Polarization from a Radially Stratified GRB Outflow
Abstract
1. Introduction
2. Synchrotron Forward-Shock Model from a Radially Stratified Off-Axis Jet
2.1. Synchrotron Scenario
2.1.1. Constant-Density Medium
2.1.2. Stellar-Wind Medium
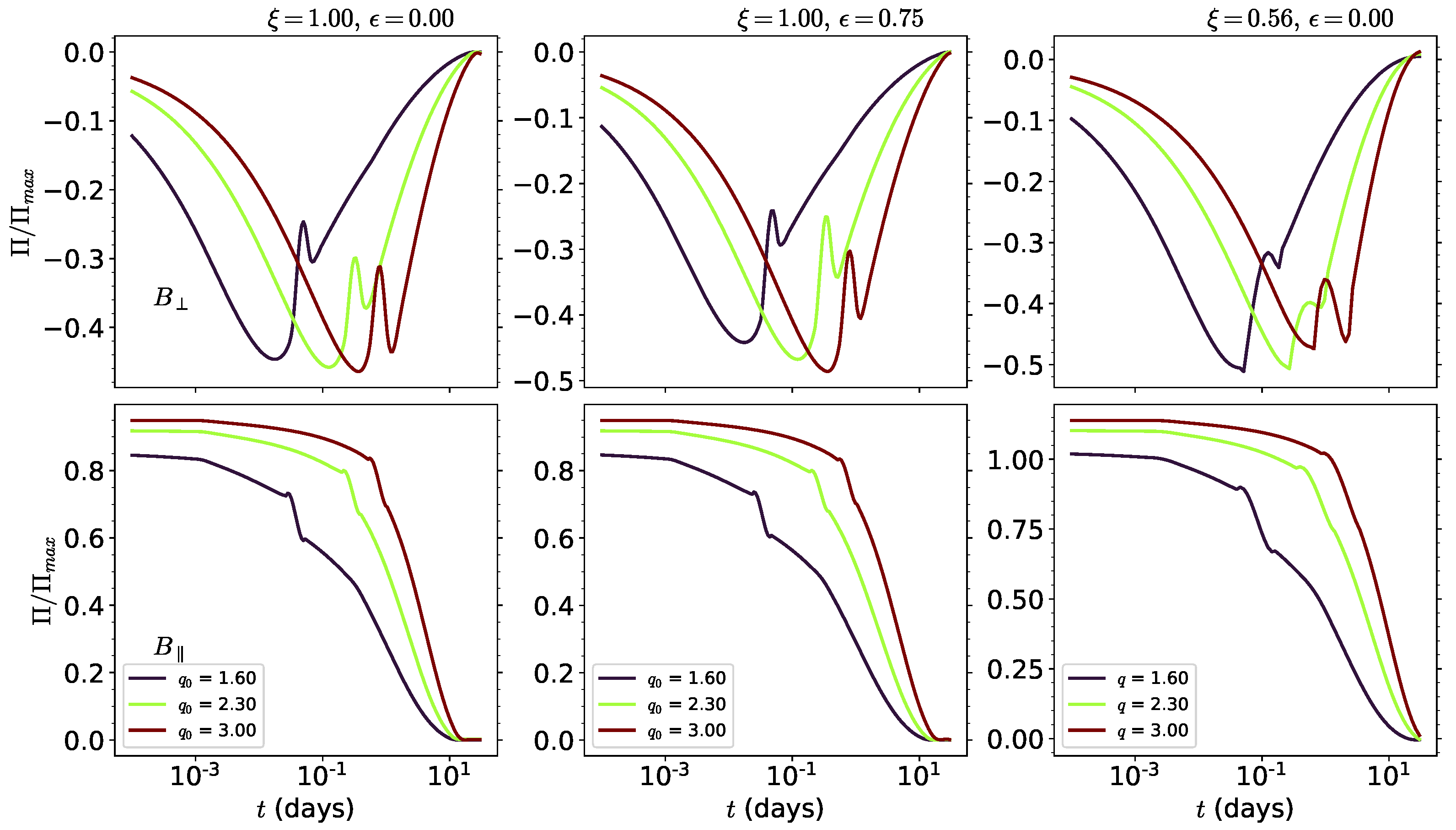
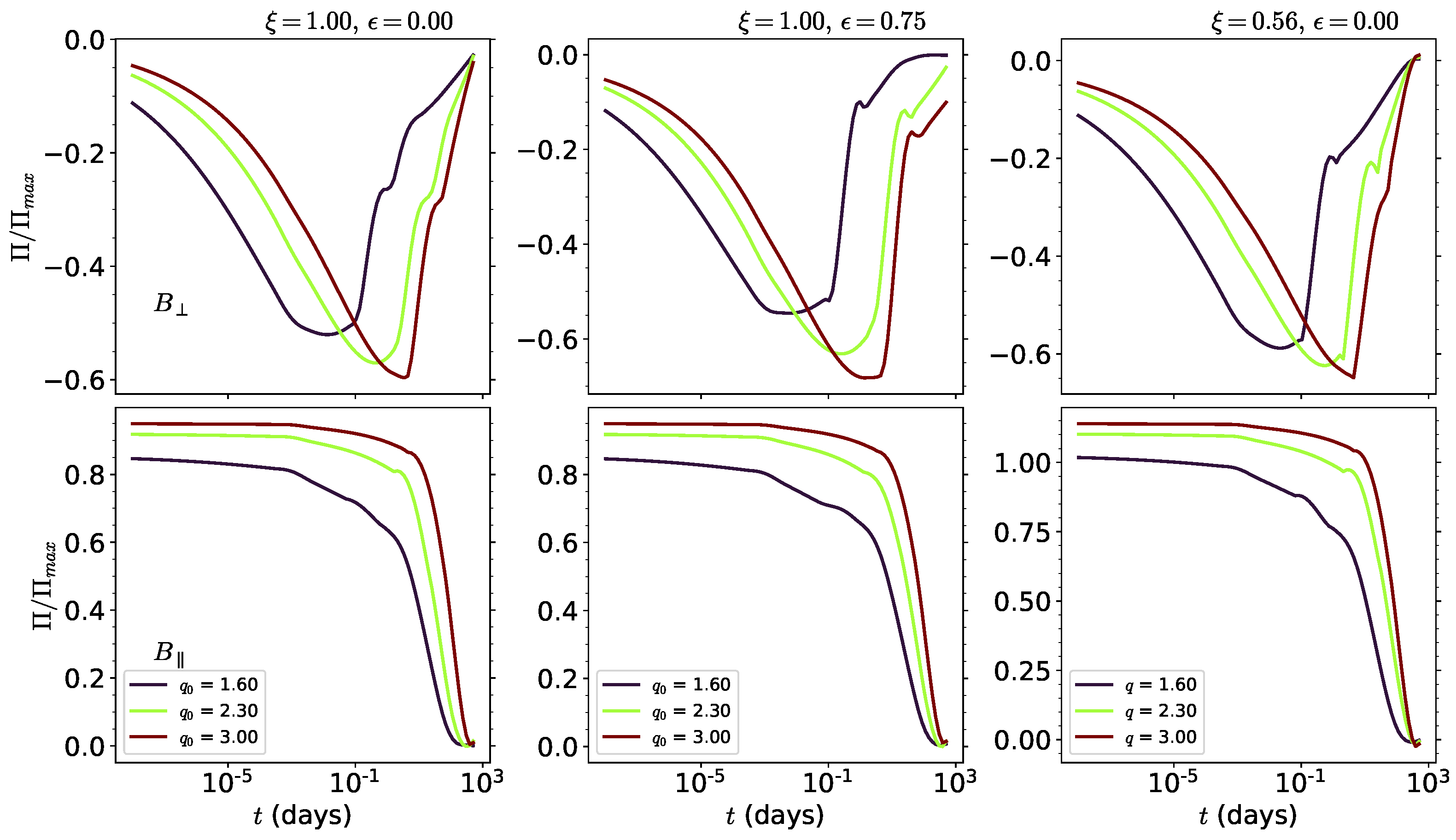
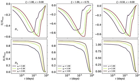
3. Polarization Model
- Random magnetic field ()
- Ordered magnetic field ()
Polarization Evolution for a Forward-Shock
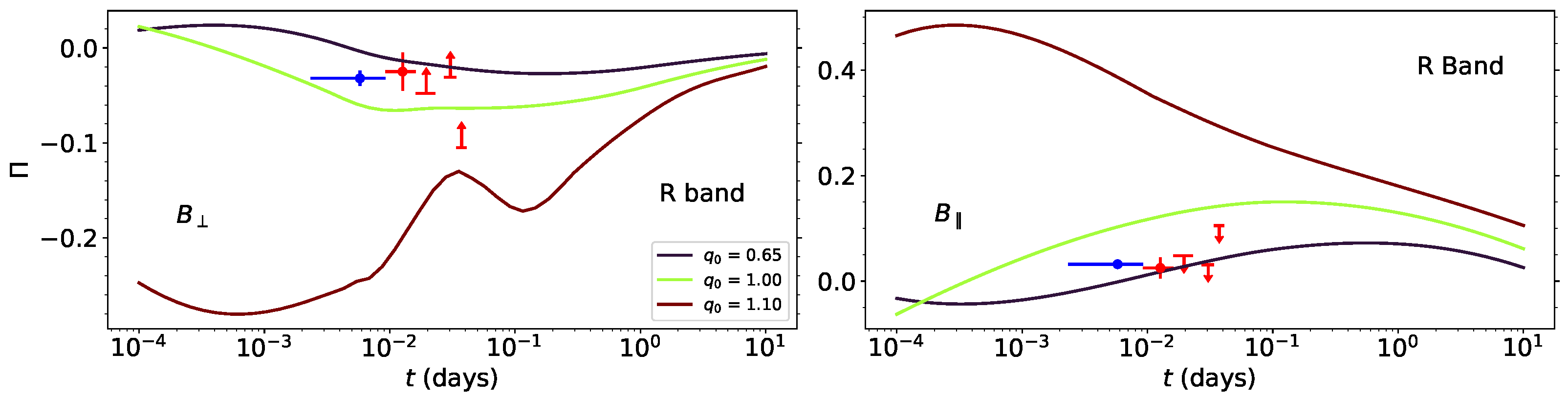
4. Modeling the Polarization of Observed Bursts
- GRB 170817A
- GRB 190114C
5. Conclusions
Author Contributions
Funding
Institutional Review Board Statement
Informed Consent Statement
Data Availability Statement
Acknowledgments
Conflicts of Interest
| 1 | For a debate of controversial situations, see [29]. |
| 2 | is the time over which a GRB releases from to of the total measured counts. |
| 3 | We use the values of the cosmological constants , and [58], which correspond to a spatially flat universe CDM model. |
| 4 | Over the course of this manuscript we will be using deg as the abbreviation of degree. |
| 5 | The authors also observe a polarization reading in the radio band and attribute the emission to the RS component. |
References
- Woosley, S.E. Gamma-Ray Bursts from Stellar Mass Accretion Disks around Black Holes. Astrophys. J. 1993, 405, 273. [Google Scholar] [CrossRef]
- Paczyński, B. Are Gamma-Ray Bursts in Star-Forming Regions? Astrophys. J. 1998, 494, L45–L48. [Google Scholar] [CrossRef]
- Woosley, S.E.; Bloom, J.S. The Supernova Gamma-Ray Burst Connection. Annu. Rev. Astron. Astrophys. 2006, 44, 507–556. [Google Scholar] [CrossRef]
- Cano, Z.; Wang, S.Q.; Dai, Z.G.; Wu, X.F. The Observer’s Guide to the Gamma-Ray Burst Supernova Connection. Adv. Astron. 2017, 2017, 8929054. [Google Scholar] [CrossRef]
- Duncan, R.C.; Thompson, C. Formation of Very Strongly Magnetized Neutron Stars: Implications for Gamma-Ray Bursts. Astrophys. J. Lett. 1992, 392, L9. [Google Scholar] [CrossRef]
- Usov, V.V. Millisecond pulsars with extremely strong magnetic fields as a cosmological source of gamma-ray bursts. Nature 1992, 357, 472–474. [Google Scholar] [CrossRef]
- Thompson, C. A Model of Gamma-Ray Bursts. Mon. Not. R. Astron. Soc. 1994, 270, 480. [Google Scholar] [CrossRef]
- Metzger, B.D.; Giannios, D.; Thompson, T.A.; Bucciantini, N.; Quataert, E. The protomagnetar model for gamma-ray bursts. Mon. Not. R. Astron. Soc. 2011, 413, 2031–2056. [Google Scholar] [CrossRef]
- Narayan, R.; Paczynski, B.; Piran, T. Gamma-ray bursts as the death throes of massive binary stars. Astrophys. J. Lett. 1992, 395, L83–L86. [Google Scholar] [CrossRef]
- Sari, R.; Piran, T.; Narayan, R. Spectra and Light Curves of Gamma-Ray Burst Afterglows. Astrophys. J. Lett. 1998, 497, L17–L20. [Google Scholar] [CrossRef]
- Rees, M.J.; Meszaros, P. Unsteady outflow models for cosmological gamma-ray bursts. Astrophys. J. Lett. 1994, 430, L93–L96. [Google Scholar] [CrossRef]
- Paczynski, B.; Xu, G. Neutrino Bursts from Gamma-Ray Bursts. Astrophys. J. 1994, 427, 708. [Google Scholar] [CrossRef]
- Thompson, C.; Mészáros, P.; Rees, M.J. Thermalization in Relativistic Outflows and the Correlation between Spectral Hardness and Apparent Luminosity in Gamma-Ray Bursts. Astrophys. J. 2007, 666, 1012–1023. [Google Scholar] [CrossRef]
- Lazzati, D.; Morsony, B.J.; Margutti, R.; Begelman, M.C. Photospheric Emission as the Dominant Radiation Mechanism in Long-duration Gamma-Ray Bursts. Astrophys. J. 2013, 765, 103. [Google Scholar] [CrossRef]
- Mizuta, A.; Nagataki, S.; Aoi, J. Thermal Radiation from Gamma-ray Burst Jets. Astrophys. J. 2011, 732, 26. [Google Scholar] [CrossRef]
- Giannios, D. Prompt GRB emission from gradual energy dissipation. Astron. Astrophys. 2008, 480, 305–312. [Google Scholar] [CrossRef]
- Beniamini, P.; Granot, J. Properties of GRB light curves from magnetic reconnection. Mon. Not. R. Astron. Soc. 2016, 459, 3635–3658. [Google Scholar] [CrossRef]
- Kumar, P.; Crumley, P. Radiation from a relativistic Poynting jet: Some general considerations. Mon. Not. R. Astron. Soc. 2015, 453, 1820–1828. [Google Scholar] [CrossRef]
- Zhang, B.; Yan, H. The Internal-collision-induced Magnetic Reconnection and Turbulence (ICMART) Model of Gamma-ray Bursts. Astrophys. J. 2011, 726, 90. [Google Scholar] [CrossRef]
- Costa, E.; Frontera, F.; Heise, J.; Feroci, M.; in’t Zand, J.; Fiore, F.; Cinti, M.N.; Dal Fiume, D.; Nicastro, L.; Orlandini, M.; et al. Discovery of an X-ray afterglow associated with the γ-ray burst of 28 February 1997. Nature 1997, 387, 783–785. [Google Scholar] [CrossRef]
- Granot, J.; Sari, R. The Shape of Spectral Breaks in Gamma-Ray Burst Afterglows. Astrophys. J. 2002, 568, 820–829. [Google Scholar] [CrossRef]
- van Paradijs, J.; Groot, P.J.; Galama, T.; Kouveliotou, C.; Strom, R.G.; Telting, J.; Rutten, R.G.M.; Fishman, G.J.; Meegan, C.A.; Pettini, M.; et al. Transient optical emission from the error box of the γ-ray burst of 28 February 1997. Nature 1997, 386, 686–689. [Google Scholar] [CrossRef]
- Piro, L.; Amati, L.; Antonelli, L.A.; Butler, R.C.; Costa, E.; Cusumano, G.; Feroci, M.; Frontera, F.; Heise, J.; in ’t Zand, J.J.M.; et al. Evidence for a late-time outburst of the X-ray afterglow of GB970508 from BeppoSAX. Astron. Astrophys. 1998, 331, L41–L44. [Google Scholar]
- Gehrels, N.; Ramirez-Ruiz, E.; Fox, D.B. Gamma-Ray Bursts in the Swift Era. Annu. Rev. Astron. Astrophys. 2009, 47, 567–617. [Google Scholar] [CrossRef]
- Wang, X.G.; Zhang, B.; Liang, E.W.; Gao, H.; Li, L.; Deng, C.M.; Qin, S.M.; Tang, Q.W.; Kann, D.A.; Ryde, F.; et al. How Bad or Good Are the External Forward Shock Afterglow Models of Gamma-Ray Bursts? Astrophys. J. Suppl. Ser. 2015, 219, 9. [Google Scholar] [CrossRef]
- Fraija, N.; Dichiara, S.; Pedreira, A.C.C.d.E.S.; Galvan-Gamez, A.; Becerra, R.L.; Montalvo, A.; Montero, J.; Betancourt Kamenetskaia, B.; Zhang, B.B. Modeling the Observations of GRB 180720B: From Radio to Sub-TeV Gamma-Rays. Astrophys. J. 2019, 885, 29. [Google Scholar] [CrossRef]
- Fraija, N.; Dainotti, M.G.; Betancourt Kamenetskaia, B.; Galván-Gámez, A.; Aguilar-Ruiz, E. Microphysical parameter variation in gamma-ray burst stratified afterglows and closure relations: From sub-GeV to TeV observations. Mon. Not. R. Astron. Soc. 2024, 527, 1884–1909. [Google Scholar] [CrossRef]
- Fraija, N.; Betancourt Kamenetskaia, B.; Galván-Gámez, A.; Veres, P.; Becerra, R.L.; Dichiara, S.; Dainotti, M.G.; Lizcano, F.; Aguilar-Ruiz, E. An explanation of GRB Fermi-LAT flares and high-energy photons in stratified afterglows. Mon. Not. R. Astron. Soc. 2024, 527, 1674–1704. [Google Scholar] [CrossRef]
- Kann, D.A.; Klose, S.; Zhang, B.; Covino, S.; Butler, N.R.; Malesani, D.; Nakar, E.; Wilson, A.C.; Antonelli, L.A.; Chincarini, G.; et al. The Afterglows of Swift-era Gamma-Ray Bursts. II. Type I GRB versus Type II GRB Optical Afterglows. Astrophys. J. 2011, 734, 96. [Google Scholar] [CrossRef]
- Mazets, E.; Golenetskii, S.; Il’Inskii, V.; Panov, V.; Aptekar, R.; Gur’Yan, Y.A.; Proskura, M.; Sokolov, I.; Sokolova, Z.Y.; Kharitonova, T.; et al. Catalog of cosmic gamma-ray bursts from the KONUS experiment data. Astrophys. Space Sci. 1981, 80, 3–83. [Google Scholar] [CrossRef]
- Kouveliotou, C.; Meegan, C.A.; Fishman, G.J.; Bhat, N.P.; Briggs, M.S.; Koshut, T.M.; Paciesas, W.S.; Pendleton, G.N. Identification of two classes of gamma-ray bursts. Astrophys. J. 1993, 413, L101–L104. [Google Scholar] [CrossRef]
- Kumar, P.; Zhang, B. The physics of gamma-ray bursts & relativistic jets. Phys. Rep. 2015, 561, 1–109. [Google Scholar] [CrossRef]
- Mészáros, P.; Rees, M.J. Optical and Long-Wavelength Afterglow from Gamma-Ray Bursts. Astrophys. J. 1997, 476, 232–237. [Google Scholar] [CrossRef]
- Laing, R.A. A model for the magnetic-field structure in extended radio sources. Mon. Not. R. Astron. Soc. 1980, 193, 439–449. [Google Scholar] [CrossRef]
- Teboul, O.; Shaviv, N.J. Impact of the ISM magnetic field on GRB afterglow polarization. Mon. Not. R. Astron. Soc. 2021, 507, 5340–5347. [Google Scholar] [CrossRef]
- Weibel, E.S. Spontaneously Growing Transverse Waves in a Plasma Due to an Anisotropic Velocity Distribution. Phys. Rev. Lett. 1959, 2, 83–84. [Google Scholar] [CrossRef]
- Medvedev, M.V.; Loeb, A. Generation of Magnetic Fields in the Relativistic Shock of Gamma-Ray Burst Sources. Astrophys. J. 1999, 526, 697–706. [Google Scholar] [CrossRef]
- Gill, R.; Granot, J. Constraining the magnetic field structure in collisionless relativistic shocks with a radio afterglow polarization upper limit in GW 170817. Mon. Not. R. Astron. Soc. 2020, 491, 5815–5825. [Google Scholar] [CrossRef]
- Buckley, D.A.H.; Bagnulo, S.; Britto, R.J.; Mao, J.; Kann, D.A.; Cooper, J.; Lipunov, V.; Hewitt, D.M.; Razzaque, S.; Kuin, N.P.M.; et al. Spectropolarimetry and photometry of the early afterglow of the gamma-ray burst GRB 191221B. Mon. Not. R. Astron. Soc. 2021, 506, 4621–4631. [Google Scholar] [CrossRef]
- Laskar, T.; Alexander, K.D.; Gill, R.; Granot, J.; Berger, E.; Mundell, C.G.; Barniol Duran, R.; Bolmer, J.; Duffell, P.; van Eerten, H.; et al. ALMA Detection of a Linearly Polarized Reverse Shock in GRB 190114C. Astrophys. J. Lett. 2019, 878, L26. [Google Scholar] [CrossRef]
- Granot, J.; Taylor, G.B. Radio Flares and the Magnetic Field Structure in Gamma-Ray Burst Outflows. Astrophys. J. 2005, 625, 263–270. [Google Scholar] [CrossRef]
- Corsi, A.; Hallinan, G.W.; Lazzati, D.; Mooley, K.P.; Murphy, E.J.; Frail, D.A.; Carbone, D.; Kaplan, D.L.; Murphy, T.; Kulkarni, S.R.; et al. An Upper Limit on the Linear Polarization Fraction of the GW170817 Radio Continuum. Astrophys. J. Lett. 2018, 861, L10. [Google Scholar] [CrossRef]
- Coburn, W.; Boggs, S.E. Polarization of the prompt γ-ray emission from the γ-ray burst of 6 December 2002. Nature 2003, 423, 415–417. [Google Scholar] [CrossRef] [PubMed]
- Kalemci, E.; Boggs, S.E.; Kouveliotou, C.; Finger, M.; Baring, M.G. Search for Polarization from the Prompt Gamma-Ray Emission of GRB 041219a with SPI on INTEGRAL. Astrophys. J. Suppl. Ser. 2007, 169, 75–82. [Google Scholar] [CrossRef]
- Mundell, C.G.; Kopač, D.; Arnold, D.M.; Steele, I.A.; Gomboc, A.; Kobayashi, S.; Harrison, R.M.; Smith, R.J.; Guidorzi, C.; Virgili, F.J.; et al. Highly polarized light from stable ordered magnetic fields in GRB 120308A. Nature 2013, 504, 119–121. [Google Scholar] [CrossRef] [PubMed]
- Chattopadhyay, T.; Vadawale, S.V.; Aarthy, E.; Mithun, N.P.S.; Chand, V.; Ratheesh, A.; Basak, R.; Rao, A.R.; Bhalerao, V.; Mate, S.; et al. Prompt Emission Polarimetry of Gamma-Ray Bursts with the AstroSat CZT Imager. Astrophys. J. 2019, 884, 123. [Google Scholar] [CrossRef]
- Ito, H.; Nagataki, S.; Matsumoto, J.; Lee, S.H.; Tolstov, A.; Mao, J.; Dainotti, M.; Mizuta, A. Spectral and Polarization Properties of Photospheric Emission from Stratified Jets. Astrophys. J. 2014, 789, 159. [Google Scholar] [CrossRef]
- Parsotan, T.; López-Cámara, D.; Lazzati, D. Photospheric Polarization Signatures from Long Gamma-Ray Burst Simulations. Astrophys. J. 2020, 896, 139. [Google Scholar] [CrossRef]
- Gill, R.; Granot, J. Temporal evolution of prompt GRB polarization. Mon. Not. R. Astron. Soc. 2021, 504, 1939–1958. [Google Scholar] [CrossRef]
- Granot, J.; Königl, A. Linear Polarization in Gamma-Ray Bursts: The Case for an Ordered Magnetic Field. Astrophys. J. Lett. 2003, 594, L83–L87. [Google Scholar] [CrossRef]
- Gill, R.; Granot, J.; Kumar, P. Linear polarization in gamma-ray burst prompt emission. Mon. Not. R. Astron. Soc. 2020, 491, 3343–3373. [Google Scholar] [CrossRef]
- Rutledge, R.E.; Fox, D.B. Re-analysis of polarization in the γ-ray flux of GRB 021206. Mon. Not. R. Astron. Soc. 2004, 350, 1288–1300. [Google Scholar] [CrossRef]
- Lyutikov, M.; Pariev, V.I.; Blandford, R.D. Polarization of Prompt Gamma-Ray Burst Emission: Evidence for Electromagnetically Dominated Outflow. Astrophys. J. 2003, 597, 998–1009. [Google Scholar] [CrossRef]
- Nakar, E.; Piran, T.; Waxman, E. Implications of the γ-ray polarization of GRB 021206. J. Cosmol. Astropart. Phys. 2003, 2003, 005. [Google Scholar] [CrossRef]
- Stringer, E.; Lazzati, D. Polarization Constraints on the Geometry of the Magnetic Field in the External Shock of Gamma-Ray Bursts. Astrophys. J. 2020, 892, 131. [Google Scholar] [CrossRef]
- Medina Covarrubias, R.; De Colle, F.; Urrutia, G.; Vargas, F. Numerical simulations of polarization in gamma-ray burst afterglows. Mon. Not. R. Astron. Soc. 2023, 523, 4583–4592. [Google Scholar] [CrossRef]
- Fraija, N.; De Colle, F.; Veres, P.; Dichiara, S.; Barniol Duran, R.; Pedreira, A.C.C.d.E.S.; Galvan-Gamez, A.; Betancourt Kamenetskaia, B. Description of atypical bursts seen slightly off-axis. arXiv 2019, arXiv:1906.00502. [Google Scholar] [CrossRef]
- Ade, P.A.R. et al. [Planck Collaboration] Planck 2015 results. XIII. Cosmological parameters. Astron. Astrophys. 2016, 594, A13. [Google Scholar] [CrossRef]
- Kasliwal, M.M.; Nakar, E.; Singer, L.P.; Kaplan, D.L.; Cook, D.O.; Van Sistine, A.; Lau, R.M.; Fremling, C.; Gottlieb, O.; Jencson, J.E.; et al. Illuminating gravitational waves: A concordant picture of photons from a neutron star merger. Science 2017, 358, 1559–1565. [Google Scholar] [CrossRef]
- Lamb, G.P.; Kobayashi, S. Electromagnetic counterparts to structured jets from gravitational wave detected mergers. Mon. Not. R. Astron. Soc. 2017, 472, 4953–4964. [Google Scholar] [CrossRef]
- Mooley, K.P.; Deller, A.T.; Gottlieb, O.; Nakar, E.; Hallinan, G.; Bourke, S.; Frail, D.A.; Horesh, A.; Corsi, A.; Hotokezaka, K. Superluminal motion of a relativistic jet in the neutron-star merger GW170817. Nature 2018, 561, 355–359. [Google Scholar] [CrossRef]
- Hotokezaka, K.; Kiuchi, K.; Shibata, M.; Nakar, E.; Piran, T. Synchrotron Radiation from the Fast Tail of Dynamical Ejecta of Neutron Star Mergers. Astrophys. J. 2018, 867, 95. [Google Scholar] [CrossRef]
- Fraija, N.; Lopez-Camara, D.; Pedreira, A.C.C.d.E.S.; Betancourt Kamenetskaia, B.; Veres, P.; Dichiara, S. Signatures from a Quasi-spherical Outflow and an Off-axis Top-hat Jet Launched in a Merger of Compact Objects: An Analytical Approach. Astrophys. J. 2019, 884, 71. [Google Scholar] [CrossRef]
- Acciari, V.A. et al. [MAGIC Collaboration] Observation of inverse Compton emission from a long γ-ray burst. Nature 2019, 575, 459–463. [Google Scholar] [CrossRef]
- Fraija, N.; Dichiara, S.; Pedreira, A.C.C.d.E.S.; Galvan-Gamez, A.; Becerra, R.L.; Barniol Duran, R.; Zhang, B.B. Analysis and Modeling of the Multi-wavelength Observations of the Luminous GRB 190114C. Astrophys. J. Lett. 2019, 879, L26. [Google Scholar] [CrossRef]
- Wang, X.Y.; Liu, R.Y.; Zhang, H.M.; Xi, S.Q.; Zhang, B. Synchrotron Self-Compton Emission from External Shocks as the Origin of the Sub-TeV Emission in GRB 180720B and GRB 190114C. Astrophys. J. 2019, 884, 117. [Google Scholar] [CrossRef]
- Fraija, N.; De Colle, F.; Veres, P.; Dichiara, S.; Barniol Duran, R.; Galvan-Gamez, A.; Pedreira, A.C.C.d.E.S. The Short GRB 170817A: Modeling the Off-axis Emission and Implications on the Ejecta Magnetization. Astrophys. J. 2019, 871, 123. [Google Scholar] [CrossRef]
- Dainotti, M.G.; Lenart, A.Ł.; Fraija, N.; Nagataki, S.; Warren, D.C.; De Simone, B.; Srinivasaragavan, G.; Mata, A. Closure relations during the plateau emission of Swift GRBs and the fundamental plane. Publ. Astron. Soc. Jpn. 2021, 73, 970–1000. [Google Scholar] [CrossRef]
- Dainotti, M.; Levine, D.; Fraija, N.; Warren, D.; Veres, P.; Sourav, S. The Closure Relations in High-Energy Gamma-ray Bursts Detected by Fermi-LAT. Galaxies 2023, 11, 25. [Google Scholar] [CrossRef]
- Panaitescu, A.; Mészáros, P. Rings in Fireball Afterglows. Astrophys. J. Lett. 1998, 493, L31–L34. [Google Scholar] [CrossRef][Green Version]
- Chevalier, R.A.; Li, Z.Y. Wind Interaction Models for Gamma-Ray Burst Afterglows: The Case for Two Types of Progenitors. Astrophys. J. 2000, 536, 195–212. [Google Scholar] [CrossRef]
- Blandford, R.D.; McKee, C.F. Fluid dynamics of relativistic blast waves. Phys. Fluids 1976, 19, 1130–1138. [Google Scholar] [CrossRef]
- Fraija, N.; Dainotti, M.G.; Ugale, S.; Jyoti, D.; Warren, D.C. Synchrotron Self-Compton Afterglow Closure Relations and Fermi-LAT-detected Gamma-Ray Bursts. Astrophys. J. 2022, 934, 188. [Google Scholar] [CrossRef]
- Fraija, N.; Veres, P.; Betancourt Kamenetskaia, B.; Galvan-Gamez, A.; Dainotti, M.G.; Dichiara, S.; Becerra, R.L. Synchrotron self-Compton in a radiative-adiabatic fireball scenario: Modelling the multiwavelength observations in some Fermi/LAT bursts. arXiv 2024, arXiv:2409.12166. [Google Scholar] [CrossRef]
- Fraija, N.; Dainotti, M.G.; Kamenetskaia, B.B.; Levine, D.; Galvan-Gamez, A. Closure relations of synchrotron self-compton in afterglow-stratified medium and Fermi-LAT detected gamma-ray bursts. Mon. Not. R. Astron. Soc. 2023, 525, 1630–1640. [Google Scholar] [CrossRef]
- Fraija, N.; Lee, W.; Veres, P. Modeling the Early Multiwavelength Emission in GRB130427A. Astrophys. J. 2016, 818, 190. [Google Scholar] [CrossRef]
- Sari, R. Hydrodynamics of Gamma-Ray Burst Afterglow. Astrophys. J. Lett. 1997, 489, L37–L40. [Google Scholar] [CrossRef]
- Panaitescu, A.; Kumar, P. Analytic Light Curves of Gamma-Ray Burst Afterglows: Homogeneous versus Wind External Media. Astrophys. J. 2000, 543, 66–76. [Google Scholar] [CrossRef]
- Granot, J. The Most Probable Cause for the High Gamma-Ray Polarization in GRB 021206. Astrophys. J. Lett. 2003, 596, L17–L21. [Google Scholar] [CrossRef]
- Rybicki, G.B.; Lightman, A.P. Radiative Processes in Astrophysics; John Wiley & Sons: Hoboken, NJ, USA, 1979. [Google Scholar]
- Waxman, E. Astronomy: New direction for γ-rays. Nature 2003, 423, 388–389. [Google Scholar] [CrossRef] [PubMed]
- Berger, E. Short-Duration Gamma-Ray Bursts. Annu. Rev. Astron. Astrophys. 2014, 52, 43–105. [Google Scholar] [CrossRef]
- Ghisellini, G.; Lazzati, D. Polarization light curves and position angle variation of beamed gamma-ray bursts. Mon. Not. R. Astron. Soc. 1999, 309, L7–L11. [Google Scholar] [CrossRef]
- Granot, J.; Panaitescu, A.; Kumar, P.; Woosley, S.E. Off-Axis Afterglow Emission from Jetted Gamma-Ray Bursts. Astrophys. J. Lett. 2002, 570, L61–L64. [Google Scholar] [CrossRef]
- Rossi, E.M.; Lazzati, D.; Salmonson, J.D.; Ghisellini, G. The polarization of afterglow emission reveals γ-ray bursts jet structure. Mon. Not. R. Astron. Soc. 2004, 354, 86–100. [Google Scholar] [CrossRef]
- Caligula, A.C.d.E.S.P.; Fraija, N.; Galvan-Gamez, A.; Kamenetskaia, B.B.; Veres, P.; Dainotti, M.G.; Dichiara, S.; Becerra, R.L. Afterglow Polarization from Off-axis Gamma-Ray Burst Jets. Astrophys. J. 2023, 942, 81. [Google Scholar] [CrossRef]
- Böttcher, M.; Dermer, C.D. Early Gamma-Ray Burst Afterglows from Relativistic Blast Waves in General Radiative Regimes. Astrophys. J. 2000, 532, 281–285. [Google Scholar] [CrossRef][Green Version]
- Wu, X.F.; Dai, Z.G.; Huang, Y.F.; Lu, T. Analytical Light Curves in the Realistic Model for Gamma-Ray Burst Afterglows. Astrophys. J. 2005, 619, 968–982. [Google Scholar] [CrossRef]
- Waxman, E. Angular Size and Emission Timescales of Relativistic Fireballs. Astrophys. J. Lett. 1997, 491, L19–L22. [Google Scholar] [CrossRef]
- Lazzati, D.; Covino, S.; Gorosabel, J.; Rossi, E.; Ghisellini, G.; Rol, E.; Castro Cerón, J.M.; Castro-Tirado, A.J.; Della Valle, M.; di Serego Alighieri, S.; et al. On the jet structure and magnetic field configuration of GRB 020813. Astron. Astrophys. 2004, 422, 121–128. [Google Scholar] [CrossRef]
- Fraija, N.; Galvan-Gamez, A.; Betancourt Kamenetskaia, B.; Dainotti, M.G.; Dichiara, S.; Veres, P.; Becerra, R.L.; do E. S. Pedreira, A.C.C. Modeling Gamma-Ray Burst Afterglow Observations with an Off-axis Jet Emission. Astrophys. J. 2022, 940, 189. [Google Scholar] [CrossRef]
- Lan, M.X.; Wu, X.F.; Dai, Z.G. Afterglow Polarizations in a Stratified Medium with Effect of the Equal Arrival Time Surface. Astrophys. J. 2023, 952, 31. [Google Scholar] [CrossRef]
- Lan, M.X.; Wu, X.F.; Dai, Z.G. Polarization Evolution of Early Optical Afterglows of Gamma-Ray Bursts. Astrophys. J. 2016, 816, 73. [Google Scholar] [CrossRef]
- Lan, M.X.; Wu, X.F.; Dai, Z.G. Gamma-Ray Burst Optical Afterglows with Two-component Jets: Polarization Evolution Revisited. Astrophys. J. 2018, 860, 44. [Google Scholar] [CrossRef]
- Lan, M.X.; Dai, Z.G. Time-resolved and Energy-resolved Polarizations of GRB Prompt Emission. Astrophys. J. 2020, 892, 141. [Google Scholar] [CrossRef]
- Mooley, K.P.; Nakar, E.; Hotokezaka, K.; Hallinan, G.; Corsi, A.; Frail, D.A.; Horesh, A.; Murphy, T.; Lenc, E.; Kaplan, D.L.; et al. A mildly relativistic wide-angle outflow in the neutron-star merger event GW170817. Nature 2018, 554, 207–210. [Google Scholar] [CrossRef]
- Lazzati, D.; Perna, R.; Morsony, B.J.; Lopez-Camara, D.; Cantiello, M.; Ciolfi, R.; Giacomazzo, B.; Workman, J.C. Late Time Afterglow Observations Reveal a Collimated Relativistic Jet in the Ejecta of the Binary Neutron Star Merger GW170817. Phys. Rev. Lett. 2018, 120, 241103. [Google Scholar] [CrossRef]
- Fraija, N.; Pedreira, A.C.C.d.E.S.; Veres, P. Light Curves of a Shock-breakout Material and a Relativistic Off-axis Jet from a Binary Neutron Star System. Astrophys. J. 2019, 871, 200. [Google Scholar] [CrossRef]
- Gill, R.; Granot, J. Afterglow imaging and polarization of misaligned structured GRB jets and cocoons: Breaking the degeneracy in GRB 170817A. Mon. Not. R. Astron. Soc. 2018, 478, 4128–4141. [Google Scholar] [CrossRef]
- Lan, M.X.; Geng, J.J.; Wu, X.F.; Dai, Z.G. Polarization with a Three-dimensional Mixed Magnetic Field and Its Application to GRB 170817A. Astrophys. J. 2019, 870, 96. [Google Scholar] [CrossRef]
- Fraija, N.; Barniol Duran, R.; Dichiara, S.; Beniamini, P. Synchrotron Self-Compton as a Likely Mechanism of Photons beyond the Synchrotron Limit in GRB 190114C. Astrophys. J. 2019, 883, 162. [Google Scholar] [CrossRef]
- Shrestha, M.; Steele, I.A.; Kobayashi, S.; Smith, R.J.; Guidorzi, C.; Jordana-Mitjans, N.; Jermak, H.; Arnold, D.; Mundell, C.G.; Gomboc, A. Polarimetry and photometry of gamma-ray bursts afterglows with RINGO3. Mon. Not. R. Astron. Soc. 2022, 516, 1584–1600. [Google Scholar] [CrossRef]
- Jordana-Mitjans, N.; Mundell, C.G.; Kobayashi, S.; Smith, R.J.; Guidorzi, C.; Steele, I.A.; Shrestha, M.; Gomboc, A.; Marongiu, M.; Martone, R.; et al. Lowly Polarized Light from a Highly Magnetized Jet of GRB 190114C. Astrophys. J. 2020, 892, 97. [Google Scholar] [CrossRef]
- Fraija, N.; Dainotti, M.G.; Levine, D.; Kamenetskaia, B.B.; Galvan-Gamez, A. Off-axis Afterglow Closure Relations and Fermi-LAT Detected Gamma-Ray Bursts. Astrophys. J. 2023, 958, 126. [Google Scholar] [CrossRef]




| * | |||||
|---|---|---|---|---|---|
| 1 | 100 |
| Parameters | p | ||||
|---|---|---|---|---|---|
| GRB 170817A | 2.21 | ||||
| GRB 190114C | 2.28 |
Disclaimer/Publisher’s Note: The statements, opinions and data contained in all publications are solely those of the individual author(s) and contributor(s) and not of MDPI and/or the editor(s). MDPI and/or the editor(s) disclaim responsibility for any injury to people or property resulting from any ideas, methods, instructions or products referred to in the content. |
© 2024 by the authors. Licensee MDPI, Basel, Switzerland. This article is an open access article distributed under the terms and conditions of the Creative Commons Attribution (CC BY) license (https://creativecommons.org/licenses/by/4.0/).
Share and Cite
do Espírito Santo Pedreira, A.C.C.; Fraija, N.; Galván-Gámez, A.; Betancourt Kamenetskaia, B.; Dichiara, S.; Dainotti, M.G.; Becerra, R.L.; Veres, P. Polarization from a Radially Stratified GRB Outflow. Galaxies 2024, 12, 60. https://doi.org/10.3390/galaxies12050060
do Espírito Santo Pedreira ACC, Fraija N, Galván-Gámez A, Betancourt Kamenetskaia B, Dichiara S, Dainotti MG, Becerra RL, Veres P. Polarization from a Radially Stratified GRB Outflow. Galaxies. 2024; 12(5):60. https://doi.org/10.3390/galaxies12050060
Chicago/Turabian Styledo Espírito Santo Pedreira, Augusto César Caligula, Nissim Fraija, Antonio Galván-Gámez, Boris Betancourt Kamenetskaia, Simone Dichiara, Maria G. Dainotti, Rosa L. Becerra, and Peter Veres. 2024. "Polarization from a Radially Stratified GRB Outflow" Galaxies 12, no. 5: 60. https://doi.org/10.3390/galaxies12050060
APA Styledo Espírito Santo Pedreira, A. C. C., Fraija, N., Galván-Gámez, A., Betancourt Kamenetskaia, B., Dichiara, S., Dainotti, M. G., Becerra, R. L., & Veres, P. (2024). Polarization from a Radially Stratified GRB Outflow. Galaxies, 12(5), 60. https://doi.org/10.3390/galaxies12050060

