Detector Characterization and Mitigation of Noise in Ground-Based Gravitational-Wave Interferometers
Abstract
1. Introduction

2. Characterizing Gravitational-Wave Detector Instrumentation
2.1. Subsystem Characterization
2.2. Diagnosing and Mitigating Transient Noise
2.3. Diagnosing and Mitigating Persistent Noise
3. Gravitational-Wave Data Quality
3.1. Data Quality Impacts on Searches for Transient Gravitational-Waves

3.2. Data Quality Impacts on Searches for Persistent Gravitational Waves
4. Event Validation
4.1. Validation of Transient Sources of Gravitational Waves
4.2. Validation of Persistent Sources of Gravitational Waves
5. Noise Mitigation
5.1. Noise Subtraction
5.2. Glitch Subtraction
5.3. Gating and Inpainting
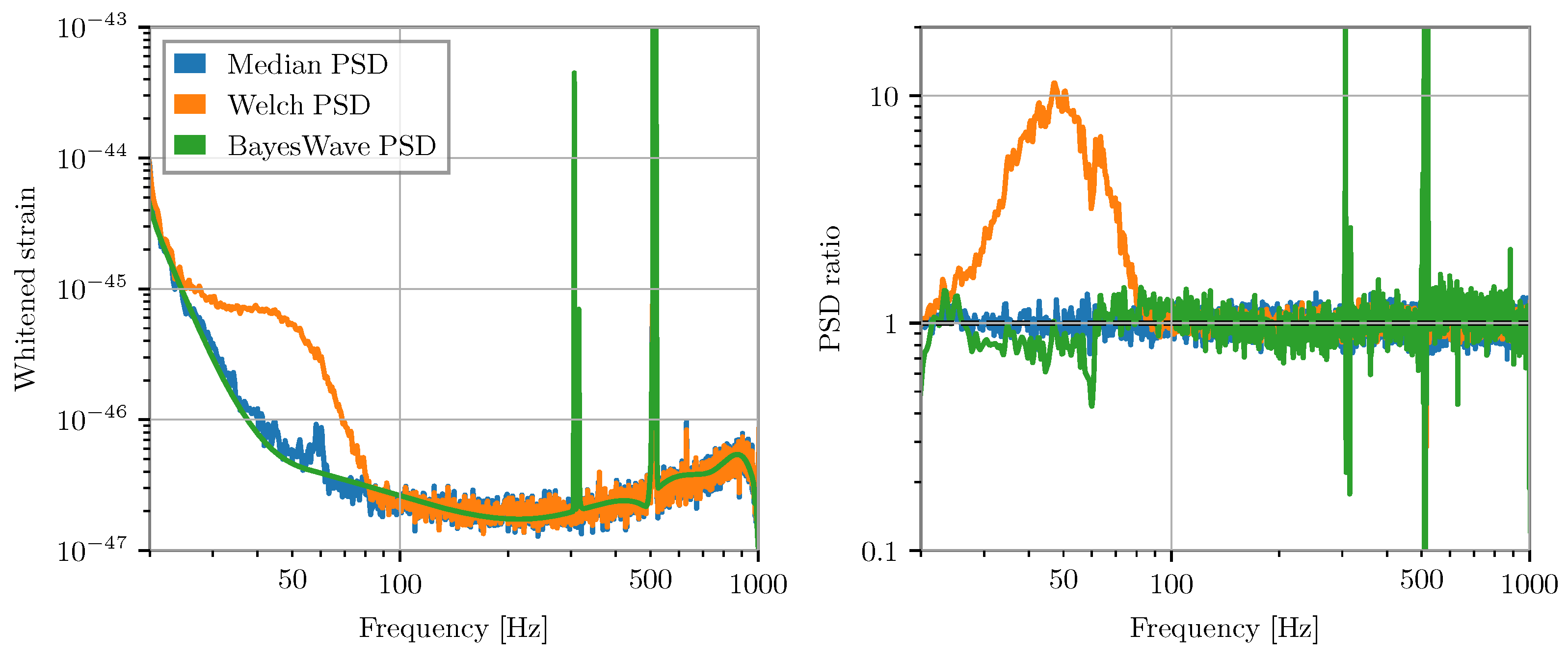
5.4. Spectral Estimation Methods in the Presence of Non-Gaussian Noise

6. Ongoing Developments
Author Contributions
Funding
Institutional Review Board Statement
Informed Consent Statement
Data Availability Statement
Acknowledgments
Conflicts of Interest
Abbreviations
| LIGO | Laser Interferometer Gravitational-wave Observatory | 
| LHO | LIGO Hanford Observatory | 
| LLO | LIGO Livingston Observatory | 
| KAGRA | Kamioka Gravitational Wave Detector | 
| LISA | Laser Interferometer Space Antenna | 
| LVC | LIGO-Virgo Collaboration | 
| GWOSC | Gravitational-Wave Open Science Center | 
| O1 | Observing Run 1 | 
| O2 | Observing Run 2 | 
| O3 | Observing Run 3 | 
| GW | Gravitational Wave | 
| SNR | Signal-to-Noise Ratio | 
| BNS | Binary Neutron Star | 
| CBC | Compact Binary Coalescence | 
| IMBH | Intermediate-Mass Black Hole | 
| GR | General Relativity | 
| ASD | Amplitude Spectral Density | 
| PSD | Power Spectral Density | 
| PEM | Physical Environment Monitoring | 
| DMT | Data Monitoring Tool | 
| UPV | Used Percentage Veto | 
| HVeto | Hierarchical Veto | 
| NoEMi | Noise frequency Event Miner | 
| GstLAL | Gstreamer and the LIGO Algorithm Library search pipeline | 
| MBTA | Multi-Band Template Analysis search pipeline | 
| PyGRB | Python-based Gamma Ray Burst search pipeline | 
| SPIIR | Summed Parallel Infinite Impulse Response search pipeline | 
| cWB | Coherent WaveBurst search pipeline | 
References
- Aasi, J.; Abbott, B.P.; Abbott, R.; Abbott, T.; Abernathy, M.R.; Ackley, K.; Adams, C.; Adams, T.; Addesso, P.; Adhikari, R.X.; et al. Advanced LIGO. Class. Quantum Gravity 2015, 32, 074001. [Google Scholar] [CrossRef]
- Acernese, F.; Agathos, M.; Agatsuma, K.; Aisa, D.; Allemandou, N.; Allocca, A.; Amarni, J.; Astone, P.; Balestri, G.; Ballardin, G.; et al. Advanced Virgo: A second-generation interferometric gravitational wave detector. Class. Quantum Gravity 2015, 32, 024001. [Google Scholar] [CrossRef]
- Abbott, B.P.; Abbott, R.; Abbott, T.D.; Abernathy, M.R.; Acernese, F.; Ackley, K.; Adams, C.; Adams, T.; Addesso, P.; Adhikari, R.X.; et al. Observation of Gravitational Waves from a Binary Black Hole Merger. Phys. Rev. Lett. 2016, 116, 061102. [Google Scholar] [CrossRef] [PubMed]
- Abbott, B.P.; Abbott, R.; Abbott, T.D.; Abraham, S.; Acernese, F.; Ackley, K.; Adams, C.; Adhikari, R.X.; Adya, V.B.; Affeldt, C.; et al. GWTC-1: A Gravitational-Wave Transient Catalog of Compact Binary Mergers Observed by LIGO and Virgo during the First and Second Observing Runs. Phys. Rev. X 2019, 9, 031040. [Google Scholar] [CrossRef]
- Abbott, R.; Abbott, T.D.; Abraham, S.; Acernese, F.; Ackley, K.; Adams, A.; Adams, C.; Adhikari, R.X.; Adya, V.B.; Affeldt, C.; et al. GWTC-2: Compact Binary Coalescences Observed by LIGO and Virgo During the First Half of the Third Observing Run. Phys. Rev. X 2021, 11, 021053. [Google Scholar] [CrossRef]
- Abbott, R.; Abbott, T.D.; Acernese, F.; Ackley, K.; Adams, C.; Adhikari, N.; Adhikari, R.X.; Adya, V.B.; Affeldt, C.; Agarwal, D.; et al. GWTC-2.1: Deep Extended Catalog of Compact Binary Coalescences Observed by LIGO and Virgo during the First Half of the Third Observing Run. Available online: https://arxiv.org/abs/2108.01045 (accessed on 17 December 2021).
- Abbott, R.; Abbott, T.D.; Acernese, F.; Ackley, K.; Adams, C.; Adhikari, N.; Adhikari, R.X.; Adya, V.B.; Affeldt, C.; Agarwal, D.; et al. GWTC-3: Compact Binary Coalescences Observed by LIGO and Virgo during the Second Part of the Third Observing Run. Available online: https://arxiv.org/abs/2111.03606 (accessed on 17 December 2021).
- Abbott, R.; Abbott, T.D.; Acernese, F.; Ackley, K.; Adams, C.; Adhikari, N.; Adhikari, R.X.; Adya, V.B.; Affeldt, C.; Agarwal, D.; et al. The Population of Merging Compact Binaries Inferred Using Gravitational Waves through GWTC-3. Available online: https://arxiv.org/abs/2111.03634 (accessed on 17 December 2021).
- Abbott, B.P.; Abbott, R.; Abbott, T.D.; Acernese, F.; Ackley, K.; Adams, C.; Adams, T.; Addesso, P.; Adhikari, R.X.; Adya, V.B.; et al. GW170817: Observation of Gravitational Waves from a Binary Neutron Star Inspiral. Phys. Rev. Lett. 2017, 119, 161101. [Google Scholar] [CrossRef]
- Abbott, R.; Abbott, T.D.; Abraham, S.; Acernese, F.; Ackley, K.; Adams, A.; Adams, C.; Adhikari, R.X.; Adya, V.B.; Affeldt, C.; et al. Tests of general relativity with binary black holes from the second LIGO-Virgo gravitational-wave transient catalog. Phys. Rev. D 2021, 103, 122002. [Google Scholar] [CrossRef]
- Abbott, R.; Abbott, T.D.; Abraham, S.; Acernese, F.; Ackley, K.; Adams, C.; Adhikari, R.X.; Adya, V.B.; Affeldt, C.; Agathos, M.; et al. GW190521: A Binary Black Hole Merger with a Total Mass of 150 M⊙. Phys. Rev. Lett. 2020, 125, 101102. [Google Scholar] [CrossRef]
- Abbott, R.; Abbott, T.D.; Abraham, S.; Acernese, F.; Ackley, K.; Adams, C.; Adhikari, R.X.; Adya, V.B.; Affeldt, C.; Agathos, M.; et al. GW190814: Gravitational Waves from the Coalescence of a 23 Solar Mass Black Hole with a 2.6 Solar Mass Compact Object. Astrophys. J. 2020, 896, L44. [Google Scholar] [CrossRef]
- Kötter, K.; Aulbert, C.; Babak, S.; Balasubramanian, R.; Berukoff, S.; Bose, S.; Churches, D.; Colacino, C.N.; Cutler, C.; Danzmann, K.; et al. Data acquisition and detector characterization of GEO600. Class. Quantum Gravity 2002, 19, 1399–1407. [Google Scholar] [CrossRef][Green Version]
- Blackburn, L.; Cadonati, L.; Caride, S.; Caudill, S.; Chatterji, S.; Christensen, N.; Dalrymple, J.; Desai, S.; Di Credico, A.; Ely, G.; et al. The LSC Glitch Group: Monitoring Noise Transients during the fifth LIGO Science Run. Class. Quantum Gravity 2008, 25, 184004. [Google Scholar] [CrossRef]
- Aasi, J.; Abadie, J.; Abbott, B.P.; Abbott, R.; Abbott, T.D.; Abernathy, M.; Accadia, T.; Acernese, F.; Adams, C.; Adams, T.; et al. The characterization of Virgo data and its impact on gravitational-wave searches. Class. Quantum Gravity 2012, 29, 155002. [Google Scholar] [CrossRef]
- Nuttall, L.K.; Massinger, T.J.; Areeda, J.; Betzwieser, J.; Dwyer, S.; Effler, A.; Fisher, R.P.; Fritschel, P.; Kissel, J.S.; Lundgren, A.P.; et al. Improving the Data Quality of Advanced LIGO Based on Early Engineering Run Results. Class. Quantum Gravity 2015, 32, 245005. [Google Scholar] [CrossRef]
- Abbott, B.P.; Abbott, R.; Abbott, T.D.; Abernathy, M.R.; Acernese, F.; Ackley, K.; Adamo, M.; Adams, C.; Adams, T.; Addesso, P.; et al. Characterization of transient noise in Advanced LIGO relevant to gravitational wave signal GW150914. Class. Quantum Gravity 2016, 33, 134001. [Google Scholar] [CrossRef] [PubMed]
- Davis, D.; Areeda, J.S.; Berger, B.K.; Bruntz, R.; Effler, A.; Essick, R.C.; Fisher, R.P.; Godwin, P.; Goetz, E.; Helmling-Cornell, A.F.; et al. LIGO detector characterization in the second and third observing runs. Class. Quantum Gravity 2021, 38, 135014. [Google Scholar] [CrossRef]
- Akutsu, T.; Ando, M.; Arai, K.; Arai, Y.; Araki, S.; Araya, A.; Aritomi, N.; Asada, H.; Aso, Y.; Bae, S.; et al. Overview of KAGRA: Calibration, Detector Characterization, Physical Environmental Monitors, and the Geophysics Interferometer. Available online: https://arxiv.org/abs/2009.09305 (accessed on 17 December 2021).
- Grote, H. The GEO 600 status. Class. Quantum Gravity 2010, 27, 084003. [Google Scholar] [CrossRef]
- Akutsu, T.; Ando, M.; Arai, K.; Arai, Y.; Araki, S.; Araya, A.; Aritomi, N.; Asada, H.; Aso, Y.; Atsuta, S.; et al. KAGRA: 2.5 Generation Interferometric Gravitational Wave Detector. Nat. Astron. 2019, 3, 35–40. [Google Scholar] [CrossRef]
- Iyer, B.; Souradeep, T.; Unnikrishnan, C.S.; Dhurandhar, S.; Raja, S.; Sengupta, A. LIGO-India, Proposal of the Consortium for Indian Initiative in Gravitational-Wave Observations (IndIGO). Available online: https://dcc.ligo.org/LIGO-M1100296/public (accessed on 17 December 2021).
- Abbott, R.; Abbott, T.D.; Abraham, S.; Acernese, F.; Ackley, K.; Adams, C.; Adhikari, R.X.; Adya, V.B.; Affeldt, C.; Agathos, M.; et al. Open data from the first and second observing runs of Advanced LIGO and Advanced Virgo. SoftwareX 2021, 13, 100658. [Google Scholar] [CrossRef]
- Abbott, B.P.; Abbott, R.; Abbott, T.D.; Abraham, S.; Acernese, F.; Ackley, K.; Adams, C.; Adya, V.B.; Affeldt, C.; Agathos, M.; et al. A guide to LIGO–Virgo detector noise and extraction of transient gravitational-wave signals. Class. Quantum Gravity 2020, 37, 055002. [Google Scholar] [CrossRef]
- Nguyen, P.; Schofield, R.M.S.; Effler, A.; Austin, C.; Adya, V.; Ball, M.; Banagiri, S.; Banowetz, K.; Billman, C.; Blair, C.D.; et al. Environmental noise in advanced LIGO detectors. Class. Quantum Gravity 2021, 38, 145001. [Google Scholar] [CrossRef]
- Matichard, F.; Lantz, B.; Mittleman, R.; Mason, K.; Kissel, J.; Abbott, B.; Biscans, S.; McIver, J.; Abbott, R.; Abbott, S.; et al. Seismic isolation of Advanced LIGO: Review of strategy, instrumentation and performance. Class. Quantum Gravity 2015, 32, 185003. [Google Scholar] [CrossRef]
- Aston, S.M.; Barton, M.A.; Bell, A.S.; Beveridge, N.; Bland, B.; Brummitt, A.J.; Cagnoli, G.; Cantley, C.A.; Carbone, L.; Cumming, A.V.; et al. Update on quadruple suspension design for Advanced LIGO. Class. Quantum Gravity 2012, 29, 235004. [Google Scholar] [CrossRef]
- Walker, M.; Abbott, T.D.; Aston, S.M.; González, G.; Macleod, D.M.; McIver, J.; Abbott, B.P.; Abbott, R.; Adams, C.; Adhikari, R.X.; et al. Effects of transients in LIGO suspensions on searches for gravitational waves. Rev. Sci. Instrum. 2017, 88, 124501. [Google Scholar] [CrossRef]
- MacLeod, D.M.; Fairhurst, S.; Hughey, B.; Lundgren, A.P.; Pekowsky, L.; Rollins, J.; Smith, J.R. Reducing the effect of seismic noise in LIGO searches by targeted veto generation. Class. Quantum Gravity 2012, 29, 055006. [Google Scholar] [CrossRef]
- Nuttall, L.K. Characterizing transient noise in the LIGO detectors. Philos. Trans. R. Soc. Lond. Math. Phys. Eng. Sci. 2018, 376, 20170286. [Google Scholar] [CrossRef] [PubMed]
- Berger, B.K. Identification and mitigation of Advanced LIGO noise sources. J. Phys. Conf. Ser. 2018, 957, 012004. [Google Scholar] [CrossRef]
- McIver, J.; Massinger, T.J.; Robinet, F.; Smith, J.R.; Walker, M. Diagnostic methods for gravitational-wave detectors. In ADVANCED INTERFEROMETRIC GRAVITATIONAL-WAVE DETECTORS: Volume I: Essentials of Gravitational-Wave Detectors; World Scientific: Singapore, 2019; pp. 373–392. [Google Scholar]
- Macleod, D.; Urban, A.L.; Isi, M.; Massinger, T.; Paulaltin; Pitkin, M.; Nitz, A. gwpy/gwsumm: 1.0.3. Available online: https://zenodo.org/record/3765457#.Yd9jUS-B1QI (accessed on 17 December 2021).
- Urban, A.L.; Macleod, D.; Anderson, S.; Baryoga, J. LIGO DetChar Summary Pages. Available online: https://summary.ligo.org (accessed on 17 December 2021).
- Robinet, F.; Arnaud, N.; Leroy, N.; Lundgren, A.; Macleod, D.; McIver, J. Omicron: A tool to characterize transient noise in gravitational-wave detectors. SoftwareX 2020, 12, 100620. [Google Scholar] [CrossRef]
- Macleod, D.; Urban, A.L. gwpy/pyomicron: 1.1.0. Available online: https://zenodo.org/record/3973543#.Yd9g0i-B1QI (accessed on 17 December 2021).
- Blackburn, L. KleineWelle Technical Document. Available online: https://dcc.ligo.org/LIGO-T060221/public (accessed on 17 December 2021).
- Abbott, B.P.; Abbott, R.; Abbott, T.D.; Abernathy, M.R.; Acernese, F.; Ackley, K.; Adams, C.; Adams, T.; Addesso, P.; Adhikari, R.X.; et al. Effects of data quality vetoes on a search for compact binary coalescences in Advanced LIGO’s first observing run. Class. Quantum Gravity 2018, 35, 065010. [Google Scholar] [CrossRef]
- Nitz, A.H.; Dal Canton, T.; Davis, D.; Reyes, S. Rapid detection of gravitational waves from compact binary mergers with PyCBC Live. Phys. Rev. D 2018, 98, 024050. [Google Scholar] [CrossRef]
- Gstreamer Plugins for the LSC Algorithm Library. 2016. Available online: https://www.lsc-group.phys.uwm.edu/daswg/projects/gstlal.html (accessed on 17 December 2021).
- Chatterji, S.; Blackburn, L.; Martin, G.; Katsavounidis, E. Multiresolution techniques for the detection of gravitational-wave bursts. Class. Quantum Gravity 2004, 21, S1809–S1818. [Google Scholar] [CrossRef]
- Chatterji, S. The Search For Gravitational Wave Bursts in Data from the Second LIGO Science Run. Ph.D. Thesis, Massachusetts Institute of Technology, Cambridge, MA, USA, 2005. [Google Scholar]
- Christensen, N.; Shawhan, P.; Gonzalez, G. Vetoes for inspiral triggers in LIGO data. Class. Quantum Gravity 2004, 21, S1747–S1756. [Google Scholar] [CrossRef]
- Robinet, F. Data quality in gravitational wave bursts and inspiral searches in the second Virgo Science Run. Class. Quantum Gravity 2010, 27, 194012. [Google Scholar] [CrossRef]
- Cabero, M.; Lundgren, A.; Nitz, A.H.; Dent, T.; Barker, D.; Goetz, E.; Kissel, J.S.; Nuttall, L.K.; Schale, P.; Schofield, R.; et al. Blip glitches in Advanced LIGO data. Class. Quantum Gravity 2019, 36, 155010. [Google Scholar] [CrossRef]
- Soni, S.; Austin, C.; Effler, A.; Schofield, R.M.S.; Gonzalez, G.; Frolov, V.V.; Driggers, J.C.; Pele, A.; Urban, A.L.; Valdes, G.; et al. Reducing scattered light in LIGO’s third observing run. Class. Quantum Gravity 2020, 38, 025016. [Google Scholar] [CrossRef]
- Zevin, M.; Coughlin, S.; Bahaadini, S.; Besler, E.; Rohani, N.; Allen, S.; Cabero, M.; Crowston, K.; Katsaggelos, A.K.; Larson, S.L.; et al. Gravity Spy: Integrating Advanced LIGO Detector Characterization, Machine Learning, and Citizen Science. Class. Quantum Gravity 2017, 34, 064003. [Google Scholar] [CrossRef] [PubMed]
- Coughlin, S.; Bahaadini, S.; Rohani, N.; Zevin, M.; Patane, O.; Harandi, M.; Jackson, C.; Noroozi, V.; Allen, S.; Areeda, J.; et al. Classifying the unknown: Discovering novel gravitational-wave detector glitches using similarity learning. Phys. Rev. D 2019, 99, 082002. [Google Scholar] [CrossRef]
- Soni, S.; Berry, C.P.L.; Coughlin, S.B.; Harandi, M.; Jackson, C.B.; Crowston, K.; Østerlund, C.; Patane, O.; Katsaggelos, A.K.; Trouille, L.; et al. Discovering features in gravitational-wave data through detector characterization, citizen science and machine learning. Class. Quantum Gravity 2021, 38, 195016. [Google Scholar] [CrossRef]
- Smith, J.R.; Abbott, T.; Hirose, E.; Leroy, N.; Macleod, D.; McIver, J.; Saulson, P.; Shawhan, P. A Hierarchical method for vetoing noise transients in gravitational-wave detectors. Class. Quantum Gravity 2011, 28, 235005. [Google Scholar] [CrossRef]
- Macleod, D.; Urban, A.L.; Smith, J.; Massinger, T. gwdetchar/hveto: 1.0.1. Available online: https://zenodo.org/record/3532131#.Yd9k3i-B1QI (accessed on 17 December 2021).
- Isogai, T. Used percentage veto for LIGO and virgo binary inspiral searches. J. Phys. Conf. Ser. 2010, 243, 012005. [Google Scholar] [CrossRef]
- Essick, R.; Godwin, P.; Hanna, C.; Blackburn, L.; Katsavounidis, E. iDQ: Statistical inference of non-gaussian noise with auxiliary degrees of freedom in gravitational-wave detectors. Mach. Learn. Sci. Technol. 2020, 2, 015004. [Google Scholar] [CrossRef]
- Valdes, G.; O’Reilly, B.; Diaz, M. A Hilbert–Huang transform method for scattering identification in LIGO. Class. Quantum Gravity 2017, 34, 235009. [Google Scholar] [CrossRef]
- Bianchi, S.; Longo, A.; Valdes, G.; González, G.; Plastino, W. Gwadaptive_scattering: An Automated Pipeline for Scattered Light Noise Characterization. Available online: https://arxiv.org/abs/2107.07565 (accessed on 17 December 2021).
- Valdes, G. Thunderstorms Identification Tool in LIGO. Available online: https://dcc.ligo.org/LIGO-T2000602/public (accessed on 17 December 2021).
- Valdes, G. Localizing Acoustic Noise Sources Affecting the Sensitivity of LIGO through Multilateration. Available online: https://dcc.ligo.org/LIGO-T2000618/public (accessed on 17 December 2021).
- Himemoto, Y.; Taruya, A. Correlated magnetic noise from anisotropic lightning sources and the detection of stochastic gravitational waves. Phys. Rev. D 2019, 100, 082001. [Google Scholar] [CrossRef]
- Washimi, T.; Yokozawa, T.; Nakano, M.; Tanaka, T.; Kaihotsu, K.; Mori, Y.; Narita, T. Effects of lightning strokes on underground gravitational waves observatories. JINST 2021, 16, P07033. [Google Scholar] [CrossRef]
- Effler, A.; Schofield, R.M.S.; Frolov, V.V.; Gonzalez, G.; Kawabe, K.; Smith, J.R.; Birch, J.; McCarthy, R. Environmental Influences on the LIGO Gravitational Wave Detectors during the 6th Science Run. Class. Quantum Gravity 2015, 32, 035017. [Google Scholar] [CrossRef]
- Fiori, I.; Paoletti, F.; Tringali, M.C.; Janssens, K.; Karathanasis, C.; Menéndez-Vázquez, A.; Romero-Rodríguez, A.; Sugimoto, R.; Washimi, T.; Boschi, V.; et al. The Hunt for Environmental Noise in Virgo during the Third Observing Run. Galaxies 2020, 8, 82. [Google Scholar] [CrossRef]
- Washimi, T.; Yokozawa, T.; Tanaka, T.; Itoh, Y.; Kume, J.; Yokoyama, J. Method for environmental noise estimation via injection tests for ground-based gravitational wave detectors. Class. Quantum Gravity 2021, 38, 125005. [Google Scholar] [CrossRef]
- LIGO Scientific Collaboration and Virgo Collaboration. O2 Data Release. Available online: https://www.gw-openscience.org/O2/ (accessed on 17 December 2021).
- Covas, P.B.; Effler, A.; Goetz, E.; Meyers, P.M.; Neunzert, A.; Oliver, M.; Pearlstone, B.L.; Roma, V.J.; Schofield, R.M.S.; Adya, V.B.; et al. Identification and mitigation of narrow spectral artifacts that degrade searches for persistent gravitational waves in the first two observing runs of Advanced LIGO. Phys. Rev. D 2018, 97, 082002. [Google Scholar] [CrossRef]
- Coughlin, M. Noise line identification in LIGO S6 and Virgo VSR2. J. Phys. Conf. Ser. 2010, 243, 012010. [Google Scholar] [CrossRef]
- Accadia, T.; Acernese, F.; Agathos, M.; Astone, P.; Ballardin, G.; Barone, F.; Barsuglia, M.; Basti, A.; Bauer, T.S.; Bebronne, M.; et al. The NoEMi (Noise Frequency Event Miner) framework. J. Phys. Conf. Ser. 2012, 363, 012037. [Google Scholar] [CrossRef]
- Walker, M.; Agnew, A.F.; Bidler, J.; Lundgren, A.; Macedo, A.; Macleod, D.; Massinger, T.; Patane, O.; Smith, J.R. Identifying correlations between LIGO’s astronomical range and auxiliary sensors using lasso regression. Class. Quantum Gravity 2018, 35, 225002. [Google Scholar] [CrossRef]
- Biscans, S.; Warner, J.; Mittleman, R.; Buchanan, C.; Coughlin, M.; Evans, M.; Gabbard, H.; Harms, J.; Lantz, B.; Mukund, N.; et al. Control strategy to limit duty cycle impact of earthquakes on the LIGO gravitational-wave detectors. Class. Quantum Gravity 2018, 35, 055004. [Google Scholar] [CrossRef]
- Biswas, A.; McIver, J.; Mahabal, A. New methods to assess and improve LIGO detector duty cycle. Class. Quantum Gravity 2020, 37, 175008. [Google Scholar] [CrossRef]
- Schwartz, E.; Pele, A.; Warner, J.; Lantz, B.; Betzwieser, J.; Dooley, K.L.; Biscans, S.; Coughlin, M.; Mukund, N.; Abbott, R.; et al. Improving the robustness of the advanced LIGO detectors to earthquakes. Class. Quantum Gravity 2020, 37, 235007. [Google Scholar] [CrossRef]
- Coughlin, M.W.; Cirone, A.; Meyers, P.; Atsuta, S.; Boschi, V.; Chincarini, A.; Christensen, N.L.; De Rosa, R.; Effler, A.; Fiori, I.; et al. Measurement and subtraction of Schumann resonances at gravitational-wave interferometers. Phys. Rev. D 2018, 97, 102007. [Google Scholar] [CrossRef]
- Ball, M.; Schofield, R.; Frey, R. Intersite Magnetic Signals from Lightning. Available online: https://dcc.ligo.org/LIGO-T2000634/public (accessed on 17 December 2021).
- Abbott, R.; Abbott, T.D.; Abraham, S.; Acernese, F.; Ackley, K.; Adams, A.; Adams, C.; Adhikari, R.X.; Adya, V.B.; Affeldt, C.; et al. Upper Limits on the Isotropic Gravitational-Wave Background from Advanced LIGO and Advanced Virgo’s Third Observing Run; Tests of general relativity with binary black holes from the second LIGO-Virgo gravitational-wave transient catalog. Phys. Rev. D 2021, 104, 022004. [Google Scholar] [CrossRef]
- Cirone, A.; Fiori, I.; Paoletti, F.; Perez, M.M.; Rodríguez, A.R.; Swinkels, B.L.; Vazquez, A.M.; Gemme, G.; Chincarini, A. Investigation of magnetic noise in Advanced Virgo. Class. Quantum Gravity 2019, 36, 225004. [Google Scholar] [CrossRef]
- Abbott, B.P.; Abbott, R.; Abbott, T.D.; Abraham, S.; Acernese, F.; Ackley, K.; Adams, C.; Adya, V.B.; Affeldt, C.; Agathos, M.; et al. Optically targeted search for gravitational waves emitted by core-collapse supernovae during the first and second observing runs of advanced LIGO and advanced Virgo. Phys. Rev. D 2020, 101, 084002. [Google Scholar] [CrossRef]
- Usman, S.A.; Nitz, A.H.; Harry, I.W.; Biwer, C.M.; Brown, D.A.; Cabero, M.; Capano, C.D.; Dal Canton, T.; Dent, T.; Fairhurst, S.; et al. The PyCBC search for gravitational waves from compact binary coalescence. Class. Quantum Gravity 2016, 33, 215004. [Google Scholar] [CrossRef]
- Messick, C.; Blackburn, K.; Brady, P.; Brockill, P.; Cannon, K.; Cariou, R.; Caudill, S.; Chamberlin, S.J.; Creighton, J.D.E.; Everett, R.; et al. Analysis Framework for the Prompt Discovery of Compact Binary Mergers in Gravitational-wave Data. Phys. Rev. D 2017, 95, 042001. [Google Scholar] [CrossRef]
- Aubin, F.; Brighenti, F.; Chierici, R.; Estevez, D.; Greco, G.; Guidi, G.M.; Juste, V.; Marion, F.; Mours, B.; Nitoglia, E.; et al. The MBTA Pipeline for Detecting Compact Binary Coalescences in the Third LIGO-Virgo Observing Run. Class. Quantum Gravity 2021, 38, 095004. [Google Scholar] [CrossRef]
- Chu, Q.; Kovalam, M.; Wen, L.; Slaven-Blair, T.; Bosveld, J.; Chen, Y.; Clearwater, P.; Codoreanu, A.; Du, Z.; Guo, X.; et al. The SPIIR online coherent pipeline to search for gravitational waves from compact binary coalescences. arXiv 2020, arXiv:gr-qc/2011.06787. [Google Scholar]
- Klimenko, S.; Yakushin, I.; Mercer, A.; Mitselmakher, G. Coherent method for detection of gravitational wave bursts. Class. Quantum Gravity 2008, 25, 114029. [Google Scholar] [CrossRef]
- Sutton, P.J.; Jones, G.; Chatterji, S.; Kalmus, P.; Leonor, I.; Poprocki, S.; Rollins, J.; Searle, A.; Stein, L.; Tinto, M.; et al. X-Pipeline: An Analysis package for autonomous gravitational-wave burst searches. New J. Phys. 2010, 12, 053034. [Google Scholar] [CrossRef]
- Venumadhav, T.; Zackay, B.; Roulet, J.; Dai, L.; Zaldarriaga, M. New search pipeline for compact binary mergers: Results for binary black holes in the first observing run of Advanced LIGO. Phys. Rev. D 2019, 100, 023011. [Google Scholar] [CrossRef]
- Nitz, A.H.; Capano, C.D.; Kumar, S.; Wang, Y.F.; Kastha, S.; Schäfer, M.; Dhurkunde, R.; Cabero, M. 3-OGC: Catalog of gravitational waves from compact-binary mergers. Astrophys. J. 2021, 922, 76. [Google Scholar] [CrossRef]
- LIGO Scientific Collaboration and Virgo Collaboration. Data Quality Vetoes Applied to the Analysis of GW150914. Available online: https://dcc.ligo.org/LIGO-T1600011/public (accessed on 17 December 2021).
- Davis, D.; Hughey, B.; Massinger, T.; Nuttall, L.; Stuver, A.; Zweizig, J.; Berger, B.; Bruntz, R.; Fisher, R.; Lundgren, A.; et al. LIGO Data Quality Vetoes Applied to the Analysis of O3. Available online: https://dcc.ligo.org/T2100045/public (accessed on 17 December 2021).
- Biwer, C.; Barker, D.; Batch, J.C.; Betzwieser, J.; Fisher, R.P.; Goetz, E.; Kandhasamy, S.; Karki, S.; Kissel, J.S.; Lundgren, A.P.; et al. Validating gravitational-wave detections: The Advanced LIGO hardware injection system. Phys. Rev. D 2017, 95, 062002. [Google Scholar] [CrossRef]
- Nitz, A.H.; Dent, T.; Dal Canton, T.; Fairhurst, S.; Brown, D.A. Detecting binary compact-object mergers with gravitational waves: Understanding and Improving the sensitivity of the PyCBC search. Astrophys. J. 2017, 849, 118. [Google Scholar] [CrossRef]
- Davis, D.; White, L.V.; Saulson, P.R. Utilizing aLIGO Glitch Classifications to Validate Gravitational-Wave Candidates. Class. Quantum Gravity 2020, 37, 145001. [Google Scholar] [CrossRef]
- Godwin, P.; Essick, R.; Hanna, C.; Cannon, K.; Caudill, S.; Chan, C.; Creighton, J.D.E.; Fong, H.; Katsavounidis, E.; Magee, R.; et al. Incorporation of Statistical Data Quality Information into the GstLAL Search Analysis. Available online: https://arxiv.org/abs/2010.15282 (accessed on 17 December 2021).
- LIGO Scientific Collaboration and Virgo Collaboration. O3A Data Release. Available online: https://www.gw-openscience.org/O3/O3a/ (accessed on 17 December 2021).
- LIGO Scientific Collaboration, Virgo Collaboration, and KAGRA Collaboration. GWTC-3: Compact Binary Coalescences Observed by LIGO and Virgo During the Second Part of the Third Observing Run—Data Quality Products for GW Searches. Available online: https://zenodo.org/record/5636796#.Yd9rXy-B1QI (accessed on 17 December 2021).
- Abbott, R.; Abbott, T.D.; Abraham, S.; Acernese, F.; Ackley, K.; Adams, A.; Adams, C.; Adhikari, R.X.; Adya, V.B.; Affeldt, C.; et al. All-sky search for continuous gravitational waves from isolated neutron stars in the early O3 LIGO data. Phys. Rev. D 2021, 104, 082004. [Google Scholar] [CrossRef]
- Abbott, R.; Abbott, T.D.; Abraham, S.; Acernese, F.; Ackley, K.; Adams, A.; Adams, C.; Adhikari, R.X.; Adya, V.B.; Affeldt, C.; et al. All-sky search in early O3 LIGO data for continuous gravitational-wave signals from unknown neutron stars in binary systems. Phys. Rev. D 2021, 103, 064017. [Google Scholar] [CrossRef]
- Abbott, R.; Abbott, T.D.; Acernese, F.; Ackley, K.; Adams, C.; Adhikari, N.; Adhikari, R.X.; Adya, V.B.; Affeldt, C.; Agarwal, D.; et al. Constraints on Dark Photon Dark Matter Using Data from LIGO’s and Virgo’s Third Observing Run. Available online: https://arxiv.org/abs/2105.13085 (accessed on 17 December 2021).
- Steltner, B.; Papa, M.A.; Eggenstein, H.B.; Allen, B.; Dergachev, V.; Prix, R.; Machenschalk, B.; Walsh, S.; Zhu, S.J.; Kwang, S. Einstein@Home All-sky Search for Continuous Gravitational Waves in LIGO O2 Public Data. Astrophys. J. 2021, 909, 79. [Google Scholar] [CrossRef]
- Ashok, A.; Beheshtipour, B.; Papa, M.A.; Freire, P.C.C.; Steltner, B.; Machenschalk, B.; Behnke, O.; Allen, B.; Prix, R. New searches for continuous gravitational waves from seven fast pulsars. Astrophys. J. 2021, 923, 85. [Google Scholar] [CrossRef]
- Renzini, A.; Contaldi, C. Improved limits on a stochastic gravitational-wave background and its anisotropies from Advanced LIGO O1 and O2 runs. Phys. Rev. D 2019, 100, 063527. [Google Scholar] [CrossRef]
- LIGO Scientific Collaboration. O1 Instrumental Lines. Available online: https://www.gw-openscience.org/o1speclines/ (accessed on 17 December 2021).
- LIGO Scientific and Virgo Collaborations. O2 Instrumental Lines. Available online: https://www.gw-openscience.org/o2speclines/ (accessed on 17 December 2021).
- LIGO Scientific and Virgo Collaborations. O3 Instrumental Lines. Available online: https://www.gw-openscience.org/O3/o3speclines/ (accessed on 17 December 2021).
- Areeda, J.S.; Smith, J.R.; Lundgren, A.P.; Maros, E.; Macleod, D.M.; Zweizig, J. LigoDV-web: Providing easy, secure and universal access to a large distributed scientific data store for the LIGO Scientific Collaboration. Astron. Comput. 2017, 18, 27–34. [Google Scholar] [CrossRef]
- Verkindt, D. The Virgo Data Display. Available online: https://tds.virgo-gw.eu/ql/?c=10957 (accessed on 17 December 2021).
- Verkindt, D. Advanced Virgo: From detector monitoring to gravitational wave alerts. In Proceedings of the 54th Rencontres de Moriond on Gravitation (Moriond Gravitation 2019), La Thuile, Italy, 23–30 March 2019; ARISF: Pars, France, 2019; p. 57. [Google Scholar]
- Essick, R.; Mo, G.; Katsavounidis, E. A Coincidence Null Test for Poisson-Distributed Events. Phys. Rev. D 2021, 103, 042003. [Google Scholar] [CrossRef]
- Vajente, G. Analysis of Sensitivity and Noise Sources for the Virgo Gravitational Wave Interferometer. Ph.D. Thesis, Scuola Normale Superiore, Pisa, Italy, 2008. [Google Scholar]
- Mozzon, S.; Nuttall, L.K.; Lundgren, A.; Dent, T.; Kumar, S.; Nitz, A.H. Dynamic Normalization for Compact Binary Coalescence Searches in Non-Stationary Noise. Class. Quantum Gravity 2020, 37, 215014. [Google Scholar] [CrossRef]
- Di Renzo, F.; Sorrentino, N. BRISTOL and RAGoUT: Two Tools for Investigating Noise Stationarity and Gaussianity, for Detchar Studies and Data Analysis. Available online: https://tds.virgo-gw.eu/ql/?c=15203 (accessed on 17 December 2021).
- Macleod, D.; Urban, A.L.; Isi, M.; Paulaltin, T.M.; Pitkin, M.; Nitz, A. gwpy/gwsumm: 1.0.2. Available online: https://zenodo.org/record/3590375#.Yd9lPC-B1QI (accessed on 17 December 2021).
- Hemming, G.; Verkindt, D. Virgo Interferometer Monitor (VIM) Web User Interface (WUI) User Guide. Available online: https://tds.virgo-gw.eu/ql/?c=11869 (accessed on 17 December 2021).
- Abbott, B.P.; Abbott, R.; Abbott, T.D.; Acernese, F.; Ackley, K.; Adams, C.; Adams, T.; Addesso, P.; Adhikari, R.X.; Adya, V.B.; et al. GW170814: A Three-Detector Observation of Gravitational Waves from a Binary Black Hole Coalescence. Phys. Rev. Lett. 2017, 119, 141101. [Google Scholar] [CrossRef] [PubMed]
- Cabero, M.; Mahabal, A.; McIver, J. GWSkyNet: A real-time classifier for public gravitational-wave candidates. Astrophys. J. Lett. 2020, 904, L9. [Google Scholar] [CrossRef]
- Essick, R. Mutual Information Distance in the “Line-of-Sight” Frame: How to Reject Noise Based on the Basics of Triangulation. Available online: https://dcc.ligo.org/LIGO-G1602082/public (accessed on 17 December 2021).
- Abbott, B.P.; Abbott, R.; Abbott, T.D.; Abernathy, M.R.; Acernese, F.; Ackley, K.; Adams, C.; Adams, T.; Addesso, P.; Adhikari, R.X.; et al. Tests of general relativity with GW150914. Phys. Rev. Lett. 2016, 116, 221101. [Google Scholar] [CrossRef] [PubMed]
- Ashton, G.; Thiele, S.; Lecoeuche, Y.; McIver, J.; Nuttall, L.K. Parameterised Population Models of Transient Non-Gaussian Noise in the LIGO Gravitational-Wave Detectors. Available online: https://arxiv.org/abs/2110.02689 (accessed on 17 December 2021).
- Pace, A.; Prestegard, T.; Moe, B.; Stephens, B. GraCEDb. Available online: https://gracedb.ligo.org (accessed on 17 December 2021).
- Abbott, R.; Abbott, T.D.; Acernese, F.; Ackley, K.; Adams, C.; Adhikari, N.; Adhikari, R.X.; Adya, V.B.; Affeldt, C.; Agarwal, D.; et al. Search for Intermediate Mass Black Hole Binaries in the Third Observing Run of Advanced LIGO and Advanced Virgo. Available online: https://arxiv.org/abs/2105.15120 (accessed on 17 December 2021).
- LIGO Scientific Collaboration. Auxiliary Channel Three Hour Release. Available online: https://www.gw-openscience.org/auxiliary/GW170814/ (accessed on 17 December 2021).
- Sun, L.; Brito, R.; Isi, M. Search for ultralight bosons in Cygnus X-1 with Advanced LIGO. Phys. Rev. D 2020, 101, 063020, Erratum in Phys. Rev. D 2020, 102, 089902. [Google Scholar] [CrossRef]
- Abbott, B.P.; Abbott, R.; Abbott, T.D.; Acernese, F.; Ackley, K.; Adams, C.; Adams, T.; Addesso, P.; Adhikari, R.X.; Adya, V.B.; et al. Search for gravitational waves from Scorpius X-1 in the first Advanced LIGO observing run with a hidden Markov model. Phys. Rev. D 2017, 95, 122003. [Google Scholar] [CrossRef]
- Abbott, B.P.; Abbott, R.; Abbott, T.D.; Abraham, S.; Acernese, F.; Ackley, K.; Adams, C.; Adhikari, R.X.; Adya, V.B.; Affeldt, C.; et al. Search for gravitational waves from Scorpius X-1 in the second Advanced LIGO observing run with an improved hidden Markov model. Phys. Rev. D 2019, 100, 122002. [Google Scholar] [CrossRef]
- Riles, K. Recent searches for continuous gravitational waves. Phys. Rev. A 2017, 32, 1730035. [Google Scholar] [CrossRef]
- Callister, T.; Coughlin, M.W.; Kanner, J.B. Gravitational-wave Geodesy: A New Tool for Validating Detection of the Stochastic Gravitational-wave Background. Astrophys. J. Lett. 2018, 869, L28. [Google Scholar] [CrossRef]
- Driggers, J.C.; Evans, M.; Pepper, K.; Adhikari, R.X. Active noise cancellation in a suspended interferometer. Rev. Sci. Instrum. 2012, 83, 024501. [Google Scholar] [CrossRef] [PubMed]
- Meadors, G.D.; Kawabe, K.; Riles, K. Increasing LIGO sensitivity by feedforward subtraction of auxiliary length control noise. Class. Quantum Gravity 2014, 31, 105014. [Google Scholar] [CrossRef]
- Tiwari, V.; Drago, M.; Frolov, V.; Klimenko, S.; Mitselmakher, G.; Necula, V.; Prodi, G.; Re, V.; Salemi, F.; Vedovato, G.; et al. Regression of environmental noise in LIGO data. Class. Quantum Gravity 2015, 32, 165014. [Google Scholar] [CrossRef]
- Wiener, N. Extrapolation, Interpolation, and Smoothing of Stationary Time Series: With Engineering Applications; MIT Press: Cambridge, MA, USA, 1964; Volume 8. [Google Scholar]
- Ormiston, R.; Nguyen, T.; Coughlin, M.; Adhikari, R.X.; Katsavounidis, E. Noise Reduction in Gravitational-wave Data via Deep Learning. Phys. Rev. Res. 2020, 2, 033066. [Google Scholar] [CrossRef]
- Mukund, N.; Lough, J.; Affeldt, C.; Bergamin, F.; Bisht, A.; Brinkmann, M.; Kringel, V.; Lück, H.; Nadji, S.; Weinert, M.; et al. Bilinear noise subtraction at the GEO 600 observatory. Phys. Rev. D 2020, 101, 102006. [Google Scholar] [CrossRef]
- Yu, H.; Adhikari, R.X. Nonlinear Noise Regression in Gravitational-Wave Detectors with Convolutional Neural Networks. Available online: https://arxiv.org/abs/2111.03295 (accessed on 17 December 2021).
- Davis, D.; Massinger, T.J.; Lundgren, A.P.; Driggers, J.C.; Urban, A.L.; Nuttall, L.K. Improving the Sensitivity of Advanced LIGO Using Noise Subtraction. Class. Quantum Gravity 2019, 36, 055011. [Google Scholar] [CrossRef]
- Drigger, J.C.; Vitale, V.; Lundgren, A.P.; Evans, M.; Kawabe, K.; Dwyer, S.; Izumi, K.; Fritschel, P. Offline Noise Subtraction for Advanced LIGO. Available online: https://dcc.ligo.org/LIGO-P1700260/public (accessed on 17 December 2021).
- Allen, B.; Hua, W.; Ottewill, A. Automatic Cross-Talk Removal from Multi-Channel Data. Available online: https://arxiv.org/abs/gr-qc/9909083 (accessed on 17 December 2021).
- Viets, A.; Wade, M. Subtracting Narrow-Band Noise from LIGO Strain Data in the Third Observing Run. Available online: https://dcc.ligo.org/LIGO-T2100058/public (accessed on 17 December 2021).
- Vajente, G.; Huang, Y.; Isi, M.; Driggers, J.C.; Kissel, J.S.; Szczepańczyk, M.J.; Vitale, S. Machine-learning nonstationary noise out of gravitational-wave detectors. Phys. Rev. D 2020, 101, 042003. [Google Scholar] [CrossRef]
- Estevez, D.; Mours, B.; Rolland, L.; Verkindt, D. Online h(t) Reconstruction for Virgo O3 Data: Start of O3. Technical Report VIR-0652B-19. Available online: https://tds.virgo-gw.eu/ql/?c=14486 (accessed on 17 December 2021).
- Acernese, F.; Agathos, M.; Ain, A.; Albanesi, S.; Allocca, A.; Amato, A.; Andrade, T.; Andres, N.; Andrić, T.; Ansoldi, S.; et al. Calibration of Advanced Virgo and Reconstruction of Detector Strain h(t) during the Observing Run O3. Available online: https://arxiv.org/abs/2107.03294 (accessed on 17 December 2021).
- Powell, J. Parameter Estimation and Model Selection of Gravitational Wave Signals Contaminated by Transient Detector Noise Glitches. Class. Quantum Gravity 2018, 35, 155017. [Google Scholar] [CrossRef]
- Cornish, N.J.; Littenberg, T.B. BayesWave: Bayesian Inference for Gravitational Wave Bursts and Instrument Glitches. Class. Quantum Gravity 2015, 32, 135012. [Google Scholar] [CrossRef]
- Pankow, C.; Chatziioannou, K.; Chase, E.A.; Littenberg, T.B.; Evans, M.; McIver, J.; Cornish, N.J.; Haster, C.; Kanner, J.; Raymond, V.; et al. Mitigation of the instrumental noise transient in gravitational-wave data surrounding GW170817. Phys. Rev. 2018, D98, 084016. [Google Scholar] [CrossRef]
- Cornish, N.J.; Littenberg, T.B.; Bécsy, B.; Chatziioannou, K.; Clark, J.A.; Ghonge, S.; Millhouse, M. The BayesWave analysis pipeline in the era of gravitational wave observations. Phys. Rev. D 2021, 103, 044006. [Google Scholar] [CrossRef]
- LIGO Scientific Collaboration and Virgo Collaboration. Glitch Model for O3a Catalog Events. Available online: https://dcc.ligo.org/LIGO-T2000470/public (accessed on 17 December 2021).
- Chatziioannou, K.; Cornish, N.; Wijngaarden, M.; Littenberg, T.B. Modeling compact binary signals and instrumental glitches in gravitational wave data. Phys. Rev. D 2021, 103, 044013. [Google Scholar] [CrossRef]
- Kwok, J.Y.L.; Lo, R.K.L.; Weinstein, A.J.; Li, T.G.F. Investigation on the Effects of Non-Gaussian Noise Transients and Their Mitigations on Gravitational-Wave Tests of General Relativity. Available online: https://arxiv.org/abs/2109.07642 (accessed on 17 December 2021).
- Torres-Forné, A.; Cuoco, E.; Font, J.A.; Marquina, A. Application of dictionary learning to denoise LIGO’s blip noise transients. Phys. Rev. D 2020, 102, 023011. [Google Scholar] [CrossRef]
- Mogushi, K. Reduction of Transient Noise Artifacts in Gravitational-Wave Data Using Deep Learning. Available online: https://arxiv.org/abs/2105.10522 (accessed on 17 December 2021).
- Merritt, J.; Farr, B.; Hur, R.; Edelman, B.; Doctor, Z. Transient Glitch Mitigation in Advanced LIGO Data with glitschen. Available online: https://arxiv.org/abs/2108.12044 (accessed on 17 December 2021).
- Harris, F. On the use of windows for harmonic analysis with the discrete Fourier transform. Proc. IEEE 1978, 66, 51–83. [Google Scholar] [CrossRef]
- Steltner, B.; Papa, M.A.; Eggenstein, H.B. Identification and Removal of Non-Gaussian Noise Transients for Gravitational Wave Searches. Available online: https://arxiv.org/abs/2105.09933 (accessed on 17 December 2021).
- Zweizig, J.; Riles, K. Information on Self-Gating of h(t) Used in O3 Continuous-Wave and Stochastic Searches. Available online: https://dcc.ligo.org/LIGO-T2000384/public (accessed on 17 December 2021).
- Harry, I.W.; Fairhurst, S. A targeted coherent search for gravitational waves from compact binary coalescences. Phys. Rev. 2011, D83, 084002. [Google Scholar] [CrossRef]
- Abbott, R.; Abbott, T.D.; Acernese, F.; Ackley, K.; Adams, C.; Adhikari, N.; Adhikari, R.X.; Adya, V.B.; Affeldt, C.; Agarwal, D.; et al. Search for Gravitational Waves Associated with Gamma-Ray Bursts Detected by Fermi and Swift during the LIGO-Virgo Run O3b. Available online: https://arxiv.org/abs/2111.03608 (accessed on 17 December 2021).
- LIGO Scientific Collaboration and Virgo Collaboration. LIGO/Virgo G298048: Further Analysis of a Binary Neutron Star Candidate with Updated Sky Localization. Available online: https://gcn.gsfc.nasa.gov/gcn3/21513.gcn3 (accessed on 17 December 2021).
- Zackay, B.; Venumadhav, T.; Roulet, J.; Dai, L.; Zaldarriaga, M. Detecting gravitational waves in data with non-stationary and non-Gaussian noise. Phys. Rev. D 2021, 104, 063034. [Google Scholar] [CrossRef]
- Blahut, R.E. Solving Toeplitz Systems. In Algebraic Methods for Signal Processing and Communications Coding; Springer: New York, NY, USA, 1992; pp. 89–104. [Google Scholar] [CrossRef]
- Talbot, C.; Thrane, E.; Biscoveanu, S.; Smith, R. Inference with finite time series: Observing the gravitational Universe through windows. Phys. Rev. Res. 2021, 3, 043049. [Google Scholar] [CrossRef]
- Mogushi, K.; Quitzow-James, R.; Cavaglià, M.; Kulkarni, S.; Hayes, F. NNETFIX: An artificial neural network-based denoising engine for gravitational-wave signals. Mach. Learn. Sci. Technol. 2021, 2, 035018. [Google Scholar] [CrossRef]
- Cuoco, E.; Powell, J.; Cavaglià, M.; Ackley, K.; Bejger, M.; Chatterjee, C.; Coughlin, M.; Coughlin, S.; Easter, P.; Essick, R.; et al. Enhancing gravitational-wave science with machine learning. Mach. Learn. Sci. Technol. 2020, 2, 011002. [Google Scholar] [CrossRef]
- Welch, P. The use of fast Fourier transform for the estimation of power spectra: A method based on time averaging over short, modified periodograms. IEEE Trans. Audio Electroacoust. 1967, 15, 70–73. [Google Scholar] [CrossRef]
- Allen, B.; Anderson, W.G.; Brady, P.R.; Brown, D.A.; Creighton, J.D.E. FINDCHIRP: An Algorithm for detection of gravitational waves from inspiraling compact binaries. Phys. Rev. D 2012, 85, 122006. [Google Scholar] [CrossRef]
- Talbot, C.; Thrane, E. Gravitational-wave astronomy with an uncertain noise power spectral density. Phys. Rev. Res. 2020, 2, 043298. [Google Scholar] [CrossRef]
- Edy, O.; Lundgren, A.; Nuttall, L.K. Issues of mismodeling gravitational-wave data for parameter estimation. Phys. Rev. D 2021, 103, 124061. [Google Scholar] [CrossRef]
- Chatziioannou, K.; Haster, C.J.; Littenberg, T.B.; Farr, W.M.; Ghonge, S.; Millhouse, M.; Clark, J.A.; Cornish, N. Noise Spectral Estimation Methods and Their Impact on Gravitational Wave Measurement of Compact Binary Mergers. Phys. Rev. D 2019, 100, 104004. [Google Scholar] [CrossRef]
- Macleod, D.; Urban, A.L.; Coughlin, S.; Massinger, T.; Pitkin, M.; Rngeorge; Paulaltin; Areeda, J.; Singer, L.; Quintero, E.; et al. gwpy/gwpy: 2.0.1. Available online: https://zenodo.org/record/3973364#.Yd9lzS-B1QI (accessed on 17 December 2021).
- Ashton, G.; Hübner, M.; Lasky, P.D.; Talbot, C.; Ackley, K.; Biscoveanu, S.; Chu, Q.; Divakarla, A.; Easter, P.J.; Goncharov, B.; et al. BILBY: A user-friendly Bayesian inference library for gravitational-wave astronomy. Astrophys. J. Suppl. 2019, 241, 27. [Google Scholar] [CrossRef]
- Biscoveanu, S.; Haster, C.J.; Vitale, S.; Davies, J. Quantifying the Effect of Power Spectral Density Uncertainty on Gravitational-Wave Parameter Estimation for Compact Binary Sources. Phys. Rev. D 2020, 102, 023008. [Google Scholar] [CrossRef]
- Sachdev, S.; Magee, R.; Hanna, C.; Cannon, K.; Singer, L.; SK, J.R.; Mukherjee, D.; Caudill, S.; Chan, C.; Creighton, J.D.E.; et al. An Early-warning System for Electromagnetic Follow-up of Gravitational-wave Events. Astrophys. J. Lett. 2020, 905, L25. [Google Scholar] [CrossRef]
- Zackay, B.; Venumadhav, T.; Dai, L.; Roulet, J.; Zaldarriaga, M. Highly spinning and aligned binary black hole merger in the Advanced LIGO first observing run. Phys. Rev. D 2019, 100, 023007. [Google Scholar] [CrossRef]
- Amann, F.; Bonsignorio, F.; Bulik, T.; Bulten, H.J.; Cuccuru, S.; Dassargues, A.; DeSalvo, R.; Fenyvesi, E.; Fidecaro, F.; Fiori, I.; et al. Site-selection criteria for the Einstein Telescope. Rev. Sci. Instrum. 2020, 91, 9. [Google Scholar] [CrossRef]
- Evans, M.; Adhikari, R.X.; Afle, C.; Ballmer, S.W.; Biscoveanu, S.; Borhanian, S.; Brown, A.; Chen, Y.; Eisenstein, R.; Gruson, A.; et al. A Horizon Study for Cosmic Explorer: Science, Observatories, and Community. Available online: https://arxiv.org/abs/2109.09882 (accessed on 17 December 2021).
- Badaracco, F.; De Rossi, C.; Fiori, I.; Harms, J.; Miyo, K.; Paoletti, F.; Tanaka, T.; Washimi, T.; Yokozawa, T. The KAGRA underground environment and lessons for the Einstein Telescope. Phys. Rev. D 2021, 104, 042006. [Google Scholar] [CrossRef]
- Cahillane, C.; Mansell, G.; Sigg, D. Laser Frequency Noise in Next Generation Gravitational-Wave Detectors. Opt. Express 2021, 29, 42144–42161. [Google Scholar] [CrossRef]
- Janssens, K.; Martinovic, K.; Christensen, N.; Meyers, P.M.; Sakellariadou, M. Impact of Schumann Resonances on the Einstein Telescope and Projections for the Magnetic Coupling Function. Available online: https://arxiv.org/abs/2110.14730 (accessed on 17 December 2021).
- Meyers, P.M.; Martinovic, K.; Christensen, N.; Sakellariadou, M. Detecting a stochastic gravitational-wave background in the presence of correlated magnetic noise. Phys. Rev. D 2020, 102, 102005. [Google Scholar] [CrossRef]
- Beker, M.G.; van den Brand, J.F.J.; Hennes, E.; Rabeling, D.S. Newtonian noise and ambient ground motion for gravitational wave detectors. J. Phys. Conf. Ser. 2012, 363, 012004. [Google Scholar] [CrossRef]
- Driggers, J.C.; Harms, J.; Adhikari, R.X. Subtraction of Newtonian noise using optimized sensor arrays. Phys. Rev. D 2012, 86, 102001. [Google Scholar] [CrossRef]
- Coughlin, M.; Mukund, N.; Harms, J.; Driggers, J.; Adhikari, R.; Mitra, S. Towards a first design of a Newtonian-noise cancellation system for Advanced LIGO. Class. Quantum Gravity 2016, 33, 244001. [Google Scholar] [CrossRef]
- Edwards, M.C.; Maturana-Russel, P.; Meyer, R.; Gair, J.; Korsakova, N.; Christensen, N. Identifying and Addressing Nonstationary LISA Noise. Phys. Rev. D 2020, 102, 084062. [Google Scholar] [CrossRef]
- Robson, T.; Cornish, N.J. Detecting Gravitational Wave Bursts with LISA in the presence of Instrumental Glitches. Phys. Rev. D 2019, 99, 024019. [Google Scholar] [CrossRef]
- Baghi, Q.; Thorpe, I.; Slutsky, J.; Baker, J.; Dal Canton, T.; Korsakova, N.; Karnesis, N. Gravitational-wave parameter estimation with gaps in LISA: A Bayesian data augmentation method. Phys. Rev. D 2019, 100, 022003. [Google Scholar] [CrossRef]
- Blelly, A.; Bobin, J.; Moutarde, H. Sparse data inpainting for the recovery of Galactic-binary gravitational wave signals from gapped data. Mon. Not. R. Astron. Soc. 2021, 509, 5902–5917. [Google Scholar] [CrossRef]









| Publisher’s Note: MDPI stays neutral with regard to jurisdictional claims in published maps and institutional affiliations. | 
© 2022 by the authors. Licensee MDPI, Basel, Switzerland. This article is an open access article distributed under the terms and conditions of the Creative Commons Attribution (CC BY) license (https://creativecommons.org/licenses/by/4.0/).
Share and Cite
Davis, D.; Walker, M. Detector Characterization and Mitigation of Noise in Ground-Based Gravitational-Wave Interferometers. Galaxies 2022, 10, 12. https://doi.org/10.3390/galaxies10010012
Davis D, Walker M. Detector Characterization and Mitigation of Noise in Ground-Based Gravitational-Wave Interferometers. Galaxies. 2022; 10(1):12. https://doi.org/10.3390/galaxies10010012
Chicago/Turabian StyleDavis, Derek, and Marissa Walker. 2022. "Detector Characterization and Mitigation of Noise in Ground-Based Gravitational-Wave Interferometers" Galaxies 10, no. 1: 12. https://doi.org/10.3390/galaxies10010012
APA StyleDavis, D., & Walker, M. (2022). Detector Characterization and Mitigation of Noise in Ground-Based Gravitational-Wave Interferometers. Galaxies, 10(1), 12. https://doi.org/10.3390/galaxies10010012
 
         
                                                

