Decreased CTRP3 Plasma Concentrations Are Associated with Sepsis and Predict Mortality in Critically Ill Patients
Abstract
1. Introduction
2. Materials and Methods
3. Results
3.1. CTRP3 Plasma Levels Are Significantly Decreased in Critically Ill Patients as Compared with Healthy Controls
3.2. Reduced CTRP3 Plasma Levels in Critically Ill Patients Are Associated with the Presence of Sepsis
3.3. CTRP3 Plasma Levels in Critically Ill Patients Are Not Associated with Diabetes and Obesity
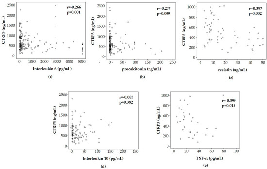
3.4. CTRP3 Levels in Critically Ill Patients Are Inversely Correlated with Biomarkers of Inflammatory Responses in Critically Ill Patients
3.5. Low CTRP3 Plasma Levels in Critically Ill Patients Are Associated with Adverse Prognosis
4. Discussion
5. Conclusions
Author Contributions
Funding
Conflicts of Interest
References
- Van den Berghe, G. Endocrine evaluation of patients with critical illness. Endocrinol. Metab. Clin. 2003, 32, 385–410. [Google Scholar] [CrossRef]
- Alipoor, E.; Mohammad Hosseinzadeh, F.; Hosseinzadeh-Attar, M.J. Adipokines in critical illness: A review of the evidence and knowledge gaps. Biomed. Pharmacother. 2018, 108, 1739–1750. [Google Scholar] [CrossRef] [PubMed]
- Robinson, K.; Prins, J.; Venkatesh, B. Clinical review: Adiponectin biology and its role in inflammation and critical illness. Crit. Care 2011, 15, 221. [Google Scholar] [CrossRef] [PubMed]
- Hillenbrand, A.; Knippschild, U.; Weiss, M.; Schrezenmeier, H.; Henne-Bruns, D.; Huber-Lang, M.; Wolf, A.M. Sepsis induced changes of adipokines and cytokines—Septic patients compared to morbidly obese patients. BMC Surg. 2010, 10, 26. [Google Scholar] [CrossRef] [PubMed]
- Trayhurn, P.; Wood, I.S. Adipokines: Inflammation and the pleiotropic role of white adipose tissue. Br. J. Nutr. 2004, 92, 347–355. [Google Scholar] [CrossRef] [PubMed]
- Lago, F.; Dieguez, C.; Gómez-Reino, J.; Gualillo, O. The emerging role of adipokines as mediators of inflammation and immune responses. Cytokine Growth Factor Rev. 2007, 18, 313–325. [Google Scholar] [CrossRef] [PubMed]
- Frühbeck, G.; Gómez-Ambrosi, J. Control of body weight: A physiologic and transgenic perspective. Diabetologia 2003, 46, 143–172. [Google Scholar] [CrossRef]
- Rodríguez, A.; Ezquerro, S.; Méndez-Giménez, L.; Becerril, S.; Frühbeck, G. Revisiting the adipocyte: A model for integration of cytokine signaling in the regulation of energy metabolism. Am. J. Physiol. Endocrinol. Metab. 2015, 309, E691–E714. [Google Scholar] [CrossRef]
- Andrade-Oliveira, V.; Câmara, N.O.; Moraes-Vieira, P.M. Adipokines as drug targets in diabetes and underlying disturbances. J. Diabetes Res. 2015, 2015, 681612. [Google Scholar] [CrossRef]
- Azamar-Llamas, D.; Hernández-Molina, G.; Ramos-Ávalos, B.; Furuzawa-Carballeda, J. Adipokine Contribution to the Pathogenesis of Osteoarthritis. Mediat. Inflamm. 2017, 2017, 5468023. [Google Scholar] [CrossRef]
- Koch, A.; Weiskirchen, R.; Zimmermann, H.W.; Sanson, E.; Trautwein, C.; Tacke, F. Relevance of serum leptin and leptin-receptor concentrations in critically ill patients. Mediat. Inflamm. 2010, 2010, 473540. [Google Scholar] [CrossRef] [PubMed]
- Koch, A.; Weiskirchen, R.; Sanson, E.; Zimmermann, H.W.; Voigt, S.; Dückers, H.; Trautwein, C.; Tacke, F. Circulating retinol binding protein 4 in critically ill patients before specific treatment: Prognostic impact and correlation with organ function, metabolism and inflammation. Crit. Care 2010, 14, R179. [Google Scholar] [CrossRef] [PubMed]
- Koch, A.; Sanson, E.; Voigt, S.; Helm, A.; Trautwein, C.; Tacke, F. Serum adiponectin upon admission to the intensive care unit may predict mortality in critically ill patients. J. Crit. Care 2011, 26, 166–174. [Google Scholar] [CrossRef] [PubMed]
- Koch, A.; Sanson, E.; Helm, A.; Voigt, S.; Trautwein, C.; Tacke, F. Regulation and prognostic relevance of serum ghrelin concentrations in critical illness and sepsis. Crit. Care 2010, 14, R94. [Google Scholar] [CrossRef] [PubMed]
- Koch, A.; Gressner, O.A.; Sanson, E.; Tacke, F.; Trautwein, C. Serum resistin levels in critically ill patients are associated with inflammation, organ dysfunction and metabolism and may predict survival of non-septic patients. Crit. Care 2009, 13, R95. [Google Scholar] [CrossRef] [PubMed]
- Yagmur, E.; Buergerhausen, D.; Koek, G.H.; Weiskirchen, R.; Trautwein, C.; Koch, A.; Tacke, F. Elevated CTRP1 Plasma Concentration is Associated with Sepsis and Pre-Existing Type 2 Diabetes Mellitus in Critically Ill Patients. J. Clin. Med. 2019, 8, 611. [Google Scholar] [CrossRef]
- Li, Y.; Wright, G.L.; Peterson, J.M. C1q/TNF-Related Protein 3 (CTRP3) Function and Regulation. Compr. Physiol. 2017, 7, 863–878. [Google Scholar]
- Schäffler, A.; Ehling, A.; Neumann, E.; Herfarth, H.; Tarner, I.; Gay, S.; Schölmerich, J.; Müller-Ladner, U. Genomic organization, chromosomal localization and adipocytic expression of the murine gene for CORS-26 (collagenous repeat-containing sequence of 26 kDa protein). Biochim. Biophys. Acta. 2003, 1628, 64–70. [Google Scholar] [CrossRef]
- Schäffler, A.; Weigert, J.; Neumeier, M.; Schölmerich, J.; Buechler, C. Regulation and function of collagenous repeat containing sequence of 26-kDa protein gene product “cartonectin”. Obesity 2007, 15, 303–313. [Google Scholar] [CrossRef]
- Wong, G.W.; Krawczyk, S.A.; Kitidis-Mitrokostas, C.; Revett, T.; Gimeno, R.; Lodish, H.F. Molecular, biochemical and functional characterizations of C1q/TNF family members: Adipose-tissue-selective expression patterns, regulation by PPAR-gamma agonist, cysteine-mediated oligomerizations, combinatorial associations and metabolic functions. Biochem. J. 2008, 416, 161–177. [Google Scholar] [CrossRef]
- Seldin, M.M.; Tan, S.Y.; Wong, G.W. Metabolic function of the CTRP family of hormones. Rev. Endocr. Metab. Disord. 2014, 15, 111–123. [Google Scholar] [CrossRef] [PubMed]
- Chen, L.; Wu, F.; Yuan, S.; Feng, B. Identification and characteristic of three members of the C1q/TNF-related proteins (CTRPs) superfamily in Eudontomyzon morii. Fish Shellfish Immunol. 2016, 59, 233–240. [Google Scholar] [CrossRef] [PubMed]
- Peterson, J.M.; Wei, Z.; Wong, G.W. C1q/TNF-related protein-3 (CTRP3), a novel adipokine that regulates hepatic glucose output. J. Biol. Chem. 2010, 285, 39691–39701. [Google Scholar] [CrossRef] [PubMed]
- Yi, W.; Sun, Y.; Yuan, Y.; Lau, W.B.; Zheng, Q.; Wang, X.; Wang, Y.; Shang, X.; Gao, E.; Koch, W.J.; et al. C1q/tumor necrosis factor-related protein-3, a newly identified adipokine, is a novel antiapoptotic, proangiogenic, and cardioprotective molecule in the ischemic mouse heart. Circulation 2012, 125, 3159–3169. [Google Scholar] [CrossRef] [PubMed]
- Petersen, P.S.; Wolf, R.M.; Lei, X.; Peterson, J.M.; Wong, G.W. Immunomodulatory roles of CTRP3 in endotoxemia and metabolic stress. Physiol. Rep. 2016, 4, e12735. [Google Scholar] [CrossRef] [PubMed]
- Li, X.; Jiang, L.; Yang, M.; Wu, Y.W.; Sun, J.Z.; Sun, S.X. CTRP3 improves the insulin sensitivity of 3T3-L1 adipocytes by inhibiting inflammation and ameliorating insulin signalling transduction. Endokrynol. Pol. 2014, 65, 252–258. [Google Scholar] [CrossRef] [PubMed]
- Koch, A.; Weiskirchen, R.; Kunze, J.; Dückers, H.; Bruensing, J.; Buendgens, L.; Matthes, M.; Luedde, T.; Trautwein, C.; Tacke, F. Elevated asymmetric dimethylarginine levels predict short- and long-term mortality risk in critically ill patients. J. Crit. Care 2013, 28, 947–953. [Google Scholar] [CrossRef]
- Buendgens, L.; Yagmur, E.; Bruensing, J.; Herbers, U.; Baeck, C.; Trautwein, C.; Koch, A.; Tacke, F. Growth Differentiation Factor-15 is a Predictor of Mortality in Critically Ill Patients with Sepsis. Dis. Markers 2017, 2017, 5271203. [Google Scholar] [CrossRef]
- Rhodes, A.; Evans, L.E.; Alhazzani, W.; Levy, M.M.; Antonelli, M.; Ferrer, R.; Kumar, A.; Sevransky, J.E.; Sprung, C.L.; Nunnally, M.E.; et al. Surviving Sepsis Campaign: International Guidelines for Management of Sepsis and Septic Shock: 2016. Intensive Care Med. 2017, 43, 304–377. [Google Scholar] [CrossRef]
- Koch, A.; Voigt, S.; Kruschinski, C.; Sanson, E.; Dückers, H.; Horn, A.; Yagmur, E.; Zimmermann, H.; Trautwein, C.; Tacke, F. Circulating soluble urokinase plasminogen activator receptor is stably elevated during the first week of treatment in the intensive care unit and predicts mortality in critically ill patients. Crit. Care 2011, 15, R63. [Google Scholar] [CrossRef]
- Branca, F.; Nikogosian, H.; Lobstein, T. The Challenge of Obesity in the WHO European Region and the Strategies for Response: Summary. In Copenhagen: World Health Organization, Regional Office for Europe; World Health Organization: Geneva, Switzerland, 2007. [Google Scholar]
- Buendgens, L.; Yagmur, E.; Bruensing, J.; Herbers, U.; Baeck, C.; Trautwein, C.; Koch, A.; Tacke, F. C-terminal proendothelin-1 (CT-proET-1) is associated with organ failure and predicts mortality in critically ill patients. J. Intensive Care 2017, 5, 25. [Google Scholar] [CrossRef] [PubMed]
- Kopp, A.; Bala, M.; Buechler, C.; Falk, W.; Gross, P.; Neumeier, M.; Schölmerich, J.; Schäffler, A. C1q/TNF-related protein-3 represents a novel and endogenous lipopolysaccharide antagonist of the adipose tissue. Endocrinology 2010, 151, 5267–5278. [Google Scholar] [CrossRef] [PubMed]
- Compton, S.A.; Cheatham, B. CTRP-3: Blocking a toll booth to obesity-related inflammation. Endocrinology 2010, 151, 5095–5097. [Google Scholar] [CrossRef] [PubMed]
- Tsai, S.; Clemente-Casares, X.; Revelo, X.S.; Winer, S.; Winer, D.A. Are obesity-related insulin resistance and type 2 diabetes autoimmune diseases? Diabetes 2015, 64, 1886–1897. [Google Scholar] [CrossRef] [PubMed]
- Wilson, M.E.; Barwise, A.; Heise, K.J.; Loftsgard, T.O.; Dziadzko, M.; Cheville, A.; Majzoub, A.; Novotny, P.J.; Gajic, O.; Biehl, M. Long-Term Return to Functional Baseline After Mechanical Ventilation in the ICU. Crit. Care Med. 2018, 46, 562–569. [Google Scholar] [CrossRef] [PubMed]
- Persson, P.B.; Bondke Persson, A. Metabolism, obesity and the metabolic syndrome. Acta Physiol. 2018, 223, e13096. [Google Scholar] [CrossRef] [PubMed]
- Rogero, M.M.; Calder, P.C. Obesity, Inflammation, Toll-Like Receptor 4 and Fatty Acids. Nutrients 2018, 10, 432. [Google Scholar] [CrossRef] [PubMed]
- Wei, W.Y.; Ma, Z.G.; Zhang, N.; Xu, S.C.; Yuan, Y.P.; Zeng, X.F.; Tang, Q.Z. Overexpression of CTRP3 protects against sepsis-induced myocardial dysfunction in mice. Mol. Cell Endocrinol. 2018, 476, 27–36. [Google Scholar] [CrossRef]
- Schmid, A.; Kopp, A.; Hanses, F.; Bala, M.; Müller, M.; Schäffler, A. The novel adipokine C1q/TNF-related protein-3 is expressed in human adipocytes and regulated by metabolic and infection-related parameters. Exp. Clin. Endocrinol. Diabetes 2012, 120, 611–617. [Google Scholar] [CrossRef]
- Zand, H.; Morshedzadeh, N.; Naghashian, F. Signaling pathways linking inflammation to insulin resistance. Diabetes Metab. Syndr. 2017, 11, S307–S309. [Google Scholar] [CrossRef]
- De Felice, F.G.; Ferreira, S.T. Inflammation, defective insulin signaling, and mitochondrial dysfunction as common molecular denominators connecting type 2 diabetes to Alzheimer disease. Diabetes 2014, 63, 2262–2272. [Google Scholar] [CrossRef] [PubMed]
- Peterson, J.M.; Seldin, M.M.; Wei, Z.; Aja, S.; Wong, G.W. CTRP3 attenuates diet-induced hepatic steatosis by regulating triglyceride metabolism. Am. J. Physiol. Gastrointest. Liver Physiol. 2013, 305, G214–G224. [Google Scholar] [CrossRef]
- Wolf, R.M.; Lei, X.; Yang, Z.C.; Nyandjo, M.; Tan, S.Y.; Wong, G.W. CTRP3 deficiency reduces liver size and alters IL-6 and TGFβ levels in obese mice. Am. J. Physiol. Endocrinol. Metab. 2016, 310, E332–E345. [Google Scholar] [CrossRef] [PubMed]
- Choi, K.M.; Hwang, S.Y.; Hong, H.C.; Yang, S.J.; Choi, H.Y.; Yoo, H.J.; Lee, K.W.; Nam, M.S.; Park, Y.S.; Woo, J.T.; et al. C1q/TNF-related protein-3 (CTRP-3) and pigment epithelium-derived factor (PEDF) concentrations in patients with type 2 diabetes and metabolic syndrome. Diabetes 2012, 61, 2932–2936. [Google Scholar] [CrossRef] [PubMed]
- Flehmig, G.; Scholz, M.; Klöting, N.; Fasshauer, M.; Tönjes, A.; Stumvoll, M.; Youn, B.S.; Blüher, M. Identification of adipokine clusters related to parameters of fat mass, insulin sensitivity and inflammation. PLoS ONE 2014, 9, e99785. [Google Scholar] [CrossRef] [PubMed]
- Wagner, R.M.; Sivagnanam, K.; Clark, W.A.; Peterson, J.M. Divergent relationship of circulating CTRP3 levels between obesity and gender: A cross-sectional study. PeerJ 2016, 4, e2573. [Google Scholar] [CrossRef]
- Ban, B.; Bai, B.; Zhang, M.; Hu, J.; Ramanjaneya, M.; Tan, B.K.; Chen, J. Low serum cartonectin/CTRP3 concentrations in newly diagnosed type 2 diabetes mellitus: In vivo regulation of cartonectin by glucose. PLoS ONE 2014, 9, e112931. [Google Scholar] [CrossRef] [PubMed]
- Deng, W.; Li, C.; Zhang, Y.; Zhao, J.; Yang, M.; Tian, M.; Li, L.; Zheng, Y.; Chen, B.; Yang, G. Serum C1q/TNF-related protein-3 (CTRP3) levels are decreased in obesity and hypertension and are negatively correlated with parameters of insulin resistance. Diabetol. Metab. Syndr. 2015, 7, 33. [Google Scholar] [CrossRef] [PubMed]
- Qu, H.; Deng, M.; Wang, H.; Wei, H.; Liu, F.; Wu, J.; Deng, H. Plasma CTRP-3 concentrations in Chinese patients with obesity and type II diabetes negatively correlate with insulin resistance. J. Clin. Lipidol. 2015, 9, 289–294. [Google Scholar] [CrossRef] [PubMed]



| Parameter | All Patients | Non–Sepsis | Sepsis | * p |
|---|---|---|---|---|
| Number (n) | 218 | 73 | 145 | |
| Sex (male/female) (n) | 133/85 | 48/25 | 85/60 | n.s. |
| Age (years) | 64 (18–90) | 61 (18–85) | 65 (20–90) | n.s. |
| APACHE-II score | 18 (2–43) | 13.5 (2–33) | 19 (4–43) | <0.001 |
| SOFA score | 9 (0–19) | 9.5 (2–19) | 7 (0–17) | 0.002 |
| Intensive care unit (ICU) days | 7 (1–137) | 6 (1–45) | 9 (1–137) | 0.004 |
| Death during ICU n (%) | 49 (22.5) | 9 (12.3) | 40 (27.6) | 0.010 |
| Death during follow-up (total) n (%) | 89 (40.8) | 22 (30.1) | 67 (46.2) | 0.026 |
| Mechanical ventilation n (%) | 143 (65.6) | 46 (63) | 97 (66.9) | n.s. |
| Pre-existing diabetes n (%) | 64 (29.4) | 22 (30.1) | 42 (29.0) | n.s. |
| BMI (m2/kg) | 25.8 (14–86) | 25.7 (15.9–40.5) | 25.9 (14–86.5) | n.s. |
| Glucose (mg/dL) | 137 (1–663) | 150 (49–663) | 133 (1–476) | n.s. |
| WBC (x10³/µL) | 13.1 (0.1–208) | 12.5 (1.8–29.6) | 14 (0.1–208) | 0.024 |
| CRP (mg/dL) | 100.5 (5–230) | 17 (5–230) | 164 (5–230) | <0.001 |
| IL-6 (pg/mL) | 150.0 (2–28000) | 66.5 (1.5–5000) | 250 (0.1–28000) | <0.001 |
| Procalcitonin (ng/mL) | 0.7 (0.03–207.5) | 0.2 (0.03–100) | 2.2 (0.1–207.5) | <0.001 |
| Creatinine (mg/dL) | 1.3 (0.1–15) | 1.0 (0.2–15) | 1.5 (0.1–10.7) | 0.017 |
| GFR-Cystatin C (mL/min) | 34 (0–379) | 59 (5–379) | 21.5 (0–218) | <0.001 |
| AST (U/L) | 42 (5–20332) | 47 (11–20332) | 41 (5–7832) | n.s. |
| ALT (U/L) | 30 (5–7867) | 36.5 (7–7867) | 25 (5–5890) | n.s. |
| γ-GT (U/L) | 59 (5–1764) | 56 (10–1764) | 60 (5–5000) | n.s. |
| GLDH (U/L) | 6 (1–5000) | 8 (1–5000) | 5 (1–686) | n.s. |
| AP (U/L) | 82 (5–686) | 77 (2–290) | 86 (5–686) | n.s. |
| PCHE (U/L) | 3997 (10–11001) | 5189 (405–11001) | 3698 (10–10896) | 0.005 |
| Bilirubin, total (mg/dL) | 0.7 (0.1–20.8) | 0.7 (0.1–20.8) | 0.7 (0.1–18.9) | n.s. |
| Albumin (mg/dL) | 28 (0.1–61.4) | 29.1 (1.6–52.2) | 27.1 (0.1–61.4) | n.s. |
| INR | 1.16 (0.92–13) | 1.17 (0.95–6.73) | 1.16 (0.92–13) | n.s. |
| CTRP3 day 1 (ng/mL) | 545.1 (82.9–2395.3) | 758.8 (260.4–2269.1) | 493.4 (82.9–2395.3) | <0.001 |
| Sepsis | Non-Sepsis | |
|---|---|---|
| n = 145 | n = 73 | |
| Bacterial etiology of critical illness (sepsis) Site of infection n (%) | ||
| pulmonary | 72 (50) | |
| abdominal | 28 (19) | |
| urogenital | 11 (8) | |
| other site of infection | 34 (23) | |
| Non-bacterial etiology of critical illness (non-sepsis)n (%) | ||
| cardio-pulmonary disorder | 29 (40) | |
| acute pancreatitis | 10 (14) | |
| acute liver failure | 4 (5.5) | |
| decompensated liver cirrhosis | 9 (12) | |
| severe gastrointestinal hemorrhage | 4 (5.5) | |
| other non-bacterial etiology | 17 (23) |
| ICU Patients | ||
|---|---|---|
| Parameters | r | * p |
| Disease severity | ||
| APACHE-II score | −0.063 | 0.378 |
| SOFA score | −0.237 | 0.007 |
| SAPS2 score | −0.187 | 0.129 |
| Diabetes/insulin resistance | ||
| Glucose | 0.126 | 0.064 |
| Glycosylated hemoglobin A1 | 0.051 | 0.671 |
| C-peptide | −0.281 | 0.020 |
| HOMA-β | −0.371 | 0.002 |
| Inflammatory response | ||
| White blood cell count | −0.148 | 0.029 |
| Lymphocyte count | 0.081 | 0.339 |
| C-reactive protein | −0.390 | <0.001 |
| Procalcitonin | −0.207 | 0.009 |
| TNF-α | −0.399 | 0.018 |
| Interleukin-6 | −0.266 | 0.001 |
| Interleukin 10 | −0.085 | 0.382 |
| suPAR | −0.251 | 0.003 |
| NTproCNP | −0.352 | <0.001 |
| Renal function | ||
| Urea | −0.216 | 0.001 |
| Cardiac function | ||
| NTproBNP | −0.278 | 0.001 |
| Liver function | ||
| Protein | 0.221 | 0.003 |
| Albumin | 0.330 | <0.001 |
| AST | 0.102 | 0.147 |
| ALT | 0.048 | 0.483 |
| Pseudocholinesterase | 0.326 | <0.001 |
| Alkaline phosphatase | −0.145 | 0.039 |
| aPTT | −0.156 | 0.023 |
| Antithrombin III | 0.240 | 0.006 |
| D-dimers | −0.316 | 0.008 |
| Lipid metabolism | ||
| Cholesterol | 0.213 | 0.005 |
| LDL-cholesterol | 0.326 | 0.008 |
| HDL-cholesterol | 0.387 | 0.001 |
| Adipokines | ||
| Resistin | −0.397 | 0.002 |
| Leptin | 0.258 | 0.055 |
| RBP4 | 0.072 | 0.565 |
| Adiponectin | −0.196 | 0.147 |
| Ghrelin | −0.090 | 0.500 |
| CTRP1 | −0.075 | 0.270 |
© 2019 by the authors. Licensee MDPI, Basel, Switzerland. This article is an open access article distributed under the terms and conditions of the Creative Commons Attribution (CC BY) license (http://creativecommons.org/licenses/by/4.0/).
Share and Cite
Yagmur, E.; Otto, S.; Koek, G.H.; Weiskirchen, R.; Trautwein, C.; Koch, A.; Tacke, F. Decreased CTRP3 Plasma Concentrations Are Associated with Sepsis and Predict Mortality in Critically Ill Patients. Diagnostics 2019, 9, 63. https://doi.org/10.3390/diagnostics9020063
Yagmur E, Otto S, Koek GH, Weiskirchen R, Trautwein C, Koch A, Tacke F. Decreased CTRP3 Plasma Concentrations Are Associated with Sepsis and Predict Mortality in Critically Ill Patients. Diagnostics. 2019; 9(2):63. https://doi.org/10.3390/diagnostics9020063
Chicago/Turabian StyleYagmur, Eray, Simone Otto, Ger H. Koek, Ralf Weiskirchen, Christian Trautwein, Alexander Koch, and Frank Tacke. 2019. "Decreased CTRP3 Plasma Concentrations Are Associated with Sepsis and Predict Mortality in Critically Ill Patients" Diagnostics 9, no. 2: 63. https://doi.org/10.3390/diagnostics9020063
APA StyleYagmur, E., Otto, S., Koek, G. H., Weiskirchen, R., Trautwein, C., Koch, A., & Tacke, F. (2019). Decreased CTRP3 Plasma Concentrations Are Associated with Sepsis and Predict Mortality in Critically Ill Patients. Diagnostics, 9(2), 63. https://doi.org/10.3390/diagnostics9020063

