New Insight into the FS CMa System MWC 645 from Near-Infrared and Optical Spectroscopy
Abstract
1. Introduction
2. Observations
2.1. Near-Infrared Spectra
2.2. Complementary Data
3. Analysis of the IR Data
Co Absorption Bands
4. Analysis of the Optical Data
4.1. Photometric Light Curve
4.2. Spectroscopic Data
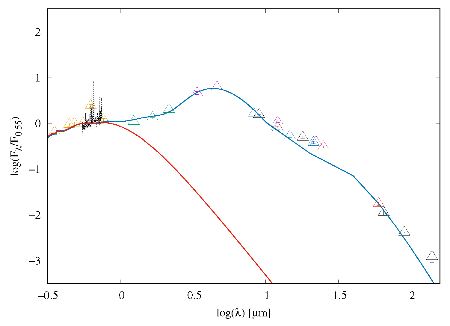
4.3. Global Properties of the Circumstellar Material

5. Discussion
6. Conclusions
Author Contributions
Funding
Institutional Review Board Statement
Informed Consent Statement
Data Availability Statement
Acknowledgments
Conflicts of Interest
Abbreviations
| CS | Circumstellar |
| CCD | Charged-coupled device |
| EW | Equivalent width |
| V | Blue peak intensity |
| R | Red peak intensity |
| V/R | Blue-to-red emission peak ratio |
| FWHM | Full width at half maximum |
| HJD | Heliocentric Julian date |
| IR | Infrared |
| SED | Spectral energy distribution |
References
- Allen, D.A.; Swings, J.P. The spectra of peculiar Be star with infrared excesses. Astron. Astrophys. 1976, 47, 293–302. [Google Scholar]
- Lamers, H.J.G.L.M.; Zickgraf, F.J.; de Winter, D.; Houziaux, L.; Zorec, J. An improved classification of B[e]-type stars. Astron. Astrophys. 1998, 340, 117–128. [Google Scholar]
- Miroshnichenko, A.S. Toward Understanding the B[e] Phenomenon. I. Definition of the Galactic FS CMa Stars. Astrophys. J. 2007, 667, 497–504. [Google Scholar] [CrossRef]
- Korčáková, D.; Sestito, F.; Manset, N.; Kroupa, P.; Votruba, V.; Šlechta, M.; Danford, S.; Dvořáková, N.; Raj, A.; Chojnowski, S.D.; et al. First detection of a magnetic field in low-luminosity B[e] stars. New scenarios for the nature and evolutionary stages of FS CMa stars. Astron. Astrophys. 2022, 659, A35. [Google Scholar] [CrossRef]
- Kuratova, A.K.; Miroshnichenko, A.S.; Zharikov, S.V.; Manset, N.; Khokhlov, S.A.; Raj, A.; Kusakin, A.V.; Reva, I.V.; Kokumbaeva, R.I.; Usenko, I.A.; et al. Spectroscopic Monitoring of the B[E] Objects Fscma and MOCAM. Odessa Astron. Publ. 2019, 32, 63. [Google Scholar] [CrossRef]
- Miroshnichenko, A.S.; Manset, N.; Kusakin, A.V.; Chentsov, E.L.; Klochkova, V.G.; Zharikov, S.V.; Gray, R.O.; Grankin, K.N.; Gandet, T.L.; Bjorkman, K.S.; et al. Toward Understanding the B[e] Phenomenon. II. New Galactic FS CMa Stars. Astrophys. J. 2007, 671, 828–841. [Google Scholar] [CrossRef]
- Miroshnichenko, A.S.; Chentsov, E.L.; Klochkova, V.G.; Zharikov, S.V.; Grankin, K.N.; Kusakin, A.V.; Gandet, T.L.; Klingenberg, G.; Kildahl, S.; Rudy, R.J.; et al. Toward Understanding the B[e] Phenomenon. III. Properties of the Optical Counterpart of IRAS 00470+6429. Astrophys. J. 2009, 700, 209–220. [Google Scholar] [CrossRef][Green Version]
- Vink, J.S.; de Koter, A.; Lamers, H.J.G.L.M. Mass-loss predictions for O and B stars as a function of metallicity. Astron. Astrophys. 2001, 369, 574–588. [Google Scholar] [CrossRef]
- Carciofi, A.C.; Miroshnichenko, A.S.; Bjorkman, J.E. Toward Understanding the B[e] Phenomenon. IV. Modeling of IRAS 00470+6429. Astrophys. J. 2010, 721, 1079–1089. [Google Scholar] [CrossRef]
- Korčáková, D.; Miroshnichenko, A.S.; Zharikov, S.V.; Manset, N.; Danford, S.; Votruba, V.; Dvořáková, N. Mystery of lithium in FS CMa stars. Mem. Soc. Astron. Ital. 2020, 91, 118. [Google Scholar]
- Miroshnichenko, A.S.; Zharikov, S.V.; Manset, N.; Khokhlov, S.A.; Nodyarov, A.S.; Klochkova, V.G.; Danford, S.; Kuratova, A.K.; Mennickent, R.; Chojnowski, S.D.; et al. Recent Progress in Finding Binary Systems with the B[e] Phenomenon. Galaxies 2023, 11, 36. [Google Scholar] [CrossRef]
- Merrill, P.W.; Burwell, C.G. No. 682. Supplement to the Mount Wilson catalogue and bibliography of stars of classes B and A whose spectra have bright hydrogen lines. Contrib. Mt. Wilson Obs. Carnegie Inst. Wash. 1943, 682, 1–32. [Google Scholar]
- Swings, J.P.; Allen, D.A. MWC 645 and MWC 819: Two Stars Resembling Eta Carinae. Astrophys. Lett. 1973, 14, 65. [Google Scholar]
- Gottlieb, E.W.; Liller, W. Photometric histories of six infrared objects and three highly reddened blue supergiants. Astrophys. J. 1978, 225, 488–495. [Google Scholar] [CrossRef]
- Jaschek, M.; Andrillat, Y.; Jaschek, C. B[e] stars. III. MWC 645. Astron. Astrophys. Suppl. 1996, 120, 99–105. [Google Scholar] [CrossRef]
- Landaberry, S.J.C.; Pereira, C.B.; de Araújo, F.X. The eta Carinae spectrum of SS73 11 (=Ve 2–27). Astron. Astrophys. 2001, 376, 917–927. [Google Scholar] [CrossRef]
- Zickgraf, F.J. Kinematical structure of the circumstellar environments of galactic B[e] -type stars. Astron. Astrophys. 2003, 408, 257–285. [Google Scholar] [CrossRef]
- Marston, A.P.; McCollum, B. Extended shells around B[e] stars. Implications for B[e] star evolution. Astron. Astrophys. 2008, 477, 193–202. [Google Scholar] [CrossRef]
- Nodyarov, A.S.; Miroshnichenko, A.S.; Khokhlov, S.A.; Zharikov, S.V.; Manset, N.; Klochkova, V.G.; Usenko, I.A. High-Resolution Spectroscopy of the B[e] Star MWC 645. Odessa Astron. Publ. 2021, 34, 59. [Google Scholar] [CrossRef]
- Nodyarov, A.S.; Miroshnichenko, A.S.; Khokhlov, S.A.; Zharikov, S.V.; Manset, N.; Klochkova, V.G.; Grankin, K.N.; Arkharov, A.A.; Efimova, N.; Klimanov, S.; et al. Toward Understanding the B[e] Phenomenon. IX. Nature and Binarity of MWC645. Astrophys. J. 2022, 936, 129. [Google Scholar] [CrossRef]
- Elias, J.H.; Joyce, R.R.; Liang, M.; Muller, G.P.; Hileman, E.A.; George, J.R. Design of the Gemini near-infrared spectrograph. In Proceedings of the Ground-Based and Airborne Instrumentation for Astronomy, Orlando, FL, USA, 24–31 May 2006, Society of Photo-Optical Instrumentation Engineers (SPIE) Conference Series; McLean, I.S., Iye, M., Eds.; SPIE, 2006; Volume 6269, p. 62694C. [Google Scholar] [CrossRef]
- Slechta, M.; Skoda, P. 2-meter telescope devices: Coudé slit spectrograph and HEROS. Publ. Astron. Inst. Czechoslov. Acad. Sci. 2002, 90, 1–4. [Google Scholar]
- Neiner, C.; de Batz, B.; Cochard, F.; Floquet, M.; Mekkas, A.; Desnoux, V. The Be Star Spectra (BeSS) Database. Astron. J. 2011, 142, 149. [Google Scholar] [CrossRef]
- Shappee, B.; Prieto, J.; Stanek, K.Z.; Kochanek, C.S.; Holoien, T.; Jencson, J.; Basu, U.; Beacom, J.F.; Szczygiel, D.; Pojmanski, G.; et al. All Sky Automated Survey for SuperNovae (ASAS-SN or “Assassin”). In Proceedings of the American Astronomical Society Meeting, Washington, DC, USA, 5–9 January 2014; p. 236.03. [Google Scholar]
- Kochanek, C.S.; Shappee, B.J.; Stanek, K.Z.; Holoien, T.W.S.; Thompson, T.A.; Prieto, J.L.; Dong, S.; Shields, J.V.; Will, D.; Britt, C.; et al. The All-Sky Automated Survey for Supernovae (ASAS-SN) Light Curve Server v1.0. Publ. ASP 2017, 129, 104502. [Google Scholar] [CrossRef]
- Kramida, A.; Ralchenko, Y.; Reader, J. ; NIST ASD Team. NIST Atomic Spectra Database (Ver. 5.10); National Institute of Standards and Technology: Gaithersburg, MD, USA, 2022. Available online: https://physics.nist.gov/asd (accessed on 20 May 2023).
- Kleinmann, S.G.; Hall, D.N.B. Spectra of Late-Type Standard Stars in the Region 2.0–2.5 Microns. Astrophys. J. Suppl. 1986, 62, 501. [Google Scholar] [CrossRef]
- Mármol-Queraltó, E.; Cardiel, N.; Cenarro, A.J.; Vazdekis, A.; Gorgas, J.; Pedraz, S.; Peletier, R.F.; Sánchez-Blázquez, P. A new stellar library in the region of the CO index at 2.3 μm. New index definition and empirical fitting functions. Astron. Astrophys. 2008, 489, 885–909. [Google Scholar] [CrossRef]
- Ali, B.; Carr, J.S.; Depoy, D.L.; Frogel, J.A.; Sellgren, K. Medium-Resolution Near-Infrared (2.15-2.35 micron) Spectroscopy of Late-Type Main-Sequence Stars. Astron. J. 1995, 110, 2415. [Google Scholar] [CrossRef]
- Cushing, M.C.; Rayner, J.T.; Vacca, W.D. An Infrared Spectroscopic Sequence of M, L, and T Dwarfs. Astrophys. J. 2005, 623, 1115–1140. [Google Scholar] [CrossRef]
- Rayner, J.T.; Cushing, M.C.; Vacca, W.D. The Infrared Telescope Facility (IRTF) Spectral Library: Cool Stars. Astrophys. J. Suppl. 2009, 185, 289–432. [Google Scholar] [CrossRef]
- Wallace, L.; Hinkle, K. Medium-Resolution Spectra of Normal Stars in the K Band. Astrophys. J. Suppl. 1997, 111, 445–458. [Google Scholar] [CrossRef]
- Heras, A.M.; Shipman, R.F.; Price, S.D.; de Graauw, T.; Walker, H.J.; Jourdain de Muizon, M.; Kessler, M.F.; Prusti, T.; Decin, L.; Vandenbussche, B.; et al. Infrared spectral classification of normal stars. Astron. Astrophys. 2002, 394, 539–552. [Google Scholar] [CrossRef]
- Winge, C.; Riffel, R.A.; Storchi-Bergmann, T. The Gemini Spectral Library of Near-IR Late-Type Stellar Templates and Its Application for Velocity Dispersion Measurements. Astrophys. J. Suppl. 2009, 185, 186–197. [Google Scholar] [CrossRef]
- Marchiano, P.E.; Cidale, L.S.; Brandi, E.; Muratore, M.F. Spectral Energy Distribution in the symbiotic system BI Cru. Bol. Asoc. Argent. Astron. Plata Argent. 2013, 56, 163–166. [Google Scholar]
- Arias, M.L.; Cidale, L.S.; Kraus, M.; Torres, A.F.; Aidelman, Y.; Zorec, J.; Granada, A. Near-infrared Spectra of a Sample of Galactic Unclassified B[e] Stars. Publ. ASP 2018, 130, 114201. [Google Scholar] [CrossRef]
- Zorec, J. Distances, Kinematics and Distribution of B[e] Stars in Our Galaxy. In Proceedings of the B[e] Stars, Astrophysics and Space Science Library; Hubert, A.M., Jaschek, C., Eds.; Springer: Dordrecht, The Netherlands, 1998; Volume 233, p. 27. [Google Scholar] [CrossRef]
- Muratore, M.F.; Kraus, M.; Liermann, A.; Schnurr, O.; Cidale, L.S.; Arias, M.L. Unveiling the evolutionary phase of B[e] supergiants. Bol. Asoc. Argent. Astron. Plata Argent. 2010, 53, 123–126. [Google Scholar]
- Cardelli, J.A.; Clayton, G.C.; Mathis, J.S. The Relationship between Infrared, Optical, and Ultraviolet Extinction. Astrophys. J. 1989, 345, 245. [Google Scholar] [CrossRef]
- Lamers, H.J.G.L.M.; Cassinelli, J.P. Introduction to Stellar Winds; Cambridge University Press: Cambridge, UK, 1999. [Google Scholar]
- Kurucz, R.L. Model atmospheres for G, F, A, B, and O stars. Astrophys. J. Suppl. 1979, 40, 1–340. [Google Scholar] [CrossRef]
- Skrutskie, M.F.; Cutri, R.M.; Stiening, R.; Weinberg, M.D.; Schneider, S.; Carpenter, J.M.; Beichman, C.; Capps, R.; Chester, T.; Elias, J.; et al. The Two Micron All Sky Survey (2MASS). Astron. J. 2006, 131, 1163–1183. [Google Scholar] [CrossRef]
- Wright, E.L.; Eisenhardt, P.R.M.; Mainzer, A.K.; Ressler, M.E.; Cutri, R.M.; Jarrett, T.; Kirkpatrick, J.D.; Padgett, D.; McMillan, R.S.; Skrutskie, M.; et al. The Wide-field Infrared Survey Explorer (WISE): Mission Description and Initial On-orbit Performance. Astron. J. 2010, 140, 1868–1881. [Google Scholar] [CrossRef]
- Egan, M.P.; Price, S.D.; Kraemer, K.E. The Midcourse Space Experiment Point Source Catalog Version 2.3. Proc. Am. Astron. Soc. Meet. Abstr. 2003, 203, 1301. [Google Scholar]
- Neugebauer, G.; Beichman, C.A.; Soifer, B.T.; Aumann, H.H.; Chester, T.J.; Gautier, T.N.; Gillett, F.C.; Hauser, M.G.; Houck, J.R.; Lonsdale, C.J.; et al. Early Results from the Infrared Astronomical Satellite. Science 1984, 224, 14–21. [Google Scholar] [CrossRef]
- Yamamura, I. The AKARI Far-Infrared Bright Source Catalogue. In Proceedings of the 38th COSPAR Scientific Assembly, Bremen, Germany, 18–25 July 2010; Volume 38, p. 2. [Google Scholar]
- Clark, J.S.; Steele, I.A. A representative sample of Be stars. II. K band spectroscopy. Astron. Astrophys. Suppl. 2000, 141, 65–77. [Google Scholar] [CrossRef][Green Version]
- Steele, I.A.; Clark, J.S. A representative sample of Be stars III: H band spectroscopy. Astron. Astrophys. 2001, 371, 643–651. [Google Scholar] [CrossRef][Green Version]
- Popper, D.M. Stellar masses. Annu. Rev. Astron Astrophys. 1980, 18, 115–164. [Google Scholar] [CrossRef]
- Kovtyukh, V.V. High-precision effective temperatures of 161 FGK supergiants from line-depth ratios. Mon. Not. RAS 2007, 378, 617–624. [Google Scholar] [CrossRef]
- Gorlova, N.; Lobel, A.; Burgasser, A.J.; Rieke, G.H.; Ilyin, I.; Stauffer, J.R. On the CO Near-Infrared Band and the Line-splitting Phenomenon in the Yellow Hypergiant ρ Cassiopeiae. Astrophys. J. 2006, 651, 1130–1150. [Google Scholar] [CrossRef][Green Version]
- Geballe, T.R.; Rushton, M.T.; Eyres, S.P.S.; Evans, A.; van Loon, J.T.; Smalley, B. Infrared spectroscopy of carbon monoxide in V838 Monocerotis during 2002–2006. Astron. Astrophys. 2007, 467, 269–275. [Google Scholar] [CrossRef]
- Kraus, M.; Kolka, I.; Aret, A.; Nickeler, D.H.; Maravelias, G.; Eenmäe, T.; Lobel, A.; Klochkova, V.G. A new outburst of the yellow hypergiant star ρ Cas. Mon. Not. RAS 2019, 483, 3792–3809. [Google Scholar] [CrossRef]
- Polster, J.; Korčáková, D.; Manset, N. Time-dependent spectral-feature variations of stars displaying the B[e] phenomenon. IV. V2028 Cygni: Modelling of Hα bisector variability. Astron. Astrophys. 2018, 617, A79. [Google Scholar] [CrossRef]
- Miroshnichenko, A.; Ivezić, Ž.; Elitzur, M. On Protostellar Disks in Herbig Ae/Be Stars. Astrophys. J. Lett. 1997, 475, L41–L44. [Google Scholar] [CrossRef]
- Herbst, W.; Shevchenko, V.S. A Photometric Catalog of Herbig AE/BE Stars and Discussion of the Nature and Cause of the Variations of UX Orionis Stars. Astron. J. 1999, 118, 1043–1060. [Google Scholar] [CrossRef]
- Bouvier, J.; Grankin, K.N.; Alencar, S.H.P.; Dougados, C.; Fernández, M.; Basri, G.; Batalha, C.; Guenther, E.; Ibrahimov, M.A.; Magakian, T.Y.; et al. Eclipses by circumstellar material in the T Tauri star AA Tau. II. Evidence for non-stationary magnetospheric accretion. Astron. Astrophys. 2003, 409, 169–192. [Google Scholar] [CrossRef]
- Hofmann, K.H.; Bensberg, A.; Schertl, D.; Weigelt, G.; Wolf, S.; Meilland, A.; Millour, F.; Waters, L.B.F.M.; Kraus, S.; Ohnaka, K.; et al. VLTI-MATISSE L- and N-band aperture-synthesis imaging of the unclassified B[e] star FS Canis Majoris. Astron. Astrophys. 2022, 658, A81. [Google Scholar] [CrossRef]
- Bartlett, E.S.; Clark, J.S.; Coe, M.J.; Garcia, M.R.; Uttley, P. Timing and spectral analysis of the unusual X-ray transient XTE J0421+560/CI Camelopardalis. Mon. Not. RAS 2013, 429, 1213–1220. [Google Scholar] [CrossRef]
- Okazaki, A.T. Long-Term V/R Variations of Be Stars Due to Global One-Armed Oscillations of Equatorial Disks. Publ. ASJ 1991, 43, 75–94. [Google Scholar]
- Kriz, S.; Harmanec, P. A Hypothesis of the Binary Origin of Be Stars. Bull. Astron. Institutes Czechoslov. 1975, 26, 65. [Google Scholar]
- Deschamps, R.; Braun, K.; Jorissen, A.; Siess, L.; Baes, M.; Camps, P. Non-conservative evolution in Algols: Where is the matter? Astron. Astrophys. 2015, 577, A55. [Google Scholar] [CrossRef]
- Brož, M.; Mourard, D.; Budaj, J.; Harmanec, P.; Schmitt, H.; Tallon-Bosc, I.; Bonneau, D.; Božić, H.; Gies, D.; Šlechta, M. Optically thin circumstellar medium in the β Lyr A system. Astron. Astrophys. 2021, 645, A51. [Google Scholar] [CrossRef]










| Observations | Spectral Range | Mean S/N Ratio |
|---|---|---|
| Program ID | [Å] | |
| GN-2017A-Q-62 | 22,570–24,400 | 200 |
| GN-2018A-Q-406 | 21,000–24,500 | 200 |
| GN-2018A-Q-406 | 15,800–18,200 | 100 |
| GN-2018A-Q-406 | 11,000–13,600 | 90 |
| GN-2018A-Q-406 | 8400–11,000 | 60 |
| GN-2022B-Q-225 | 33,311–36,446 | 200 |
| GN-2022B-Q-225 | 38,500–41,786 | 100 |
| Obs. Date | HJD-2450000 | Observatory | V | R | V/R | EW |
|---|---|---|---|---|---|---|
| (yyyy-mm-dd) | [Å] | |||||
| 2018-09-11 | 8373.3290 | Ondřejov | 118.4 | 452.0 | 0.26 | −1980.3 |
| 2018-09-12 | 8374.2823 | Ondřejov | 132.8 | 509.0 | 0.26 | −2122.8 |
| 2019-08-28 | 8724.3870 | BeSS 1 | 90.2 | 268.9 | 0.33 | −1132.2 |
| 2019-08-30 | 8726.4279 | BeSS 2 | 75.1 | 391.9 | 0.45 | −2130.7 |
| 2019-09-01 | 8728.4429 | BeSS | 95.7 | 283.9 | 0.34 | −1237.2 |
| 2019-09-02 | 8729.4419 | BeSS | 105.7 | 316.0 | 0.33 | −1291.7 |
| 2019-09-03 | 8730.4365 | BeSS | 101.5 | 306.1 | 0.33 | −1353.7 |
| 2019-09-05 | 8732.4433 | BeSS | 100.1 | 292.3 | 0.34 | −1147.3 |
| 2019-09-07 | 8734.3942 | BeSS | 109.7 | 323.5 | 0.34 | −1372.1 |
| 2019-09-10 | 8737.3883 | BeSS | 99.8 | 296.0 | 0.34 | −1292.5 |
| 2019-09-11 | 8738.3925 | BeSS | 132.3 | 397.1 | 0.33 | −1642.3 |
| 2019-09-14 | 8741.4241 | BeSS | 110.5 | 330.9 | 0.33 | −1348.1 |
| 2019-09-19 | 8746.3989 | BeSS | 100.5 | 297.7 | 0.34 | −1129.5 |
| 2019-09-20 | 8747.3862 | BeSS | 103.1 | 304.3 | 0.34 | −1264.6 |
| 2019-09-24 | 8751.3722 | BeSS | 109.1 | 326.1 | 0.33 | −1283.5 |
| 2020-06-25 | 9025.5535 | BeSS | 94.1 | 223.7 | 0.42 | −933.8 |
| 2020-07-12 | 9043.5126 | BeSS | 127.4 | 264.8 | 0.48 | −1216.8 |
| 2021-11-01 | 9520.3161 | Tartu | — | — | — | — |
| 2022-07-26 | 9787.5322 | BeSS | 47.3 | 195.6 | 0.24 | −718.2 |
| 2022-12-09 | 9923.2775 | BeSS | 100.5 | 321.2 | 0.31 | −1392.3 |
Disclaimer/Publisher’s Note: The statements, opinions and data contained in all publications are solely those of the individual author(s) and contributor(s) and not of MDPI and/or the editor(s). MDPI and/or the editor(s) disclaim responsibility for any injury to people or property resulting from any ideas, methods, instructions or products referred to in the content. |
© 2023 by the authors. Licensee MDPI, Basel, Switzerland. This article is an open access article distributed under the terms and conditions of the Creative Commons Attribution (CC BY) license (https://creativecommons.org/licenses/by/4.0/).
Share and Cite
Torres, A.F.; Arias, M.L.; Kraus, M.; Mercanti, L.V.; Eenmäe, T. New Insight into the FS CMa System MWC 645 from Near-Infrared and Optical Spectroscopy. Galaxies 2023, 11, 72. https://doi.org/10.3390/galaxies11030072
Torres AF, Arias ML, Kraus M, Mercanti LV, Eenmäe T. New Insight into the FS CMa System MWC 645 from Near-Infrared and Optical Spectroscopy. Galaxies. 2023; 11(3):72. https://doi.org/10.3390/galaxies11030072
Chicago/Turabian StyleTorres, Andrea Fabiana, María Laura Arias, Michaela Kraus, Lorena Verónica Mercanti, and Tõnis Eenmäe. 2023. "New Insight into the FS CMa System MWC 645 from Near-Infrared and Optical Spectroscopy" Galaxies 11, no. 3: 72. https://doi.org/10.3390/galaxies11030072
APA StyleTorres, A. F., Arias, M. L., Kraus, M., Mercanti, L. V., & Eenmäe, T. (2023). New Insight into the FS CMa System MWC 645 from Near-Infrared and Optical Spectroscopy. Galaxies, 11(3), 72. https://doi.org/10.3390/galaxies11030072

