Association between Initial Fibrinogen Levels and the Need for Massive Transfusion in Emergency Department Patients with Primary Postpartum Hemorrhage: A Retrospective Study from a Single Center in Korea
Abstract
1. Introduction
2. Materials and Methods
2.1. Study Design and Setting
2.2. Data Collection
2.3. Statistical Analysis
3. Results
3.1. Baseline and Clinical Characteristics
3.2. Comparison of Initial Laboratory Findings, Management, and Clinical Outcomes between the Massive Transfusion (MT) Group and the Non-Massive Transfusion (Non-MT) Group
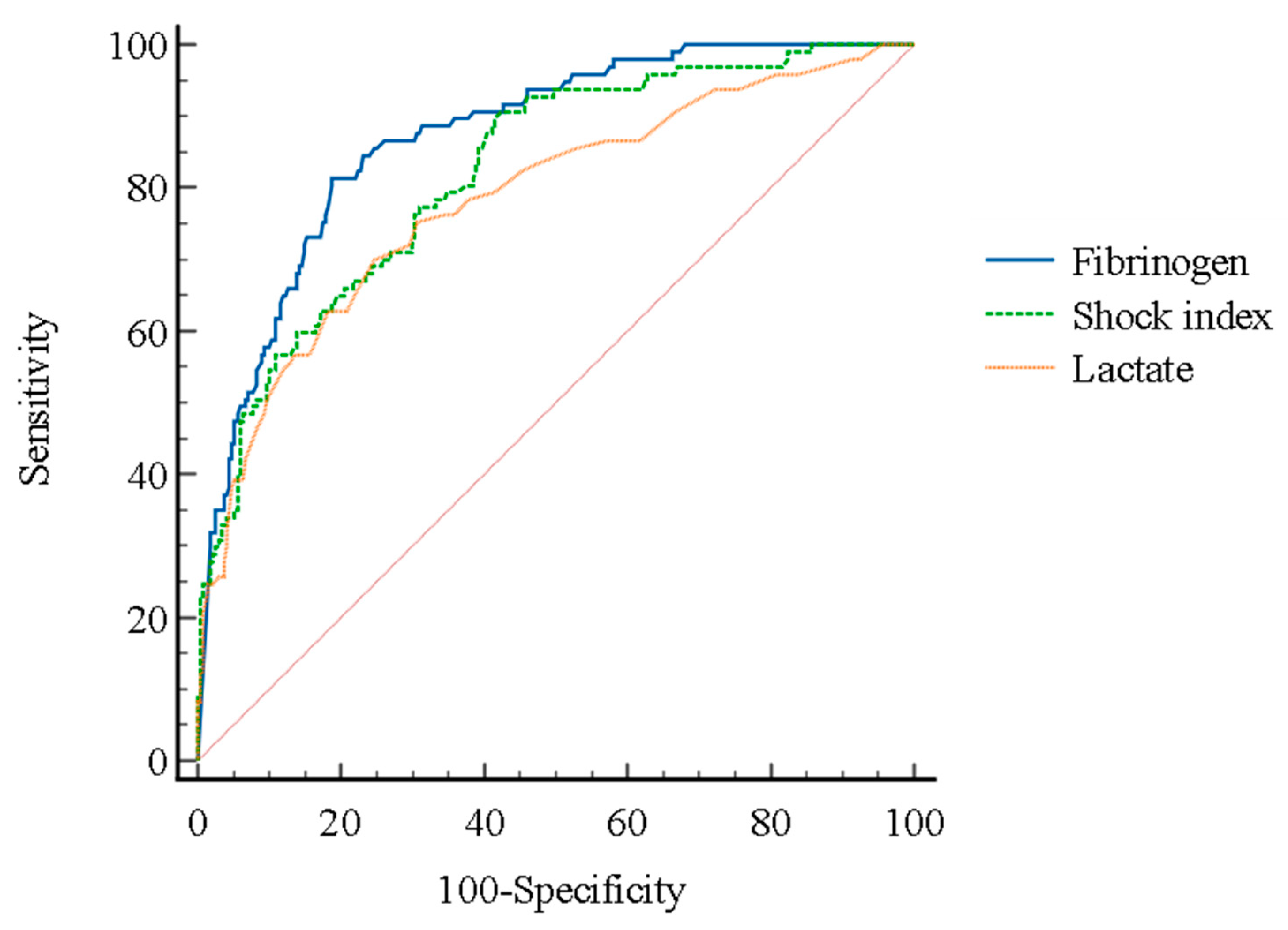
3.3. Predictive Performance of Initial Fibrinogen Levels in Predicting the Need for Massive Transfusion (MT)
4. Discussion
5. Conclusions
Supplementary Materials
Author Contributions
Funding
Institutional Review Board Statement
Informed Consent Statement
Data Availability Statement
Conflicts of Interest
References
- Mousa, H.A.; Blum, J.; Abou El Senoun, G.; Shakur, H.; Alfirevic, Z. Treatment for primary postpartum haemorrhage. Cochrane Database Syst. Rev. 2014, 2, CD003249. [Google Scholar] [CrossRef] [PubMed]
- Sohn, C.H.; Kim, W.Y.; Kim, S.R.; Seo, D.W.; Ryoo, S.M.; Lee, Y.S.; Lee, J.H.; Oh, B.J.; Won, H.S.; Shim, J.Y.; et al. An increase in initial shock index is associated with the requirement for massive transfusion in emergency department patients with primary postpartum hemorrhage. Shock 2013, 40, 101–105. [Google Scholar] [CrossRef] [PubMed]
- Sohn, C.H.; Kim, Y.J.; Seo, D.W.; Won, H.S.; Shim, J.Y.; Lim, K.S.; Kim, W.Y. Blood lactate concentration and shock index associated with massive transfusion in emergency department patients with primary postpartum haemorrhage. Br. J. Anaesth. 2018, 121, 378–383. [Google Scholar] [CrossRef] [PubMed]
- Liu, Y.; Zhu, W.; Shen, Y.; Qiu, J.; Rao, L.; Li, H. Assessing the accuracy of visual blood loss estimation in postpartum hemorrhage in Shanghai hospitals: A web-based survey for nurses and midwives. J. Clin. Nurs. 2021, 30, 3556–3562. [Google Scholar] [CrossRef] [PubMed]
- Golmakani, N.; Khaleghinezhad, K.; Dadgar, S.; Hashempor, M.; Baharian, N. Comparing the estimation of postpartum hemorrhage using the weighting method and National Guideline with the postpartum hemorrhage estimation by midwives. Iran. J. Nurs. Midwifery Res. 2015, 20, 471–475. [Google Scholar] [PubMed]
- Larsson, C.; Saltvedt, S.; Wiklund, I.; Pahlen, S.; Andolf, E. Estimation of blood loss after cesarean section and vaginal delivery has low validity with a tendency to exaggeration. Acta Obstet. Gyn. Scan. 2006, 85, 1448–1452. [Google Scholar] [CrossRef]
- Strote, J.; Mayo, M.; Townes, D. ED patient estimation of blood loss. Am. J. Emerg. Med. 2009, 27, 709–711. [Google Scholar] [CrossRef]
- Ashburn, J.C.; Harrison, T.; Ham, J.J.; Strote, J. Emergency physician estimation of blood loss. West. J. Emerg. Med. 2012, 13, 376–379. [Google Scholar] [CrossRef]
- Kong, T.; Lee, H.S.; Jeon, S.Y.; You, J.S.; Lee, J.W.; Chung, H.S.; Chung, S.P. Delta neutrophil index and shock index can stratify risk for the requirement for massive transfusion in patients with primary postpartum hemorrhage in the emergency department. PLoS ONE 2021, 16, e0258619. [Google Scholar] [CrossRef]
- Vermeulen, T.; Van de Velde, M. The role of fibrinogen in postpartum hemorrhage. Best Pract. Res. Clin. Anaesthesiol. 2022, 36, 399–410. [Google Scholar] [CrossRef]
- Adler, G.; Duchinski, T.; Jasinska, A.; Piotrowska, U. Fibrinogen fractions in the third trimester of pregnancy and in puerperium. Thromb. Res. 2000, 97, 405–410. [Google Scholar] [CrossRef] [PubMed]
- Manten, G.T.; Franx, A.; Sikkema, J.M.; Hameeteman, T.M.; Visser, G.H.; de Groot, P.G.; Voorbij, H.A. Fibrinogen and high molecular weight fibrinogen during and after normal pregnancy. Thromb. Res. 2004, 114, 19–23. [Google Scholar] [CrossRef] [PubMed]
- Uchikova, E.H.; Ledjev, I.I. Changes in haemostasis during normal pregnancy. Eur. J. Obstet. Gynecol. Reprod. Biol. 2005, 119, 185–188. [Google Scholar] [CrossRef] [PubMed]
- Huissoud, C.; Carrabin, N.; Benchaib, M.; Fontaine, O.; Levrat, A.; Massignon, D.; Touzet, S.; Rudigoz, R.C.; Berland, M. Coagulation assessment by rotation thrombelastometry in normal pregnancy. Thromb. Haemost. 2009, 101, 755–761. [Google Scholar] [PubMed]
- Butwick, A.J. Postpartum hemorrhage and low fibrinogen levels: The past, present and future. Int. J. Obstet. Anesth. 2013, 22, 87–91. [Google Scholar] [CrossRef] [PubMed]
- de Prost, D.; Charbit, B.; Mandelbrot, L.; Baron, G.; Haddaoui, B.; Peynaud-Debayle, E.; Foucher, E.; Samain, E. The decrease of fibrinogen is an early predictor of the severity of postpartum hemorrhage. Thromb. Res. 2007, 119, S102–S103. [Google Scholar] [CrossRef]
- Cortet, M.; Deneux-Tharaux, C.; Dupont, C.; Colin, C.; Rudigoz, R.C.; Bouvier-Colle, M.H.; Huissoud, C. Association between fibrinogen level and severity of postpartum hemorrhage: Secondary analysis of a prospective trial. Br. J. Anaesth. 2012, 108, 984–989. [Google Scholar] [CrossRef]
- Shibata, Y.; Shigemi, D.; Ito, M.; Terada, K.; Nakanishi, K.; Kato, M.; Igarashi, M.; Suzuki, S. Association between Fibrinogen Levels and Severity of Postpartum Hemorrhage in Singleton Vaginal Deliveries at a Japanese Perinatal Center. J. Nippon Med. Sch. 2014, 81, 94–96. [Google Scholar] [CrossRef]
- Okada, A.; Okada, Y.; Inoue, M.; Narumiya, H.; Nakamoto, O. Lactate and fibrinogen as good predictors of massive transfusion in postpartum hemorrhage. Acute Med. Surg. 2020, 7, e453. [Google Scholar] [CrossRef]
- Lowe, G.D.; Rumley, A.; Mackie, I.J. Plasma fibrinogen. Ann. Clin. Biochem. 2004, 41, 430–440. [Google Scholar] [CrossRef]
- Abbassi-Ghanavati, M.; Greer, L.G.; Cunningham, F.G. Pregnancy and laboratory studies: A reference table for clinicians. Obstet. Gynecol. 2009, 114, 1326–1331. [Google Scholar] [CrossRef]
- McDonnell, N.J.; Browning, R. How to replace fibrinogen in postpartum hemorrhage situations? (Hint: Don’t use FFP!). Int. J. Obstet. Anesth. 2018, 33, 4–7. [Google Scholar] [CrossRef]

| Variables | All Patients (n = 364) | MT Group (n = 97) | Non-MT Group (n = 267) | p Value |
|---|---|---|---|---|
| Age, years | 33.0 (30.0–35.0) | 34.0 (31.0–36.0) | 33.0 (30.0–35.0) | 0.055 |
| Parity | 0.47 | |||
| Primipara | 225 (61.8) | 57 (58.8) | 168 (62.9) | |
| Multipara | 139 (38.2) | 40 (41.2) | 99 (37.1) | |
| Delivery type | 0.406 | |||
| Vaginal delivery | 245 (67.3) | 62 (63.9) | 183 (68.5) | |
| Caesarean section | 119 (32.7) | 35 (36.1) | 84 (31.5) | |
| Causes | 0.689 | |||
| Uterine atony | 210 (57.7) | 56 (57.7) | 154 (57.7) | |
| Uterine rupture | 9 (2.5) | 6 (6.2) | 3 (1.1) | |
| Uterine inversion | 1 (0.3) | 0 (0.0) | 1 (0.4) | |
| Trauma to the genital tract | 60 (16.5) | 16 (16.5) | 44 (16.5) | |
| Retained placenta | 11 (3.0) | 0 (0.0) | 11 (4.1) | |
| Low lying placenta | 4 (1.1) | 2 (2.1) | 2 (0.7) | |
| Placenta abruptio | 5 (1.4) | 3 (3.1) | 2 (0.7) | |
| Placenta accreta | 15 (4.1) | 0 (0.0) | 15 (5.6) | |
| Placenta previa | 4 (1.1) | 1 (1.0) | 3 (1.1) | |
| Undetermined | 45 (12.4) | 12 (13.4) | 32 (12.0) | |
| Initial mental status | <0.001 | |||
| Alert | 346 (95.1) | 82 (84.5) | 264 (98.9) | |
| Verbal | 10 (2.7) | 8 (8.2) | 2 (0.7) | |
| Painful | 4 (1.1) | 3 (3.1) | 1 (0.4) | |
| Unresponsive | 4 (1.1) | 4 (4.1) | 0 (0.0) | |
| Initial vital signs | ||||
| Systolic blood pressure, mmHg | 114.0 (97.0–127.0) | 98.0 (80.0–120.0) | 116.0 (104.0–129.0) | <0.001 |
| Diastolic blood pressure, mmHg | 69.0 (59.0–80.0) | 61.5 (50.5–72.8) | 72.0 (62.0–81.0) | <0.001 |
| Heart rate, beats/min | 96.0 (84.0–110.0) | 114.0 (98.5–135.5) | 91.0 (81.0–102.0) | <0.001 |
| Body temperature, ℃ | 37.2 (36.6–37.8) | 37.0 (36.5–37.6) | 37.2 (36.6–37.9) | 0.663 |
| Shock index | 0.84 (0.71–1.08) | 1.19 (0.91–1.56) | 0.77 (0.66–0.95) | <0.001 |
| Variables | All Patients (n = 364) | MT Group (n = 97) | Non-MT Group (n = 267) | p Value |
|---|---|---|---|---|
| Initial laboratory findings | ||||
| White blood cells, ×103/µL | 17.1 (13.7–21.2) | 17.4 (13.6–23.5) | 17.0 (13.8–20.9) | 0.327 |
| C-reactive protein, mg/dL | 0.4 (0.2–0.8) | 0.4 (0.2–0.6) | 0.5 (0.2–0.9) | 0.102 |
| Hemoglobin, g/dL | 9.6 (8.1–10.9) | 7.9 (5.7–9.9) | 9.9 (8.7–11.2) | <0.001 |
| Hematocrit, % | 29.2 (25.1–32.8) | 24.4 (17.9–29.4) | 30.3 (26.6–33.5) | <0.001 |
| Platelets, ×103/µL | 152.0 (118.0–191.0) | 120.0 (90.0–155.5) | 163.0 (134.0–198.0) | <0.001 |
| Prothrombin time (INR) | 1.1 (1.0–1.3) | 1.6 (1.2–2.5) | 1.1 (1.0–1.2) | <0.001 |
| Blood urea nitrogen, mg/dL | 7.0 (6.0–10.0) | 9.0 (6.3–11.0) | 7.0 (6.0–9.0) | <0.001 |
| Creatinine, mg/dL | 0.6 (0.5–0.7) | 0.7 (0.6–0.9) | 0.6 (0.5–0.7) | <0.001 |
| Fibrinogen, mg/dL | 208.0 (121.3–307.3) | 90.0 (25.0–162.0) | 252.0 (183.0–333.0) | <0.001 |
| Lactate, mmol/L | 2.5 (1.8–3.88) | 4.2 (2.9–5.8) | <0.001 | |
| Management | ||||
| Blood transfusion, units | 327 (89.8) | 97 (100.0) | 230 (86.1) | <0.001 |
| pRBCs before ED arrival | 0.0 (0.0–2.0) | 2.0 (0.0–4.0) | 0.0 (0.0–2.0) | <0.001 |
| Total pRBCs | 5.0 (2.0–10.0) | 14.0 (12.0–20.0) | 3.0 (2.0–5.0) | <0.001 |
| FFP before ED arrival | 0.0 (0.0–0.0) | 0.0 (0.0–0.0) | 0.0 (0.0–0.0) | 1 |
| Total FFP | 3.0 (0.0–6.0) | 10.0 (6.0–13.0) | 2.0 (0.0–3.0) | <0.001 |
| PCs before ED arrival | 0.0 (0.0–0.0) | 0.0 (0.0–0.0) | 0.0 (0.0–0.0) | 0.547 |
| Total PCs | 0.0 (0.0–8.0) | 10.0 (8.0–18.5) | 0.0 (0.0–0.0) | <0.001 |
| Uterotonics use | 341 (93.7) | 94 (96.9) | 247 (92.5) | 0.127 |
| Vasopressor use | 19 (5.2) | 18 (18.6) | 1 (0.4) | <0.001 |
| Tranexamic acid use | 61 (16.8) | 27 (27.8) | 34 (12.7) | <0.001 |
| Embolization | 183 (50.3) | 84 (86.6) | 99 (37.1) | <0.001 |
| Hysterectomy | 4 (1.1) | 4 (4.1) | 0 (0.0) | 0.005 |
| Hematoma evacuation | 23 (6.3) | 15 (15.5) | 8 (3.0) | <0.001 |
| Intensive care unit care | 30 (8.2) | 26 (26.8) | 4 (1.5) | <0.001 |
| Clinical outcome | ||||
| In-hospital mortality | 3 (0.8) | 3 (3.1) | 0 (0.0) | 0.018 |
| Days of hospitalization | 2.0 (1.0–4.0) | 4.0 (3.0–6.0) | 2.0 (1.0–3.0) | <0.001 |
| Variables | Odds Ratio | 95% Confidence Interval | p Value |
|---|---|---|---|
| Shock index | 7.277 | 1.856–28.535 | 0.004 |
| Lactate | 1.261 | 1.021–1.557 | 0.031 |
| Fibrinogen | 0.987 | 0.983–0.991 | <0.001 |
| Variables | AUC | 95% Confidence Interval | p Value | Cutoff Value | Sensitivity (%) | Specificity (%) |
|---|---|---|---|---|---|---|
| Fibrinogen | 0.871 | 0.832–0.904 | <0.001 | 167 | 81.4 | 81.3 |
| Shock index | 0.821 | 0.778–0.859 | <0.001 | 0.805 | 90.7 | 57.7 |
| Lactate | 0.784 | 0.738–0.825 | <0.001 | 3.1 | 70.1 | 75.3 |
| Variables | MT Group n (%) | Non-MT Group n (%) | p Value |
|---|---|---|---|
| <0.001 | |||
| Fibrinogen > 400 mg/dL, n = 20 | 0 (0.0) | 20 (100.0) | |
| 300 < Fibrinogen ≤ 400 mg/dL, n = 76 | 2 (2.6) | 74 (97.4) | |
| 200 < Fibrinogen ≤ 300 mg/dL, n = 98 | 9 (9.2) | 89 (90.8) | |
| 100 < Fibrinogen ≤ 200 mg/dL, n = 95 | 33 (34.7) | 62 (65.3) | |
| Fibrinogen ≤ 100 mg/dL, n = 75 | 53 (70.7) | 22 (29.3) |
| Cutoff Value (mg/dL) | Sensitivity (%) (95% CI) | Specificity (%) (95% CI) | PPV (%) (95% CI) | NPV (%) (95% CI) |
|---|---|---|---|---|
| 400 | 100.0 (96.3–100.0) | 7.5 (4.6–11.3) | 28.2 (27.5–28.9) | 100.0 (83.2–100.0) |
| 300 | 97.9 (92.8–99.8) | 35.2 (29.5–41.3) | 35.5 (33.4–37.6) | 97.9 (92.2–99.5) |
| 200 | 88.7 (80.6–94.2) | 68.5 (62.6–74.1) | 50.6 (45.8–55.3) | 94.3 (90.5–96.7) |
| 100 | 54.6 (44.2–64.8) | 91.8 (87.8–94.8) | 70.7 (60.8–78.9) | 84.8 (81.7–87.4) |
| 167 * | 80.4 (71.1–87.8) | 81.3 (76.1–85.8) | 60.9 (54.4–67.1) | 92.0 (88.4–94.5) |
Disclaimer/Publisher’s Note: The statements, opinions and data contained in all publications are solely those of the individual author(s) and contributor(s) and not of MDPI and/or the editor(s). MDPI and/or the editor(s) disclaim responsibility for any injury to people or property resulting from any ideas, methods, instructions or products referred to in the content. |
© 2024 by the authors. Licensee MDPI, Basel, Switzerland. This article is an open access article distributed under the terms and conditions of the Creative Commons Attribution (CC BY) license (https://creativecommons.org/licenses/by/4.0/).
Share and Cite
Park, S.; Sohn, C.; Kwon, H.; Kim, S.; Ryoo, S.; Ahn, S.; Seo, D.; Kim, W. Association between Initial Fibrinogen Levels and the Need for Massive Transfusion in Emergency Department Patients with Primary Postpartum Hemorrhage: A Retrospective Study from a Single Center in Korea. J. Pers. Med. 2024, 14, 344. https://doi.org/10.3390/jpm14040344
Park S, Sohn C, Kwon H, Kim S, Ryoo S, Ahn S, Seo D, Kim W. Association between Initial Fibrinogen Levels and the Need for Massive Transfusion in Emergency Department Patients with Primary Postpartum Hemorrhage: A Retrospective Study from a Single Center in Korea. Journal of Personalized Medicine. 2024; 14(4):344. https://doi.org/10.3390/jpm14040344
Chicago/Turabian StylePark, Sungmin, Changhwan Sohn, Hyojeong Kwon, Sangmin Kim, Seungmok Ryoo, Shin Ahn, Dongwoo Seo, and Wonyoung Kim. 2024. "Association between Initial Fibrinogen Levels and the Need for Massive Transfusion in Emergency Department Patients with Primary Postpartum Hemorrhage: A Retrospective Study from a Single Center in Korea" Journal of Personalized Medicine 14, no. 4: 344. https://doi.org/10.3390/jpm14040344
APA StylePark, S., Sohn, C., Kwon, H., Kim, S., Ryoo, S., Ahn, S., Seo, D., & Kim, W. (2024). Association between Initial Fibrinogen Levels and the Need for Massive Transfusion in Emergency Department Patients with Primary Postpartum Hemorrhage: A Retrospective Study from a Single Center in Korea. Journal of Personalized Medicine, 14(4), 344. https://doi.org/10.3390/jpm14040344
