluster Galaxies. Astrophys. J. 1995, 439, 113. [Google Scholar] [CrossRef]
- Wetzel, A.R.; Tinker, J.L.; Conroy, C. Galaxy evolution in groups and clusters: Star formation rates, red sequence fractions and the persistent bimodality. Mon. Not. R. Astron. Soc. 2012, 424, 232–243. [Google Scholar] [CrossRef]
- Fabian, A.C. Observational Evidence of Active Galactic Nuclei Feedback. Annu. Rev. Astron Astrophys 2012, 50, 455–489. [Google Scholar] [CrossRef]
- Tadhunter, C. Radio AGN in the local universe: Unification, triggering and evolution. Astron. Astrophys. Rev. 2016, 24, 10. [Google Scholar] [CrossRef]
- Chen, H.; Sun, M.; Yagi, M.; Bravo-Alfaro, H.; Brinks, E.; Kenney, J.; Combes, F.; Sivanandam, S.; Jachym, P.; Fossati, M.; et al. The ram pressure stripped radio tails of galaxies in the Coma cluster. Mon. Not. R. Astron. Soc. 2020, 496, 4654–4673. [Google Scholar] [CrossRef]
- Igo, Z.; Merloni, A.; Hoang, D.; Buchner, J.; Liu, T.; Salvato, M.; Arcodia, R.; Bellstedt, S.; Brüggen, M.; Croston, J.H.; et al. The LOFAR - eFEDS survey: The incidence of radio and X-ray AGN and the disk-jet connection. Astron. Astrophys. 2024, 686, A43. [Google Scholar] [CrossRef]
- Condon, J.J. Radio emission from normal galaxies. Annu. Rev. Astron. Astrophys. 1992, 30, 575–611. [Google Scholar] [CrossRef]
- Gürkan, G.; Hardcastle, M.J.; Smith, D.J.B.; Best, P.N.; Bourne, N.; Calistro-Rivera, G.; Heald, G.; Jarvis, M.J.; Prandoni, I.; Röttgering, H.J.A.; et al. LOFAR/H-ATLAS: The low-frequency radio luminosity-star formation rate relation. Mon. Not. R. Astron. Soc. 2018, 475, 3010–3028. [Google Scholar] [CrossRef]
- Best, P.N.; Kondapally, R.; Williams, W.L.; Cochrane, R.K.; Duncan, K.J.; Hale, C.L.; Haskell, P.; Małek, K.; McCheyne, I.; Smith, D.J.B.; et al. The LOFAR Two-metre Sky Survey: Deep Fields data release 1. V. Survey description, source classifications, and host galaxy properties. Mon. Not. R. Astron. Soc. 2023, 523, 1729–1755. [Google Scholar] [CrossRef]
- Gladders, M.D.; Yee, H.K.C. A New Method For Galaxy Cluster Detection. I. The Algorithm. Astron. J. 2000, 120, 2148–2162. [Google Scholar] [CrossRef]
- Sciarratta, M.; Chiosi, C.; D’Onofrio, M.; Cariddi, S. Cosmological Interpretation of the Color-Magnitude Diagrams of Galaxy Clusters. Astrophys. J. 2019, 870, 70. [Google Scholar] [CrossRef]
- Rhee, J.; Smith, R.; Choi, H.; Yi, S.K.; Jaffé, Y.; Candlish, G.; Sánchez-Jánssen, R. Phase-space Analysis in the Group and Cluster Environment: Time Since Infall and Tidal Mass Loss. Astrophys. J. 2017, 843, 128. [Google Scholar] [CrossRef]
- Pasquali, A.; Smith, R.; Gallazzi, A.; De Lucia, G.; Zibetti, S.; Hirschmann, M.; Yi, S.K. Physical properties of SDSS satellite galaxies in projected phase space. Mon. Not. R. Astron. Soc. 2019, 484, 1702–1723. [Google Scholar] [CrossRef]
- Dou, H.; Yu, H. Estimating infall times of galaxies around clusters: Working to achieve accurate results based on observational data. Astron. Astrophys. 2025, 699, A95. [Google Scholar] [CrossRef]
- Healy, J.; Blyth, S.L.; Verheijen, M.A.W.; Hess, K.M.; Serra, P.; van der Hulst, J.M.; Jarrett, T.H.; Yim, K.; Józsa, G.I.G. H I content in Coma cluster substructure. Astron. Astrophys. 2021, 650, A76. [Google Scholar] [CrossRef]
- Lyskova, N.; Churazov, E.; Zhang, C.; Forman, W.; Jones, C.; Dolag, K.; Roediger, E.; Sheardown, A. Close-up view of an ongoing merger between the NGC 4839 group and the Coma cluster—A post-merger scenario. Mon. Not. R. Astron. Soc. 2019, 485, 2922–2934. [Google Scholar] [CrossRef]











Disclaimer/Publisher’s Note: The statements, opinions and data contained in all publications are solely those of the individual author(s) and contributor(s) and not of MDPI and/or the editor(s). MDPI and/or the editor(s) disclaim responsibility for any injury to people or property resulting from any ideas, methods, instructions or products referred to in the content. |
© 2026 by the authors. Licensee MDPI, Basel, Switzerland. This article is an open access article distributed under the terms and conditions of the Creative Commons Attribution (CC BY) license.
Share and Cite
Hou, X.; Yu, H.; Pan, T.; Zou, H.; Dou, H.; Moravec, E.; Li, C. The Optical Properties of Host Galaxies of Radio Sources in the Coma Cluster. Galaxies 2026, 14, 13. https://doi.org/10.3390/galaxies14010013
Hou X, Yu H, Pan T, Zou H, Dou H, Moravec E, Li C. The Optical Properties of Host Galaxies of Radio Sources in the Coma Cluster. Galaxies. 2026; 14(1):13. https://doi.org/10.3390/galaxies14010013
Chicago/Turabian StyleHou, Xiaolan, Heng Yu, Tong Pan, Hu Zou, Haoran Dou, Emily Moravec, and Chengkui Li. 2026. "The Optical Properties of Host Galaxies of Radio Sources in the Coma Cluster" Galaxies 14, no. 1: 13. https://doi.org/10.3390/galaxies14010013
APA StyleHou, X., Yu, H., Pan, T., Zou, H., Dou, H., Moravec, E., & Li, C. (2026). The Optical Properties of Host Galaxies of Radio Sources in the Coma Cluster. Galaxies, 14(1), 13. https://doi.org/10.3390/galaxies14010013

