Predictive Accuracy of Ultrasound Biometry and Maternal Factors in Identifying Large-for-Gestational-Age Neonates at 30–34 Weeks
Abstract
1. Introduction
2. Materials and Methods
2.1. Study Details and Population Characteristics
2.2. Statistical Analysis
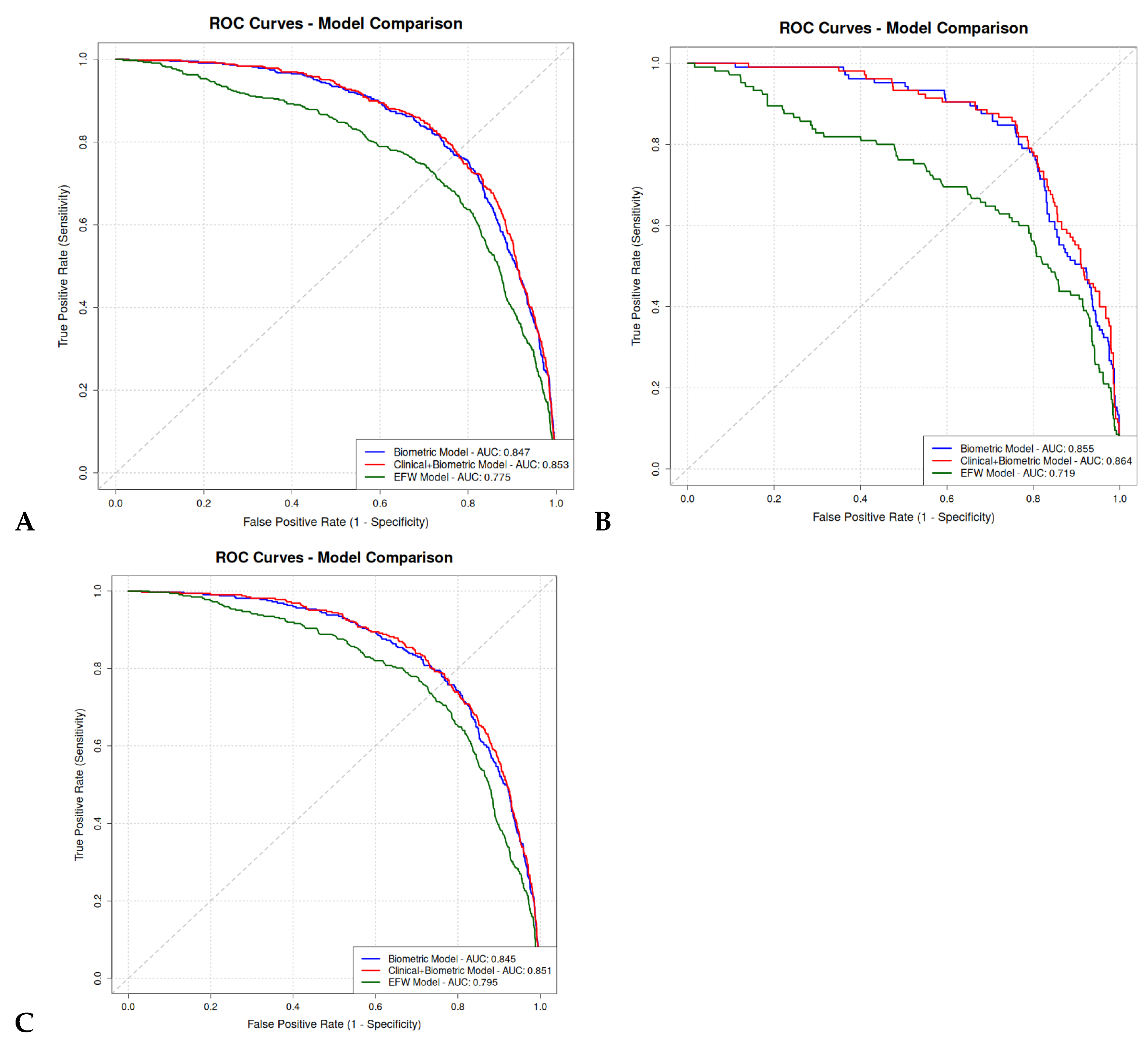
3. Results
4. Discussion
4.1. Primary Findings
4.2. Interpretation of the Results
4.3. Strengths and Limitations
5. Conclusions
Supplementary Materials
Author Contributions
Funding
Institutional Review Board Statement
Informed Consent Statement
Data Availability Statement
Acknowledgments
Conflicts of Interest
References
- Ewington, L.; Black, N.; Leeson, C.; Al Wattar, B.H.; Quenby, S. Multivariable Prediction Models for Fetal Macrosomia and Large for Gestational Age: A Systematic Review. BJOG Int. J. Obstet. Gynaecol. 2024, 131, 1591–1602. [Google Scholar] [CrossRef] [PubMed]
- Blue, N.R.; Yordan, J.M.P.; Holbrook, B.D.; Nirgudkar, P.A.; Mozurkewich, E.L. Abdominal Circumference Alone versus Estimated Fetal Weight after 24 Weeks to Predict Small or Large for Gestational Age at Birth: A Meta-Analysis. Am. J. Perinatol. 2017, 34, 1115–1124. [Google Scholar] [CrossRef]
- Zhao, Y.; Li, D.-Z. Born Large for Gestational Age: Not Just Bigger. Am. J. Obstet. Gynecol. 2023, 228, 366–367. [Google Scholar] [CrossRef]
- Zhang, Y.; Liu, P.; Zhou, W.; Hu, J.; Cui, L.; Chen, Z.-J. Association of Large for Gestational Age with Cardiovascular Metabolic Risks: A Systematic Review and Meta-Analysis. Obesity 2023, 31, 1255–1269. [Google Scholar] [CrossRef] [PubMed]
- Viswanathan, S.; McNelis, K.; Makker, K.; Calhoun, D.; Woo, J.G.; Balagopal, B. Childhood Obesity and Adverse Cardiometabolic Risk in Large for Gestational Age Infants and Potential Early Preventive Strategies: A Narrative Review. Pediatr. Res. 2022, 92, 653–661. [Google Scholar] [CrossRef]
- Vora, N.; Bianchi, D.W. Genetic Considerations in the Prenatal Diagnosis of Overgrowth Syndromes. Prenat. Diagn. 2009, 29, 923–929. [Google Scholar] [CrossRef]
- Boulvain, M.; Senat, M.-V.; Perrotin, F.; Winer, N.; Beucher, G.; Subtil, D.; Bretelle, F.; Azria, E.; Hejaiej, D.; Vendittelli, F.; et al. Induction of Labour versus Expectant Management for Large-for-Date Fetuses: A Randomised Controlled Trial. Lancet 2015, 385, 2600–2605. [Google Scholar] [CrossRef]
- Tsakiridis, I.; Mamopoulos, A.; Athanasiadis, A.; Dagklis, T. Induction of Labor: An Overview of Guidelines. Obstet. Gynecol. Surv. 2020, 75, 61–72. [Google Scholar] [CrossRef]
- Giouleka, S.; Tsakiridis, I.; Ralli, E.; Mamopoulos, A.; Kalogiannidis, I.; Athanasiadis, A.; Dagklis, T. Diagnosis and Management of Macrosomia and Shoulder Dystocia: A Comprehensive Review of Major Guidelines. Obstet. Gynecol. Surv. 2024, 79, 233–241. [Google Scholar] [CrossRef]
- Badr, D.A.; Carlin, A.; Kadji, C.; Kang, X.; Cannie, M.M.; Jani, J.C. Timing of Induction of Labor in Suspected Macrosomia: Retrospective Cohort Study, Systematic Review and Meta-Analysis. Ultrasound Obstet. Gynecol. Off. J. Int. Soc. Ultrasound Obstet. Gynecol. 2024, 64, 443–452. [Google Scholar] [CrossRef] [PubMed]
- Khalil, A.; Sotiriadis, A.; D’Antonio, F.; Da Silva Costa, F.; Odibo, A.; Prefumo, F.; Papageorghiou, A.T.; Salomon, L.J. ISUOG Practice Guidelines: Performance of Third-Trimester Obstetric Ultrasound Scan. Ultrasound Obstet. Gynecol. Off. J. Int. Soc. Ultrasound Obstet. Gynecol. 2024, 63, 131–147. [Google Scholar] [CrossRef]
- Dagklis, T.; Papastefanou, I.; Tsakiridis, I.; Sotiriadis, A.; Makrydimas, G.; Athanasiadis, A. Validation of Fetal Medicine Foundation Competing-Risks Model for Small-for-Gestational-Age Neonate in Early Third Trimester. Ultrasound Obstet. Gynecol. Off. J. Int. Soc. Ultrasound Obstet. Gynecol. 2024, 63, 466–471. [Google Scholar] [CrossRef]
- Fitiri, M.; Papavasileiou, D.; Mesaric, V.; Syngelaki, A.; Akolekar, R.; Nicolaides, K.H. Routine 36-Week Scan: Diagnosis and Outcome of Abnormal Fetal Presentation. Ultrasound Obstet. Gynecol. Off. J. Int. Soc. Ultrasound Obstet. Gynecol. 2025, 65, 154–162. [Google Scholar] [CrossRef]
- Ficara, A.; Syngelaki, A.; Hammami, A.; Akolekar, R.; Nicolaides, K.H. Value of Routine Ultrasound Examination at 35-37 Weeks’ Gestation in Diagnosis of Fetal Abnormalities. Ultrasound Obstet. Gynecol. Off. J. Int. Soc. Ultrasound Obstet. Gynecol. 2020, 55, 75–80. [Google Scholar] [CrossRef] [PubMed]
- Khan, N.; Ciobanu, A.; Karampitsakos, T.; Akolekar, R.; Nicolaides, K.H. Prediction of Large-for-Gestational-Age Neonate by Routine Third-Trimester Ultrasound. Ultrasound Obstet. Gynecol. Off. J. Int. Soc. Ultrasound Obstet. Gynecol. 2019, 54, 326–333. [Google Scholar] [CrossRef] [PubMed]
- Santos, S.; Voerman, E.; Amiano, P.; Barros, H.; Beilin, L.J.; Bergström, A.; Charles, M.-A.; Chatzi, L.; Chevrier, C.; Chrousos, G.P.; et al. Impact of Maternal Body Mass Index and Gestational Weight Gain on Pregnancy Complications: An Individual Participant Data Meta-Analysis of European, North American and Australian Cohorts. BJOG Int. J. Obstet. Gynaecol. 2019, 126, 984–995. [Google Scholar] [CrossRef]
- Malaza, N.; Masete, M.; Adam, S.; Dias, S.; Nyawo, T.; Pheiffer, C. A Systematic Review to Compare Adverse Pregnancy Outcomes in Women with Pregestational Diabetes and Gestational Diabetes. Int. J. Environ. Res. Public Health 2022, 19, 10846. [Google Scholar] [CrossRef] [PubMed]
- Frick, A.P.; Syngelaki, A.; Zheng, M.; Poon, L.C.; Nicolaides, K.H. Prediction of Large-for-Gestational-Age Neonates: Screening by Maternal Factors and Biomarkers in the Three Trimesters of Pregnancy. Ultrasound Obstet. Gynecol. Off. J. Int. Soc. Ultrasound Obstet. Gynecol. 2016, 47, 332–339. [Google Scholar] [CrossRef]
- HAPO Study Cooperative Research Group; Metzger, B.E.; Lowe, L.P.; Dyer, A.R.; Trimble, E.R.; Chaovarindr, U.; Coustan, D.R.; Hadden, D.R.; McCance, D.R.; Hod, M.; et al. Hyperglycemia and Adverse Pregnancy Outcomes. N. Engl. J. Med. 2008, 358, 1991–2002. [Google Scholar] [CrossRef]
- Saini, R.; Bachani, S.; Suri, J.; Gupta, M.; Gupta, A.; Sharma, P.; Debata, P. Comparison of Hadlock and INTERGROWTH-21st Growth Charts for Estimating Fetal Weight in the Third Trimester via Ultrasound. Cureus 2025, 17, e81333. [Google Scholar] [CrossRef]
- Wade, D.T. Ethics, Audit, and Research: All Shades of Grey. BMJ 2005, 330, 468–471. [Google Scholar] [CrossRef]
- Snijders, R.J.; Nicolaides, K.H. Fetal Biometry at 14–40 Weeks’ Gestation. Ultrasound Obstet. Gynecol. Off. J. Int. Soc. Ultrasound Obstet. Gynecol. 1994, 4, 34–48. [Google Scholar] [CrossRef]
- Gómez, O.; Figueras, F.; Fernández, S.; Bennasar, M.; Martínez, J.M.; Puerto, B.; Gratacós, E. Reference Ranges for Uterine Artery Mean Pulsatility Index at 11–41 Weeks of Gestation. Ultrasound Obstet. Gynecol. Off. J. Int. Soc. Ultrasound Obstet. Gynecol. 2008, 32, 128–132. [Google Scholar] [CrossRef]
- Sotiriadis, A.; Figueras, F.; Eleftheriades, M.; Papaioannou, G.K.; Chorozoglou, G.; Dinas, K.; Papantoniou, N. First-Trimester and Combined First- and Second-Trimester Prediction of Small-for-Gestational Age and Late Fetal Growth Restriction. Ultrasound Obstet. Gynecol. Off. J. Int. Soc. Ultrasound Obstet. Gynecol. 2019, 53, 55–61. [Google Scholar] [CrossRef]
- Westerway, S.C. Estimating Fetal Weight for Best Clinical Outcome. Australas. J. Ultrasound Med. 2012, 15, 13–17. [Google Scholar] [CrossRef]
- Jakobsen, J.C.; Gluud, C.; Wetterslev, J.; Winkel, P. When and How Should Multiple Imputation Be Used for Handling Missing Data in Randomised Clinical Trials—A Practical Guide with Flowcharts. BMC Med. Res. Methodol. 2017, 17, 162. [Google Scholar] [CrossRef]
- Collins, G.S.; Reitsma, J.B.; Altman, D.G.; Moons, K.G.M. Transparent Reporting of a Multivariable Prediction Model for Individual Prognosis or Diagnosis (TRIPOD): The TRIPOD Statement. BMJ 2015, 350, g7594. [Google Scholar] [CrossRef]
- Pavlou, M.; Ambler, G.; Seaman, S.R.; Guttmann, O.; Elliott, P.; King, M.; Omar, R.Z. How to Develop a More Accurate Risk Prediction Model When There Are Few Events. BMJ 2015, 351, h3868. [Google Scholar] [CrossRef] [PubMed]
- Yin, B.; Hu, L.; Wu, K.; Sun, Y.; Meng, X.; Zheng, W.; Zhu, B. Maternal Gestational Weight Gain and Adverse Pregnancy Outcomes in Non-Diabetic Women. J. Obstet. Gynaecol. J. Inst. Obstet. Gynaecol. 2023, 43, 2255010. [Google Scholar] [CrossRef]
- Goldstein, R.F.; Abell, S.K.; Ranasinha, S.; Misso, M.; Boyle, J.A.; Black, M.H.; Li, N.; Hu, G.; Corrado, F.; Rode, L.; et al. Association of Gestational Weight Gain With Maternal and Infant Outcomes: A Systematic Review and Meta-Analysis. JAMA 2017, 317, 2207–2225. [Google Scholar] [CrossRef]
- Yang, W.; Liu, J.; Li, J.; Liu, J.; Liu, H.; Wang, Y.; Leng, J.; Wang, S.; Chen, H.; Chan, J.C.N.; et al. Interactive Effects of Prepregnancy Overweight and Gestational Diabetes on Macrosomia and Large for Gestational Age: A Population-Based Prospective Cohort in Tianjin, China. Diabetes Res. Clin. Pract. 2019, 154, 82–89. [Google Scholar] [CrossRef]
- Rosen, H.; Shmueli, A.; Ashwal, E.; Hiersch, L.; Yogev, Y.; Aviram, A. Delivery Outcomes of Large-for-Gestational-Age Newborns Stratified by the Presence or Absence of Gestational Diabetes Mellitus. Int. J. Gynaecol. Obstet. Off. Organ Int. Fed. Gynaecol. Obstet. 2018, 141, 120–125. [Google Scholar] [CrossRef] [PubMed]
- Lwin, M.W.; Timby, E.; Ivarsson, A.; Eurenius, E.; Vaezghasemi, M.; Silfverdal, S.-A.; Lindkvist, M. Abnormal Birth Weights for Gestational Age in Relation to Maternal Characteristics in Sweden: A Five Year Cross-Sectional Study. BMC Public Health 2023, 23, 976. [Google Scholar] [CrossRef]
- American College of Obstetricians and Gynecologists. Practice Bulletin No. 173: Fetal Macrosomia. Obstet. Gynecol. 2016, 128, e195–e209. [Google Scholar] [CrossRef]
- Lei, F.; Zhang, L.; Shen, Y.; Zhao, Y.; Kang, Y.; Qu, P.; Mi, B.; Dang, S.; Yan, H. Association between Parity and Macrosomia in Shaanxi Province of Northwest China. Ital. J. Pediatr. 2020, 46, 24. [Google Scholar] [CrossRef]
- Moraitis, A.A.; Shreeve, N.; Sovio, U.; Brocklehurst, P.; Heazell, A.E.P.; Thornton, J.G.; Robson, S.C.; Papageorghiou, A.; Smith, G.C. Universal Third-Trimester Ultrasonic Screening Using Fetal Macrosomia in the Prediction of Adverse Perinatal Outcome: A Systematic Review and Meta-Analysis of Diagnostic Test Accuracy. PLoS Med. 2020, 17, e1003190. [Google Scholar] [CrossRef] [PubMed]
- Rathcke, S.L.; Sinding, M.M.; Christensen, T.T.; Uldbjerg, N.; Christiansen, O.B.; Kornblad, J.; Søndergaard, K.H.; Krogh, S.; Sørensen, A.N.W. Prediction of Large-for-Gestational-Age at Birth Using Fetal Biometry in Type 1 and Type 2 Diabetes: A Retrospective Cohort Study. Int. J. Gynaecol. Obstet. Off. Organ Int. Fed. Gynaecol. Obstet. 2024, 167, 695–704. [Google Scholar] [CrossRef]
- Zhi, R.; Tao, X.; Li, Q.; Yu, M.; Li, H. Association between Transabdominal Uterine Artery Doppler and Small-for-Gestational-Age: A Systematic Review and Meta-Analysis. BMC Pregnancy Childbirth 2023, 23, 659. [Google Scholar] [CrossRef] [PubMed]
- Ip, P.N.P.; Nguyen-Hoang, L.; Chaemsaithong, P.; Guo, J.; Wang, X.; Sahota, D.S.; Chung, J.P.W.; Poon, L.C.Y. Ultrasonographic Placental Parameters at 11–13+6 Weeks’ Gestation in the Prediction of Complications in Pregnancy after Assisted Reproductive Technology. Taiwan. J. Obstet. Gynecol. 2024, 63, 341–349. [Google Scholar] [CrossRef]
- Weschenfelder, F.; Baum, N.; Lehmann, T.; Schleußner, E.; Groten, T. The Relevance of Fetal Abdominal Subcutaneous Tissue Recording in Predicting Perinatal Outcome of GDM Pregnancies: A Retrospective Study. J. Clin. Med. 2020, 9, 3375. [Google Scholar] [CrossRef]
- Erkamp, J.S.; Voerman, E.; Steegers, E.A.P.; Mulders, A.G.M.G.J.; Reiss, I.K.M.; Duijts, L.; Jaddoe, V.W.V.; Gaillard, R. Second and Third Trimester Fetal Ultrasound Population Screening for Risks of Preterm Birth and Small-Size and Large-Size for Gestational Age at Birth: A Population-Based Prospective Cohort Study. BMC Med. 2020, 18, 63. [Google Scholar] [CrossRef] [PubMed]
- Pilalis, A.; Souka, A.P.; Papastefanou, I.; Michalitsi, V.; Panagopoulos, P.; Chrelias, C.; Kassanos, D. Third Trimester Ultrasound for the Prediction of the Large for Gestational Age Fetus in Low-Risk Population and Evaluation of Contingency Strategies. Prenat. Diagn. 2012, 32, 846–853. [Google Scholar] [CrossRef] [PubMed]


| Characteristics | Non-LGA (3377) | LGA (431) | p-Value |
|---|---|---|---|
| AC centile | 35.9 (23.8,50.5) | 62.5 (50.3,76.4) | <0.0001 |
| HC centile | 32.2 (18.0,50.1) | 53.7 (38.8,71.3) | <0.0001 |
| FL centile | 36.3 (20.0,55.7) | 56.2 (37.3,74.2) | <0.0001 |
| HC/AC centile | 29.81 (3.35,77.54) | 3.09 (0.084,29.25) | <0.0001 |
| mUtA-PI centile | 56.3 (41.7,73.5) | 50.3 (36.7,63.4) | <0.0001 |
| Polyhydramnios | 2 (0.059%) | 5 (1.16%) | <0.0001 |
| Pre-pregnancy BMI | 22.7 (20.7,26.0) | 24.1 (21.8,27.7) | <0.0001 |
| Maternal Age | 32.57 (±5.2) | 32.58 (±5.4) | 0.98 |
| Bilateral UtA notch | 20 (0.5%) | 0 (0%) | - |
| Left UtA notch | 49 (1.4%) | 1 (0.2%) | 0.062 |
| Right UtA notch | 38 (1.1%) | 1 (0.2%) | 0.14 |
| No UtA notch | 3270 (96.8%) | 429 (99.5%) | 0.003 |
| PCS | 432 (12.7%) | 83 (19.2%) | <0.0001 |
| GDM | 613 (18.1%) | 100 (23.2%) | 0.014 |
| ART | 238 (7.0%) | 32 (7.4%) | 0.85 |
| Multiparity | 1243 (36.8%) | 193 (44.7%) | 0.002 |
| Pre-existing DM | 10 (0.2%) | 10 (2.3%) | <0.0001 |
| Smoking | 383 (11.3%) | 47 (10.9%) | 0.85 |
| Hypothyroidism | 415 (12.2%) | 65 (15.0%) | 0.12 |
| Chronic hypertension | 35 (1.0%) | 2 (0.4%) | 0.38 |
| Measured Variables | aOR (95% CI) | p-Value |
|---|---|---|
| AC centile | 1.07 (1.06,1.08) | <0.0001 |
| HC/AC centile | 1.01 (1.006,1.01) | <0.0001 |
| FL centile | 1.01 (1.009,1.01) | <0.0001 |
| mUtA-PI centile | 0.98 (0.98,0.99) | <0.0001 |
| Polyhydramnios | 4.97 (0.7,58.8) | 0.14 |
| Model 1 | Model2 | Model 3 | |
|---|---|---|---|
| Sensitivity | 23.4 [19.6,27.6] | 23.4 [19.5,27.6] | 7.4 [5.3,10.3] |
| Specificity | 98.2 [97.7,98.6] | 98.2 [97.7,98.6] | 99.2 [98.8,99.4] |
| PPV | 64.1 [56.3,71.2] | 63.6 [55.9,70.8] | 55.1 [42.4,67.2] |
| NPV | 90.8 [89.8,91.7] | 90.8 [89.8,91.7] | 89.2 [88.1,90.1] |
| AUC | 84.7 [8.9,86.5] | 85.3 [83.5,87.1] | 77.5 [75.1,79.9] |
| Post hoc power analysis | 1 | 1 | 1 |
| Systematic error of ROC curve | 4.04 × 10−15 | 8.08 × 10−15 | −1.07 × 10−15 |
| Calibration slope | 1 | 1 | 1 |
| Model 1 | Model 2 | Model 3 | |||||||
|---|---|---|---|---|---|---|---|---|---|
| Apparent | Optimism | Corrected | Apparent | Optimism | Corrected | Apparent | Optimism | Corrected | |
| AUC | 84.7 | 0.06 | 84.6 | 85.3 | 0.5 | 84.8 | 77.5 | 0.03 | 77.5 |
| Brier Score | 0.08 | −0.0003 | 0.08 | 0.07 | −0.001 | 0.08 | 0.08 | −0.0001 | 0.08 |
| Calibration Slope | 1 | 0.01 | 0.98 | 1 | 0.03 | 0.96 | 1 | −0.0023 | 1.002 |
| Sensitivity | 23.4 | 0.1 | 23.2 | 23.4 | 0.7 | 22.7 | 7.4 | 0.04 | 7.4 |
| Specificity | 98.2 | 0.02 | 98.2 | 98.2 | 0.06 | 98.1 | 99.2 | 0.001 | 99.2 |
| PPV | 64.1 | 0.3 | 63.6 | 61.1 | 1.4 | 62.2 | 55.1 | −0.4 | 55.5 |
| NPV | 90.8 | 0.005 | 90.8 | 90.8 | 0.08 | 90.7 | 89.2 | 0.009 | 89.1 |
| Training n (LGA) | Test n (LGA) | Training AUC (%) | Test AUC (%) | Difference AUC (%) | |
|---|---|---|---|---|---|
| Model 1 | 2599 (291) | 1118 (136) | 83.8 | 86.7 (83.7,89.6) | −2.9 |
| Model 2 | 2599 (291) | 1118 (136) | 84.4 | 87 (84.3,89.8) | −2.6 |
| Model 3 | 2599 (291) | 1118 (136) | 76.3 | 80.7 (76.7,84.7) | −4.4 |
| Analysis Approach | Representation of Fetal Biometry | Included Variables | AUC (%) |
|---|---|---|---|
| Main model | Gestational age-adjusted centiles | AC centile, HC/AC centile, FL centile, mUtA-PI centile, and polyhydramnios. | 84.7 |
| Sensitivity model | Raw measurements | AC (mm), HC (mm), FL (mm), gestational age (days), mUtA-PI (raw), and polyhydramnios. | 85.5 |
| Absolute difference | 0.7 |
Disclaimer/Publisher’s Note: The statements, opinions and data contained in all publications are solely those of the individual author(s) and contributor(s) and not of MDPI and/or the editor(s). MDPI and/or the editor(s) disclaim responsibility for any injury to people or property resulting from any ideas, methods, instructions or products referred to in the content. |
© 2026 by the authors. Licensee MDPI, Basel, Switzerland. This article is an open access article distributed under the terms and conditions of the Creative Commons Attribution (CC BY) license.
Share and Cite
Bais, V.; Tranidou, A.; Siargkas, A.; Stavros, S.; Potiris, A.; Sioutis, D.; Christodoulaki, C.; Athanasiadis, A.; Mamopoulos, A.; Tsakiridis, I.; et al. Predictive Accuracy of Ultrasound Biometry and Maternal Factors in Identifying Large-for-Gestational-Age Neonates at 30–34 Weeks. Diagnostics 2026, 16, 187. https://doi.org/10.3390/diagnostics16020187
Bais V, Tranidou A, Siargkas A, Stavros S, Potiris A, Sioutis D, Christodoulaki C, Athanasiadis A, Mamopoulos A, Tsakiridis I, et al. Predictive Accuracy of Ultrasound Biometry and Maternal Factors in Identifying Large-for-Gestational-Age Neonates at 30–34 Weeks. Diagnostics. 2026; 16(2):187. https://doi.org/10.3390/diagnostics16020187
Chicago/Turabian StyleBais, Vasileios, Antigoni Tranidou, Antonios Siargkas, Sofoklis Stavros, Anastasios Potiris, Dimos Sioutis, Chryssi Christodoulaki, Apostolos Athanasiadis, Apostolos Mamopoulos, Ioannis Tsakiridis, and et al. 2026. "Predictive Accuracy of Ultrasound Biometry and Maternal Factors in Identifying Large-for-Gestational-Age Neonates at 30–34 Weeks" Diagnostics 16, no. 2: 187. https://doi.org/10.3390/diagnostics16020187
APA StyleBais, V., Tranidou, A., Siargkas, A., Stavros, S., Potiris, A., Sioutis, D., Christodoulaki, C., Athanasiadis, A., Mamopoulos, A., Tsakiridis, I., & Dagklis, T. (2026). Predictive Accuracy of Ultrasound Biometry and Maternal Factors in Identifying Large-for-Gestational-Age Neonates at 30–34 Weeks. Diagnostics, 16(2), 187. https://doi.org/10.3390/diagnostics16020187

