Cardiac Autonomic Function and Functional Capacity in Post-COVID-19 Individuals with Systemic Arterial Hypertension
Abstract
:1. Introduction
2. Materials and Methods
2.1. Study Design
2.2. Participants
- Group 1 (G1): SAH patients infected with SARS-CoV-2, with confirmed diagnosis through the reverse transcription polymerase chain reaction (RT-PCR), within six months of test confirmation, asymptomatic or experiencing mild symptoms of COVID-19 and fully recovered of infection.
- Group 2 (G2): Individuals with SAH without a clinical diagnosis of COVID-19, and with a negative RT-PCR test confirming the absence of the virus.
2.3. Assessments
2.3.1. Anthropometric and Hemodynamic Parameters Measurements
2.3.2. Evaluation of Cardiac Autonomic Control System
2.3.3. Evaluation of FC
2.4. Statistical Analysis
3. Results
3.1. Sample Characteristics
3.2. Cardiac Autonomic Function
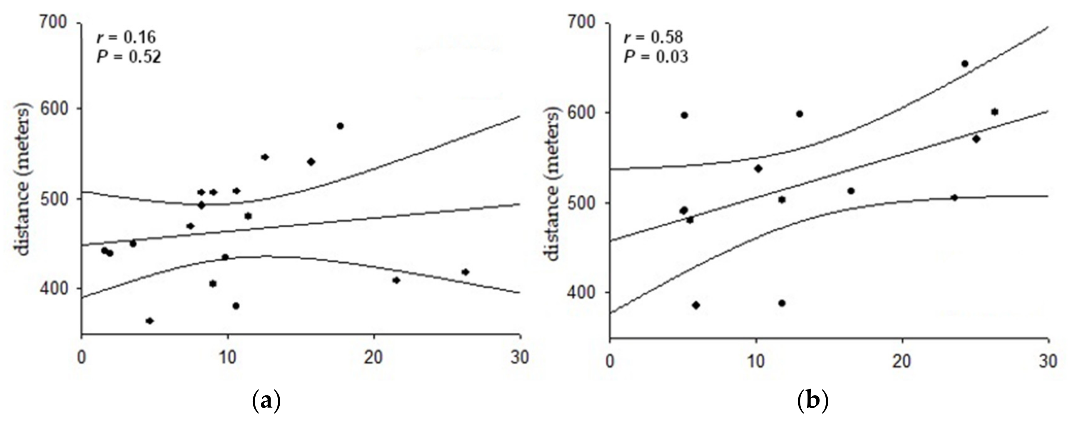
3.3. Functional Capacity
4. Discussion
5. Conclusions
Author Contributions
Funding
Institutional Review Board Statement
Informed Consent Statement
Data Availability Statement
Acknowledgments
Conflicts of Interest
References
- Del Rio, R.; Marcus, N.J.; Inestrosa, N.C. Potential Role of Autonomic Dysfunction in COVID-19 Morbidity and Mortality. Front. Physiol. 2020, 11, 561749. [Google Scholar] [CrossRef] [PubMed]
- Gallo, G.; Calvez, V.; Savoia, C. Hypertension and COVID-19: Current Evidence and Perspectives. High Blood Press. Cardiovasc. Prev. 2022, 29, 115–123. [Google Scholar] [CrossRef] [PubMed]
- Hessami, A.; Shamshirian, A.; Heydari, K.; Pourali, F.; Alizadeh-Navaei, R.; Moosazadeh, M.; Abrotan, S.; Shojaie, L.; Sedighi, S.; Shamshirian, D.; et al. Cardiovascular Diseases Burden in COVID-19: Systematic Review and Meta-Analysis. Am. J. Emerg. Med. 2021, 46, 382–391. [Google Scholar] [CrossRef] [PubMed]
- Ssentongo, P.; Ssentongo, A.E.; Heilbrunn, E.S.; Ba, D.M.; Chinchilli, V.M. Association of Cardiovascular Disease and 10 Other Pre-Existing Comorbidities with COVID-19 Mortality: A Systematic Review and Meta-Analysis. PLoS ONE 2020, 15, e0238215. [Google Scholar] [CrossRef]
- Dhakal, B.P.; Sweitzer, N.K.; Indik, J.H.; Acharya, D.; William, P. SARS-CoV-2 Infection and Cardiovascular Disease: COVID-19 Heart. Heart Lung Circ. 2020, 29, 973–987. [Google Scholar] [CrossRef]
- Silva, R.N.; Goulart, C.D.L.; Oliveira, M.R.; Tacao, G.Y.; Back, G.D.; Severin, R.; Faghy, M.A.; Arena, R.; Borghi-Silva, A. Cardiorespiratory and Skeletal Muscle Damage Due to COVID-19: Making the Urgent Case for Rehabilitation. Expert Rev. Respir. Med. 2021, 15, 1107–1120. [Google Scholar] [CrossRef]
- Mancia, G.; Grassi, G. The Autonomic Nervous System and Hypertension. Circ. Res. 2014, 114, 1804–1814. [Google Scholar] [CrossRef]
- Singh, J.P.; Larson, M.G.; Tsuji, H.; Evans, J.C.; O’Donnell, C.J.; Levy, D. Reduced Heart Rate Variability and New-Onset Hypertension. Hypertension 1998, 32, 293–297. [Google Scholar] [CrossRef]
- Valensi, P. Autonomic Nervous System Activity Changes in Patients with Hypertension and Overweight: Role and Therapeutic Implications. Cardiovasc. Diabetol. 2021, 20, 170. [Google Scholar] [CrossRef]
- Leitzke, M.; Stefanovic, D.; Meyer, J.-J.; Schimpf, S.; Schönknecht, P. Autonomic Balance Determines the Severity of COVID-19 Courses. Bioelectron. Med. 2020, 6, 22. [Google Scholar] [CrossRef]
- Dani, M.; Dirksen, A.; Taraborrelli, P.; Torocastro, M.; Panagopoulos, D.; Sutton, R.; Lim, P.B. Autonomic Dysfunction in ‘Long COVID’: Rationale, Physiology and Management Strategies. Clin. Med. 2021, 21, e63–e67. [Google Scholar] [CrossRef] [PubMed]
- Carfì, A.; Bernabei, R.; Landi, F. Persistent Symptoms in Patients after Acute COVID-19. JAMA 2020, 324, 603. [Google Scholar] [CrossRef] [PubMed]
- Machado, F.V.C.; Meys, R.; Delbressine, J.M.; Vaes, A.W.; Goërtz, Y.M.J.; van Herck, M.; Houben-Wilke, S.; Boon, G.J.A.M.; Barco, S.; Burtin, C.; et al. Construct Validity of the Post-COVID-19 Functional Status Scale in Adult Subjects with COVID-19. Health Qual. Life Outcomes 2021, 19, 40. [Google Scholar] [CrossRef] [PubMed]
- Pedrosa, R.; Holanda, G. Correlation between the Walk, 2-Minute Step and Tug Tests among Hypertensive Older Women. Braz. J. Phys. Ther. 2009, 13, 252–256. [Google Scholar] [CrossRef]
- Barroso, W.K.S.; Rodrigues, C.I.S.; Bortolotto, L.A.; Mota-Gomes, M.A.; Brandão, A.A.; Feitosa, A.D.d.M.; Machado, C.A.; Poli-de-Figueiredo, C.E.; Amodeo, C.; Mion Júnior, D.; et al. Brazilian Guidelines of Hypertension—2020. Arq. Bras. Cardiol. 2021, 116, 516–658. [Google Scholar] [CrossRef]
- Porta, A.; Tobaldini, E.; Guzzetti, S.; Furlan, R.; Montano, N.; Gnecchi-Ruscone, T. Assessment of Cardiac Autonomic Modulation during Graded Head-up Tilt by Symbolic Analysis of Heart Rate Variability. Am. J. Physiol.-Heart Circ. Physiol. 2007, 293, H702–H708. [Google Scholar] [CrossRef]
- Dantas, E.M.; Sant’Anna, M.L.; Andreão, R.V.; Gonçalves, C.P.; Morra, E.A.; Baldo, M.P.; Rodrigues, S.L.; Mill, J.G. Spectral Analysis of Heart Rate Variability with the Autoregressive Method: What Model Order to Choose? Comput. Biol. Med. 2012, 42, 164–170. [Google Scholar] [CrossRef]
- Heart Rate Variability: Standards of Measurement, Physiological Interpretation and Clinical Use. Task Force of the European Society of Cardiology and the North American Society of Pacing and Electrophysiology. Circulation 1996, 93, 1043–1065. [CrossRef]
- Guzzetti, S.; Borroni, E.; Garbelli, P.E.; Ceriani, E.; Bella, P.D.; Montano, N.; Cogliati, C.; Somers, V.K.; Mallani, A.; Porta, A. Symbolic Dynamics of Heart Ratevariability. Circulation 2005, 112, 465–470. [Google Scholar] [CrossRef]
- Porta, A.; Gnecchi-Ruscone, T.; Tobaldini, E.; Guzzetti, S.; Furlan, R.; Montano, N. Progressive Decrease of Heart Period Variability Entropy-Based Complexity during Graded Head-up Tilt. J. Appl. Physiol. 2007, 103, 1143–1149. [Google Scholar] [CrossRef]
- American Thoracic Society. ATS Statement: Guidelines for the Six-Minute Walk Test. Am. J. Respir. Crit. Care Med. 2002, 166, 111–117. [Google Scholar] [CrossRef] [PubMed]
- Holland, A.E.; Spruit, M.A.; Troosters, T.; Puhan, M.A.; Pepin, V.; Saey, D.; McCormack, M.C.; Carlin, B.W.; Sciurba, F.C.; Pitta, F.; et al. An Official European Respiratory Society/American Thoracic Society Technical Standard: Field Walking Tests in Chronic Respiratory Disease. Eur. Respir. J. 2014, 44, 1428–1446. [Google Scholar] [CrossRef] [PubMed]
- Borg, G.A. Psychophysical Bases of Perceived Exertion. Med. Sci. Sports Exerc. 1982, 14, 377–381. [Google Scholar] [CrossRef] [PubMed]
- Iwama, A.M.; Andrade, G.N.; Shima, P.; Tanni, S.E.; Godoy, I.; Dourado, V.Z. The Six-Minute Walk Test and Body Weight-Walk Distance Product in Healthy Brazilian Subjects. Braz. J. Med. Biol. Res. 2009, 42, 1080–1085. [Google Scholar] [CrossRef]
- Dourado, V.Z.; Nishiaka, R.K.; Simões, M.S.M.P.; Lauria, V.T.; Tanni, S.E.; Godoy, I.; Gagliardi, A.R.T.; Romiti, M.; Arantes, R.L. Classification of Cardiorespiratory Fitness Using the Six-Minute Walk Test in Adults: Comparison with Cardiopulmonary Exercise Testing. Pulmonology 2021, 27, 500–508. [Google Scholar] [CrossRef]
- Armitage, P.; Berry, G.; Matthews, J.N.S. Statistical Methods in Medical Research, 4th ed.; Wiley-Blackwell: Hoboken, NJ, USA, 2013; ISBN 978-0-632-05257-8. [Google Scholar]
- Cohen, J. Statistical Power Analysis for the Behavioral Sciences, 2nd ed.; Routledge: New York, NY, USA, 2013; ISBN 9781134742707. [Google Scholar]
- Peroy-Badal, R.; Sevillano-Castaño, A.; Torres-Castro, R.; García-Fernández, P.; Maté-Muñoz, J.L.; Dumitrana, C.; Sánchez Rodriguez, E.; de Frutos Lobo, M.J.; Vilaró, J. Comparison of Different Field Tests to Assess the Physical Capacity of Post-COVID-19 Patients. Pulmonology, 2022; online ahead of print. [Google Scholar] [CrossRef]
- Spruit, M.A.; Holland, A.E.; Singh, S.J.; Tonia, T.; Wilson, K.C.; Troosters, T. COVID-19: Interim Guidance on Rehabilitation in the Hospital and Post-Hospital Phase from a European Respiratory Society- and American Thoracic Society-Coordinated International Task Force. Eur. Respir. J. 2020, 56, 2002197. [Google Scholar] [CrossRef]
- Wong, A.W.; López-Romero, S.; Figueroa-Hurtado, E.; Vazquez-Lopez, S.; Milne, K.M.; Ryerson, C.J.; Guenette, J.A.; Cortés-Telles, A. Predictors of Reduced 6-Minute Walk Distance after COVID-19: A Cohort Study in Mexico. Pulmonology 2021, 27, 563–565. [Google Scholar] [CrossRef]
- Huang, Y.; Tan, C.; Wu, J.; Chen, M.; Wang, Z.; Luo, L.; Zhou, X.; Liu, X.; Huang, X.; Yuan, S.; et al. Impact of Coronavirus Disease 2019 on Pulmonary Function in Early Convalescence Phase. Respir. Res. 2020, 21, 163. [Google Scholar] [CrossRef]
- Bohannon, R.W.; Crouch, R. Minimal Clinically Important Difference for Change in 6-minute Walk Test Distance of Adults with Pathology: A Systematic Review. J. Eval. Clin. Pract. 2017, 23, 377–381. [Google Scholar] [CrossRef]
- Melo, R.C.; Quiterio, R.J.; Takahashi, A.C.M.; Silva, E.; Martins, L.E.B.; Catai, A.M. High Eccentric Strength Training Reduces Heart Rate Variability in Healthy Older Men. Br. J. Sports Med. 2007, 42, 59–63. [Google Scholar] [CrossRef] [PubMed]
- Asarcikli, L.D.; Hayiroglu, M.İ.; Osken, A.; Keskin, K.; Kolak, Z.; Aksu, T. Heart Rate Variability and Cardiac Autonomic Functions in Post-COVID Period. J. Interv. Card. Electrophysiol. 2022, 63, 715–721. [Google Scholar] [CrossRef] [PubMed]
- Kaliyaperumal, D.; RK, K.; Alagesan, M.; Ramalingam, S. Characterization of Cardiac Autonomic Function in COVID-19 Using Heart Rate Variability: A Hospital Based Preliminary Observational Study. J. Basic Clin. Physiol. Pharmacol. 2021, 32, 247–253. [Google Scholar] [CrossRef] [PubMed]
- Marques, K.C.; Silva, C.C.; Trindade, S.d.S.; Santos, M.C.d.S.; Rocha, R.S.B.; Vasconcelos, P.F.d.C.; Quaresma, J.A.S.; Falcão, L.F.M. Reduction of Cardiac Autonomic Modulation and Increased Sympathetic Activity by Heart Rate Variability in Patients with Long COVID. Front. Cardiovasc. Med. 2022, 9, 862001. [Google Scholar] [CrossRef]
- Rodrigues, P.H.; Borges de Oliveira, M.; Cazelato, L.; Federighi Baisi Chagas, E.; Quitério, R.J. The Influence of Risk Factors for Cardiovascular Diseases on Cardiac Autonomic Modulation. Rev. Bras. Ciências Saúde USCS 2016, 14, 34–40. [Google Scholar] [CrossRef]
- Bajić, D.; Đajić, V.; Milovanović, B. Entropy Analysis of COVID-19 Cardiovascular Signals. Entropy 2021, 23, 87. [Google Scholar] [CrossRef]
- De Abreu, R.M.; Cairo, B.; Porta, A. On the Significance of Estimating Cardiorespiratory Coupling Strength in Sports Medicine. Front. Netw. Physiol. 2022, 2, 1114733. [Google Scholar] [CrossRef]
- Thomas, M.; Price, O.J.; Hull, J.H. Pulmonary Function and COVID-19. Curr. Opin. Physiol. 2021, 21, 29–35. [Google Scholar] [CrossRef]
- Dick, T.E.; Hsieh, Y.-H.; Dhingra, R.R.; Baekey, D.M.; Galán, R.F.; Wehrwein, E.; Morris, K.F. Cardiorespiratory Coupling: Common Rhythms in Cardiac, Sympathetic, and Respiratory Activities. Prog. Brain Res. 2014, 209, 191–205. [Google Scholar] [CrossRef]
- Scala, I.; Rizzo, P.A.; Bellavia, S.; Brunetti, V.; Colò, F.; Broccolini, A.; Della Marca, G.; Calabresi, P.; Luigetti, M.; Frisullo, G. Autonomic Dysfunction during Acute SARS-CoV-2 Infection: A Systematic Review. J. Clin. Med. 2022, 11, 3883. [Google Scholar] [CrossRef]
- Natarajan, A.; Shetty, A.; Delanerolle, G.; Zeng, Y.; Zhang, Y.; Raymont, V.; Rathod, S.; Halabi, S.; Elliot, K.; Shi, J.Q.; et al. A Systematic Review and Meta-Analysis of Long COVID Symptoms. Syst. Rev. 2023, 12, 88. [Google Scholar] [CrossRef] [PubMed]


| Variables | Total (N = 40) | SAH + COVID-19 G1 (n = 21) | SAH G2 (n = 19) | p |
|---|---|---|---|---|
| Age 1, years | 53 ± 12 | 53 ± 13 | 53 ± 11 | 1.000 |
| Male gender, n (%) | 22 (55%) | 9 (43%) | 13 (68%) | 0.105 |
| Height 1, meters | 1.65 ± 0.11 | 1.63 ± 0.10 | 1.67 ± 0.12 | 0.258 |
| Total body mass 1, kg | 85.8 ± 18.4 | 87.7 ± 22.4 | 83.9 ± 13.9 | 0.528 |
| Body mass index 1, kg/m2 | 31.4 ± 5.4 | 32.6 ± 6.8 | 29.9 ± 3.4 | 0.126 |
| Antihypertensives use, n (%) | 40 (100%) | 21 (100%) | 19 (100%) | 1.000 |
| Obesity, n (%) | 21 (53%) | 12 (57%) | 9 (47%) | 0.382 |
| Sedentary lifestyle, n (%) | 25 (63%) | 15 (71%) | 10 (53%) | 0.220 |
| Smoking, n (%) | 2 (5%) | 0 (-) | 2 (11%) | 0.127 |
| Hypothyroidism, n (%) | 2 (5%) | 2 (10%) | 0 (-) | 0.168 |
| Dyslipidemia, n (%) | 11 (28%) | 6 (29%) | 5 (26%) | 0.873 |
| Statins use, n (%) | 7 (18%) | 4 (19%) | 3 (16%) | 0.073 |
| Diabetes mellitus, n (%) | 11 (28%) | 6 (29%) | 5 (26%) | 0.873 |
| Hypoglycemics use, n (%) | 11 (28%) | 6 (29%) | 5 (26%) | 0.873 |
| HRV Indices | G1 (n = 21) Mean ± SD | G2 (n = 19) Mean ± SD | p | d |
|---|---|---|---|---|
| Linear analysis | ||||
| Mean iRR, ms | 784.9 ± 109.3 | 848.0 ± 169.9 | 0.291 | 0.44 |
| iRR variance, ms2 | 540.9 ± 484.5 | 787.8 ± 761.1 | 0.343 | 0.39 |
| Spectral analysis | ||||
| LFun, un | 44.1 ± 21.0 | 45.7 ± 21.1 | 0.811 | 0.07 |
| HF, ms | 165.6 ± 192.3 | 298.3 ± 489.4 | 0.725 | 0.36 |
| Non-linear analysis | ||||
| 0V% | 22.1 ± 14.7 | 20.2 ± 12.8 | 0.168 | 0.14 |
| 1V% | 46.4 ± 6.9 | 44.0 ± 4.8 | 0.873 | 0.41 |
| 2LV% | 10.7 ± 6.9 | 13.4 ± 7.8 | 0.073 | 0.36 |
| 2UV% | 20.8 ± 11.9 | 22.4 ± 13.5 | 0.873 | 0.13 |
| Entropy | ||||
| Shannon entropy | 3.51 ± 0.44 | 3.62 ± 0.40 | 0.410 | 0.26 |
| Complexity index | 1.07 ± 0.18 | 1.10 ± 0.19 | 0.660 | 0.16 |
| Normalized complexity index | 0.76 ± 0.09 | 0.74 ± 0.09 | 0.542 | 0.22 |
| Variables | G1 (n = 18) | G2 (n = 14) | MD | p | d | ||
|---|---|---|---|---|---|---|---|
| Baseline | After | Baseline | After | ||||
| Mean ± SD | Mean ± SD | Mean ± SD | Mean ± SD | ||||
| Heart rate frequency, bpm | 79 ± 11 | 106 ± 16 | 74 ± 16 | 102 ± 25 | 4 | 0.580 | 0.19 |
| Systolic blood pressure, mmHg | 135 ± 12 | 137 ± 13 | 129 ± 25 | 132 ± 27 | 5 | 0.600 | 0.24 |
| Diastolic blood pressure, mmHg | 90 ± 9 | 90 ± 10 | 87 ± 18 | 87 ± 19 | 3 | 0.610 | 0.20 |
| Perceived exertion (Borg scale), n | 0 ± 1 | 3 ± 2 | 0 ± 1 | 3 ± 2 | 0 | 0.850 | 0.00 |
| Oxygen saturation (SpO2), % | 98 ± 1 | 97 ± 1 | 95 ± 1 | 95 ± 4 | 2 | 0.333 | 0.68 |
| 6 min walk distance covered, m | - | 464.7 ± 59.5 | - | 522.2 ± 77.6 | −58 | 0.024 | 0.83 |
| Δ predicted and covered, % | - | 85 ± 12 | - | 93 ± 10 | −8 | 0.049 | - |
Disclaimer/Publisher’s Note: The statements, opinions and data contained in all publications are solely those of the individual author(s) and contributor(s) and not of MDPI and/or the editor(s). MDPI and/or the editor(s) disclaim responsibility for any injury to people or property resulting from any ideas, methods, instructions or products referred to in the content. |
© 2023 by the authors. Licensee MDPI, Basel, Switzerland. This article is an open access article distributed under the terms and conditions of the Creative Commons Attribution (CC BY) license (https://creativecommons.org/licenses/by/4.0/).
Share and Cite
Cunha, E.F.D.; Silveira, M.S.; Milan-Mattos, J.C.; Cavalini, H.F.S.; Ferreira, Á.A.; Batista, J.d.S.; Uzumaki, L.C.; Guimarães, J.P.C.; Roriz, P.I.L.; Dantas, F.M.d.N.A.; et al. Cardiac Autonomic Function and Functional Capacity in Post-COVID-19 Individuals with Systemic Arterial Hypertension. J. Pers. Med. 2023, 13, 1391. https://doi.org/10.3390/jpm13091391
Cunha EFD, Silveira MS, Milan-Mattos JC, Cavalini HFS, Ferreira ÁA, Batista JdS, Uzumaki LC, Guimarães JPC, Roriz PIL, Dantas FMdNA, et al. Cardiac Autonomic Function and Functional Capacity in Post-COVID-19 Individuals with Systemic Arterial Hypertension. Journal of Personalized Medicine. 2023; 13(9):1391. https://doi.org/10.3390/jpm13091391
Chicago/Turabian StyleCunha, Edelvita Fernanda Duarte, Matheus Sobral Silveira, Juliana Cristina Milan-Mattos, Heitor Fernandes Silveira Cavalini, Ádrya Aryelle Ferreira, Joice de Souza Batista, Lara Cazé Uzumaki, João Paulo Coelho Guimarães, Pedro Igor Lustosa Roriz, Fabianne Maisa de Novaes Assis Dantas, and et al. 2023. "Cardiac Autonomic Function and Functional Capacity in Post-COVID-19 Individuals with Systemic Arterial Hypertension" Journal of Personalized Medicine 13, no. 9: 1391. https://doi.org/10.3390/jpm13091391
APA StyleCunha, E. F. D., Silveira, M. S., Milan-Mattos, J. C., Cavalini, H. F. S., Ferreira, Á. A., Batista, J. d. S., Uzumaki, L. C., Guimarães, J. P. C., Roriz, P. I. L., Dantas, F. M. d. N. A., Hautala, A. J., de Abreu, R. M., Catai, A. M., Schwingel, P. A., & Neves, V. R. (2023). Cardiac Autonomic Function and Functional Capacity in Post-COVID-19 Individuals with Systemic Arterial Hypertension. Journal of Personalized Medicine, 13(9), 1391. https://doi.org/10.3390/jpm13091391

