Next Article in Journal / Special Issue
From the s-Process to the i-Process: A New Perspective on the Chemical Enrichment of Extrinsic Stars
Previous Article in Journal / Special Issue
Stellar Evolution and Convection in 3D Hydrodynamic Simulations of a Complete Burning Phase
 
 
Font Type:
Arial Georgia Verdana
Font Size:
Aa Aa Aa
Line Spacing:
Column Width:
Background:
Article

Advances in Stellar and Galactic Evolution with the Population of Planetary Nebula Progenitors from the APOGEE DR17 Survey

1
NSF NOIRLab, Tucson, AZ 85719, USA
2
Steward Observatory, University of Arizona, Tucson, AZ 85721, USA
3
Observatório Nacional MCTI, Rio de Janeiro CEP 20921-400, Brazil
4
Institut d’Astrophysique de Paris, CNRS and Sorbonne Université, 75014 Paris, France
*
Author to whom correspondence should be addressed.
Galaxies 2024, 12(6), 88; https://doi.org/10.3390/galaxies12060088
Submission received: 12 September 2024 / Revised: 4 December 2024 / Accepted: 13 December 2024 / Published: 23 December 2024

Abstract

Planetary nebulae (PNe) are the ejected gas and dust shells of evolved low- and intermediate-mass stars (LIMSs). We present an abundance comparison between PNe and their progenitors to reveal their similarities and differences since such a comparison has rarely, and not recently, been performed in the Milky Way. The dynamical expulsion of the outer envelope of an evolved LIMS produces the PN. We expected similarities in most  α -element distributions across the stellar and nebular populations, given that these elements are only marginally produced and destroyed during the LIMS evolution. Differences found in the Fe and S abundances allow us to determine their depletion due to grain condensation in the post-AGB phases. Differences in N and C between PNe and their progenitors set new limits to the low- and intermediate-mass star contributions to these elements. Finally, radial metallicity gradients from evolved LIMS and PNe and Gaia-calibrated distances constrain Galactic evolution in the framework of the current chemical evolutionary models. We found the following: (1) Gas-phase iron is significantly depleted in PNe compared to their progenitor stars, with an average depletion factor of <D[Fe/H]> = 1.74 ± 0.49. (2) Sulfur is also depleted in PNe, though to a much lesser extent than iron. (3) The median enrichment levels for carbon and nitrogen relative to the median stellar population of the same metallicity are approximately [C/H] ∼ +0.3 and [N/H] ∼ +0.4, respectively. PNe with progenitors that experienced hot-bottom burning (HBB) exhibit extreme nitrogen enrichment. (4) With the data available to date, the radial metallicity gradient derived from evolved LIMSs and PNe are compatible within the uncertainties.

1. Introduction

The Universe starts chemically simple and evolves into chemical complexity due to the evolution of galaxies and stars. The metallicity of galaxies carries the signature of their chemical evolution through cosmic time and is mainly affected by stellar evolution, e.g., see [1]. Stellar evolution occurs through two major stellar mass channels, determined by initial mass: (1) the low- and intermediate-mass stars (LIMSs), with initial mass below  8 M , and the high-mass stars, with  M > 8 M .
Planetary nebulae (PNe) are the ejected, illuminated envelopes of those LIMSs that evolve through the asymptotic giant branch (AGB) phase, i.e., those with initial mass in the  1 < M / M < 8  range. Stellar evolution predictions for Galactic PN progenitors [2] indicate that the abundances of their  α -elements, such as O, S, Ne, and Ar, are not expected to vary significantly during their lifetime. On the other hand, other elements, notably C and N, vary during the progenitor’s evolution, in different ways depending on their initial mass and metallicity. LIMS may contribute to C and N in galaxies at the 50% level or more. Furthermore, it has been observed that some metals (notably Fe) are mostly in gaseous form in the stars and tend to condense into small dust grains at the post-AGB and PN stages. The seamless comparison between PNe and their progenitor abundances of the relevant elements provides excellent constraints to elemental enrichment and depletion, and consequently to stellar and Galactic evolution.
A detailed comparison of PN abundances with those of the progenitors has not been performed recently. The seminal paper by Smith & Lambert [3] shows PNe enriched in C/O concerning the underlying progenitor population for a relatively modest sample of red giants (32) and PNe (100). Comparative studies of PNe and progenitor stars have been attempted, limited to the  α -elements, in M31 [4] and other spirals [5]. In the epoch of APOGEE and GAIA, there is a purpose in gleaning the tens-of-thousand abundance results of the APOGEE DR17 to select the PN progenitor populations for PN abundance comparison.

2. Our Study

The unified catalog of Galactic PNe Parker et al. [6] includes very detailed explanations on what is considered a True PN, based on spectroscopic and imaging information. In this paper, we based our analysis only on True|Galactic PNe in the Parker et al. [6] catalog. Furthermore, we selected those whose elemental abundances have been measured. Abundance analyses have been unified in several recent catalogs. For this project, we use the PN abundances given in Bucciarelli & Stanghellini [7]. Nebular parameters such as distances and radii are also taken from this paper, where distances are measured from the Gaia DR3 calibration of the Galactic PN distance scale. For the stellar sample, we select red giant targets in the APOGEE DR17 [8], by limiting the stellar temperature and surface gravity appropriately to cover red giant branch (RGB) and asymptotic giant branch (AGB) stars [9]. Both the nebular and stellar selected samples are disk populations, based on their Galactic radius ( 3 < R G < 35  kpc) and altitude ( | z | < 2  kpc).
We used [O/H] as an indication of the stellar and nebular metallicity, since we know a priori that iron is depleted in PNe; thus, the usual [Fe/H] or [Fe/O] stellar indicators could not be applied here since they vary during AGB and post-AGB evolution. [O/H] is broadly used as a metal indicator, although it may fail in some extreme cases. We assessed that [O/H] in the observed PNe variation is well within the abundance error bars, but only complete population synthesis could discover the exceptions.
In Figure 1, we show an example of the nebular and stellar samples that can be used for our project. Compatible samples of PNe and red giants (RGB and AGB, hereafter RGs) used for the analysis were built from the initial samples as follows: (1) We selected all PNe with at least one abundance measurement, other than oxygen, in the literature. (2) We then drew an RG sample with metallicity and spatial distributions similar to that of the PN sample in (1), with a given tolerance. (3) Finally, we ran the Kolgomorov–Smirnov (KS) test between the stellar and nebular metallicity and spatial distributions and discard RG samples whose distribution test against the null hypothesis (p < 0.05). Any surviving RG sample could be used for the subsequent analysis. In Figure 1, we show, as an example, the [Fe/H] sample used for the subsequent analysis.

3. Elemental Depletion

We studied the nebular and stellar samples to detect the depletion of certain elements in the nebular sample with respect to the underlying stellar population, due to condensation into dust grains. LIMS may contribute up to 90% of the total dust in galaxies [10,11,12]; in PNe, dust content depends on progenitor mass and initial composition [13]. We expect atomic condensation to depend on condensation temperature Tc [14]. The condensation temperatures of the elements studied in this paper are Tc (C) = 77 K, Tc (N) = 131 K, Tc (O) = 181 K, Tc (S) = 693 K, and Tc (Fe) = 1351 K; thus, Fe is expected to be found mostly in dust grains at the PN stage, and sulfur could also show some depletion. [Fe/H] depletion in PNe has been observed before Delgado-Inglada & Rodríguez [15], but has not yet been studied against the underlying progenitor population (i.e., the observed RGs), not related to the PN metallicity. In Figure 2, we show the observed depletions of [Fe/H] and [S/H] in the studied populations. Both elements are depleted by dust formation in the PNe with respect to the underlying stellar population, given that the oxygen abundances are similarly distributed (see Figure 1).
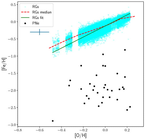
We quantified the [Fe/H] and [S/H] depletion by measuring their running median for the stellar sample and subtracting the value of each PN at the same [O/H]. We found, for the first time, a measure of the depletions of these elements directly compared with the [O/H] values. In Figure 3, we plot [Fe/H] versus [O/H] in RGs and PNe, and we indicate a running median for the RGs. We measured depletion for each PN to the RG median of the same [O/H] value, and we found an average [Fe/H] depletion is <D[Fe/H]> = 1.741 ± 0.486 dex. We also disclose a mild correlation of the depletion with [O/H]. If [O/H] is a measure of the target metallicity, we can say that depletion is higher at high metallicity.
Sulfur depletion is milder and more uncertain, <D[S/H] > = 0.179 ± 0.291  dex, with no correlation between sulfur depletion and metallicity. The sulfur depletion value for the ISM at solar metallicity, 0.45 ± 0.28 dex [16], is compatible with the average PNe depletion, within the uncertainties. This is interesting, indicating that sulfur condensation at a similar environmental metallicity has similar efficiency in the two environments.

4. Elemental Enrichment

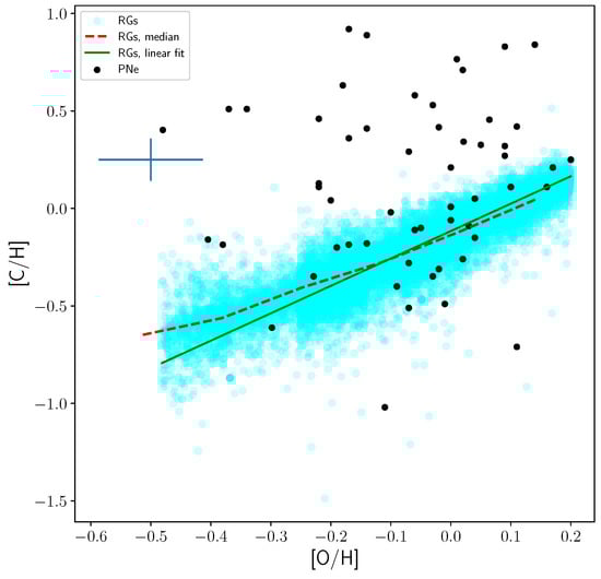
PNe are major sources of C and N in the Universe. According to Kobayashi & Taylor [17], 45% of carbon and 74% of nitrogen originates in LIMS nucleosynthesis. We compared [C/H] and [C/O] to [O/H] in RGs and PNe, and noted qualitative enrichment of both elements including when the metallicity effect is removed from the distributions. In Figure 4, we show the [C/H] versus [O/H] plot of RGs and PNe. Similarly to depletion, we measure carbon and nitrogen enrichment in our sample of PNe with reference to the RG median line at the same [O/H] value. We found an average [C/H] enrichment of PNe with reference to the underlying progenitor population of <E[C/H]> = 0.332 ± 0.460 dex, and an average [N/H] enrichment of <E[N/H]> = 0.393 ± 0.421 dex. If we limit our analysis to the PNe that have gone through the hot-bottom burning (HBB) during their progenitor evolution, we note an enhancement in the [N/H] enrichment of these PNe with respect to the underlying stellar population, with <E[N/H]> = 0.980 ± 0.243.

5. Radial Metallicity Gradients

Radial metallicity gradient evolution is a powerful tool to constrain galaxy evolution, and it is based on the [O/H] observation of galaxies at different redshifts, i.e., cosmic ages. Curti et al. [18] and others have shown that most observed galaxies follow the inside-out spiral formation with enhanced feedback, based on their radial abundance gradients. To determine radial metallicity gradient evolution, one could compare gradients of presumably similar galaxies at different redshifts, or use populations of different ages in the same galaxy. PNe and evolved stars in the galaxy can be used to determine gradient evolution more accurately than other pairs of stellar populations, since the radial migration/age difference between the two is minimal. The underlying assumption is that the observed [O/H] distribution in PNe is the same of the original progenitor formation cloud, back to redshift z ≤ 2.
In Figure 5, we show the radial oxygen gradients of the RG and PN populations described above. Distances for the PNe are from the Gaia DR3 Galactic PN distance scale by Bucciarelli & Stanghellini [7]. PNe and RGs have similar, flat radial metallicity gradients, with marginal slope difference, within the scatter of the distributions.
To test gradient evolution for RGs, we could use ages  t  predicted from APOGEE stellar spectra, via a Bayesian convolutional neural network model, trained on asteroseismological stellar ages [19], but we would face large relative uncertainties, especially for young populations; thus, gradient evolution measured with those ages would be rather uncertain.

6. Conclusions and Future Endeavors

We performed a comparative analysis of abundances of Galactic PNe in the Parker et al. [6] catalog, and RG stars from the APOGEE DR17 survey, based on sample pairs with compatible metallicity ([O/H]) and spatial (RG and z) distributions. We found that iron is depleted in PNe, with <D[Fe/H]> = 1.74 ± 0.49. This means that, on average, only 2% of the iron that is present on the RG atmospheres is observed in PNe in gaseous form, while most of it is in solid-state compounds. The depletion amount slightly increases with PN metallicity. We also found that sulfur is also depleted in PNe at a much lesser degree than iron.
We also found that the median [C/H] enrichment is ∼0.3, and the median [N/H] enrichment is ∼0.4, with respect to the median underlying RG population of the same metallicity. Furthermore, PNe whose progenitors have gone through the HBB have extreme [N/H] enrichment. We examined the radial metallicity gradients of PN and RG populations that are compatible in metallicity and space distributions. Both gradients were flat and comparable within the error bars.
In the future, we plan to examine the radial gradients in more detail with compatible samples of PNe and RGs that have different ages, possibly based on improved ages determined from asteroseismology.

Author Contributions

All authors participated in the research project and collaborated for the final results. All authors have read and agreed to the published version of the manuscript.

Funding

This research received no external funding.

Data Availability Statement

No new data were created or analyzed in this study. Data sharing is not applicable to this article.

Acknowledgments

L.S. thanks Paolo Ventura and Flavia Dell’Agli, and all other meeting organizers, for a very constructive meeting and discussion.

Conflicts of Interest

The authors declare no conflicts of interest.

References

  1. Maiolino, R.; Mannucci, F. De re metallica: The cosmic chemical evolution of galaxies. Astron. Astrophys. Rev. 2019, 27, 3. [Google Scholar] [CrossRef]
  2. Ventura, P.; Stanghellini, L.; Dell’Agli, F.; García-Hernández, D.A. The evolution of Galactic planetary nebula progenitors through the comparison of their nebular abundances with AGB yields. Mon. Not. R. Astron. Soc. 2017, 471, 4648–4661. [Google Scholar] [CrossRef]
  3. Smith, V.V.; Lambert, D.L. The Chemical Composition of Red Giants. III. Further CNO Isotopic and s-Process Abundances in Thermally Pulsing Asymptotic Giant Branch Stars. Astrophys. J. Suppl. 1990, 72, 387. [Google Scholar] [CrossRef]
  4. Bhattacharya, S.; Arnaboldi, M.; Caldwell, N.; Gerhard, O.; Kobayashi, C.; Hartke, J.; Freeman, K.C.; McConnachie, A.W.; Guhathakurta, P. The survey of planetary nebulae in Andromeda (M31)—IV. Radial oxygen and argon abundance gradients of the thin and thicker disc. Mon. Not. R. Astron. Soc. 2022, 517, 2343–2359. [Google Scholar] [CrossRef]
  5. Bresolin, F. Planetary Nebulae: Multi-Wavelength Probes of Stellar and Galactic Evolution; Cambridge University Press: Cambridge, UK, 2017; Volume 323, p. 237. [Google Scholar]
  6. Parker, Q.A.; Bojičić, I.S.; Frew, D.J. HASH: The Hong Kong/AAO/Strasbourg Haplanetary nebula database. J. Phys. Conf. Ser. 2016, 728, 032008. [Google Scholar] [CrossRef]
  7. Bucciarelli, B.; Stanghellini, L. Tracing the Galactic Disk with Planetary Nebulae using Gaia DR3. arXiv 2023, arXiv:2309.10096. [Google Scholar] [CrossRef]
  8. Beaton, R.L.; Oelkers, R.J.; Hayes, C.R.; Covey, K.R.; Chojnowski, S.D.; De Lee, N.; Sobeck, J.S.; Majewski, S.R.; Cohen, R.E.; Fernandez-Trincado, J.; et al. Final Targeting Strategy for the Sloan Digital Sky Survey IV Apache Point Observatory Galactic Evolution Experiment 2 North Survey. Astron. J. 2021, 162, 302. [Google Scholar] [CrossRef]
  9. Stanghellini, L.; Smith, V.V.; Cunha, K.; Prantzos, N. Abundances of planetary nebulae and evolved stars: Iron and sulfur depletion, and carbon and nitrogen enrichment, in low-and intermediate-mass stellar populations in the Milky Way. Astrophys. J. 2024, 972, 130. [Google Scholar] [CrossRef]
  10. Gehrz, R. Interstellar Dust. In Proceedings of the 135th Symposium of the International Astronomical Union, Santa Clara, CA, USA, 26–30 July 1988; Volume 135, p. 445. [Google Scholar]
  11. Karakas, A.I.; Lattanzio, J.C. The Dawes review 2: Nucleosynthesis and stellar yields of low-and intermediate-mass single stars. Publ. Astron. Soc. Aust. 2014, 31, e030. [Google Scholar] [CrossRef]
  12. Sloan, G.C.; Kraemer, K.E.; Wood, P.R.; Zijlstra, A.A.; Bernard-Salas, J.; Devost, D.; Houck, J.R. The Magellanic zoo: Mid-infrared Spitzer spectroscopy of evolved stars and circumstellar dust in the Magellanic Clouds. Astrophys. J. 2008, 686, 1056. [Google Scholar] [CrossRef]
  13. Ventura, P.; Stanghellini, L.; Dell’Agli, F.; García-Hernández, D.A.; Di Criscienzo, M. A test for asymptotic giant branch evolution theories: Planetary nebulae in the Large Magellanic Cloud. Mon. Not. R. Astron. Soc. 2015, 452, 3679–3688. [Google Scholar] [CrossRef][Green Version]
  14. Lodders, K. Solar system abundances and condensation temperatures of the elements. Astrophys. J. 2003, 591, 1220. [Google Scholar] [CrossRef]
  15. Delgado-Inglada, G.; Rodríguez, M. C/O abundance ratios, iron depletions, and infrared dust features in Galactic planetary nebulae. Astrophys. J. 2014, 784, 173. [Google Scholar] [CrossRef]
  16. Roman-Duval, J.; Jenkins, E.B.; Tchernyshyov, K.; Clark, C.J.; De Cia, A.; Gordon, K.D.; Hamanowicz, A.; Lebouteiller, V.; Rafelski, M.; Sandstrom, K.; et al. METAL: The Metal Evolution, Transport, and Abundance in the Large Magellanic Cloud Hubble Program. IV. Calibration of Dust Depletions versus Abundance Ratios in the Milky Way and Magellanic Clouds and Application to Damped Lya Systems. Astrophys. J. 2022, 928, 105. [Google Scholar] [CrossRef]
  17. Kobayashi, C.; Taylor, P. Chemo-Dynamical Evolution of Galaxies. arXiv 2023, arXiv:2302.07255. [Google Scholar]
  18. Curti, M.; Maiolino, R.; Cirasuolo, M.; Mannucci, F.; Williams, R.J.; Auger, M.; Mercurio, A.; Hayden-Pawson, C.; Cresci, G.; Marconi, A.; et al. The KLEVER Survey: Spatially resolved metallicity maps and gradients in a sample of 1.2 < z < 2.5 lensed galaxies. Mon. Not. R. Astron. Soc. 2020, 492, 821–842. [Google Scholar]
  19. Pinsonneault, M.H.; Elsworth, Y.P.; Tayar, J.; Serenelli, A.; Stello, D.; Zinn, J.; Mathur, S.; Garcia, R.A.; Johnson, J.A.; Hekker, S.; et al. The second APOKASC catalog: The empirical approach. Astrophys. J. Suppl. Ser. 2018, 239, 32. [Google Scholar] [CrossRef]
Figure 1. The probability density of [O/H] (left panel), the radial distance  R G  in kpc (central panel), and the distance on the Galactic plane, z, also in kpc (right panel) in the [Fe/H] PN and RG samples. N is adapted from Stanghellini et al. [9].
Figure 1. The probability density of [O/H] (left panel), the radial distance  R G  in kpc (central panel), and the distance on the Galactic plane, z, also in kpc (right panel) in the [Fe/H] PN and RG samples. N is adapted from Stanghellini et al. [9].
Galaxies 12 00088 g001
Figure 2. Left: [Fe/H] distributions in [Fe/H] PN and RG samples. Right: [S/H] distributions in [S/H] PN and RG samples. Adapted from Stanghellini et al. [9].
Figure 2. Left: [Fe/H] distributions in [Fe/H] PN and RG samples. Right: [S/H] distributions in [S/H] PN and RG samples. Adapted from Stanghellini et al. [9].
Galaxies 12 00088 g002
Figure 3. [Fe/H] vs. [O/H] in RGs and PNe. The blue cross represents conservative uncertainties in the PNe. Adapted from Stanghellini et al. [9].
Figure 3. [Fe/H] vs. [O/H] in RGs and PNe. The blue cross represents conservative uncertainties in the PNe. Adapted from Stanghellini et al. [9].
Galaxies 12 00088 g003
Figure 4. [C/H] vs. [O/H] in RGs and PNe. Adapted from Stanghellini et al. [9].
Figure 4. [C/H] vs. [O/H] in RGs and PNe. Adapted from Stanghellini et al. [9].
Galaxies 12 00088 g004
Figure 5. Radial [O/H] distributions for RGs and PNe in our [O/H] sample. Here, we plot [O/H] and  R G  [kpc] for both the stellar and nebular populations.The color bar scale refers to the astro-seismology derived ages of the RG stars in APOGEE DR17.
Figure 5. Radial [O/H] distributions for RGs and PNe in our [O/H] sample. Here, we plot [O/H] and  R G  [kpc] for both the stellar and nebular populations.The color bar scale refers to the astro-seismology derived ages of the RG stars in APOGEE DR17.
Galaxies 12 00088 g005
Disclaimer/Publisher’s Note: The statements, opinions and data contained in all publications are solely those of the individual author(s) and contributor(s) and not of MDPI and/or the editor(s). MDPI and/or the editor(s) disclaim responsibility for any injury to people or property resulting from any ideas, methods, instructions or products referred to in the content.

Share and Cite

MDPI and ACS Style

Stanghellini, L.; Smith, V.V.; Cunha, K.; Prantzos, N. Advances in Stellar and Galactic Evolution with the Population of Planetary Nebula Progenitors from the APOGEE DR17 Survey. Galaxies 2024, 12, 88. https://doi.org/10.3390/galaxies12060088

AMA Style

Stanghellini L, Smith VV, Cunha K, Prantzos N. Advances in Stellar and Galactic Evolution with the Population of Planetary Nebula Progenitors from the APOGEE DR17 Survey. Galaxies. 2024; 12(6):88. https://doi.org/10.3390/galaxies12060088

Chicago/Turabian Style

Stanghellini, Letizia, Verne V. Smith, Katia Cunha, and Nikos Prantzos. 2024. "Advances in Stellar and Galactic Evolution with the Population of Planetary Nebula Progenitors from the APOGEE DR17 Survey" Galaxies 12, no. 6: 88. https://doi.org/10.3390/galaxies12060088

APA Style

Stanghellini, L., Smith, V. V., Cunha, K., & Prantzos, N. (2024). Advances in Stellar and Galactic Evolution with the Population of Planetary Nebula Progenitors from the APOGEE DR17 Survey. Galaxies, 12(6), 88. https://doi.org/10.3390/galaxies12060088

Note that from the first issue of 2016, this journal uses article numbers instead of page numbers. See further details here.

Article Metrics

Back to TopTop