Observational Management for Patients with Biochemical Recurrence Following Radical Prostatectomy, in the Absence of Detectable Disease on Restaging PSMA PET/CT Imaging
Abstract
1. Introduction
2. Methods
2.1. Study Design and Data Collection
2.2. Objectives
2.3. PSMA PET/CT Imaging and Interpretation
2.4. Follow-Up
2.5. Statistical Analysis
3. Results
3.1. Baseline Characteristics
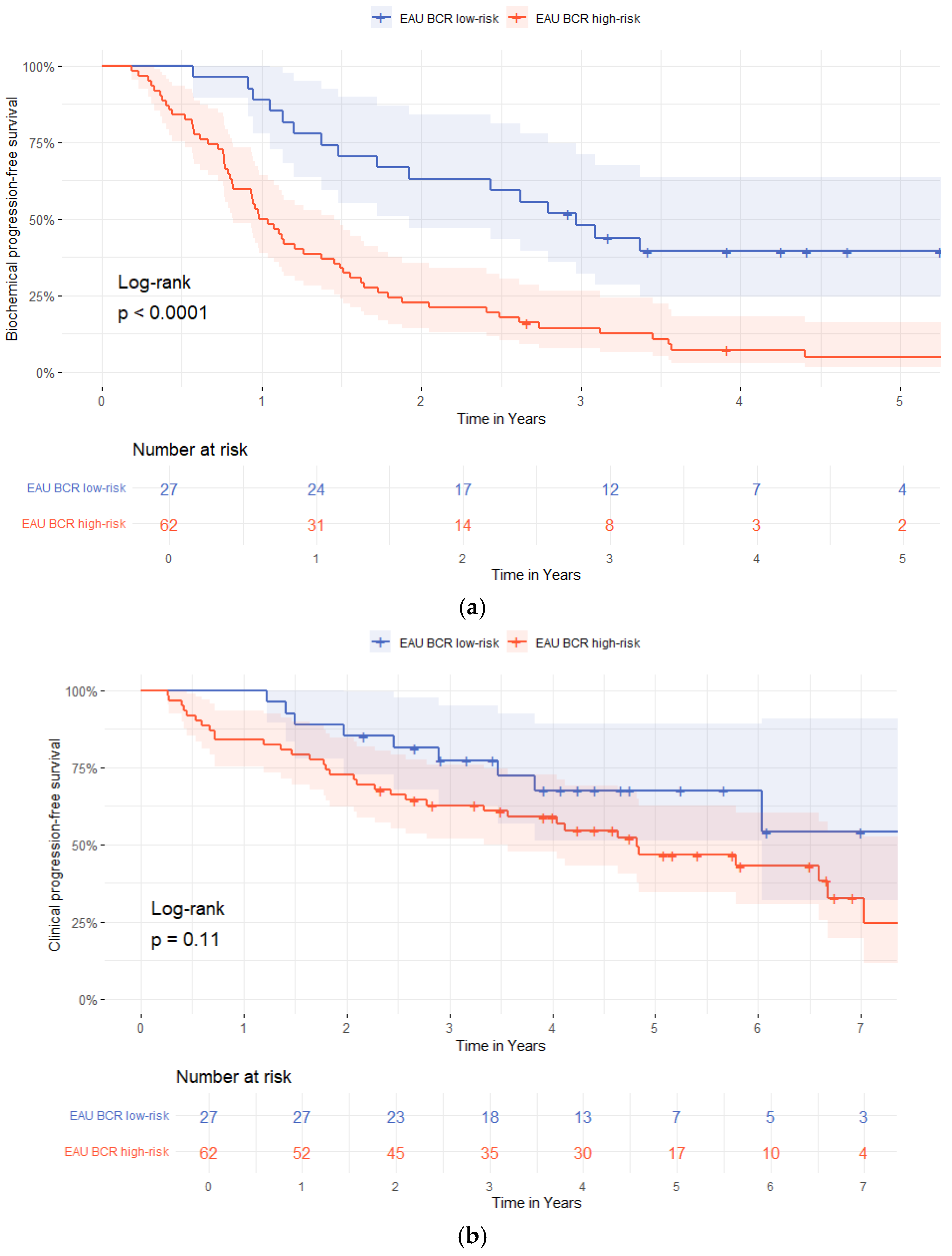
3.2. Biochemical Progression
3.3. Predictors of Biochemical Progression
3.4. The Role of Prostate-Specific Antigen Doubling Time After a Radical Prostatectomy
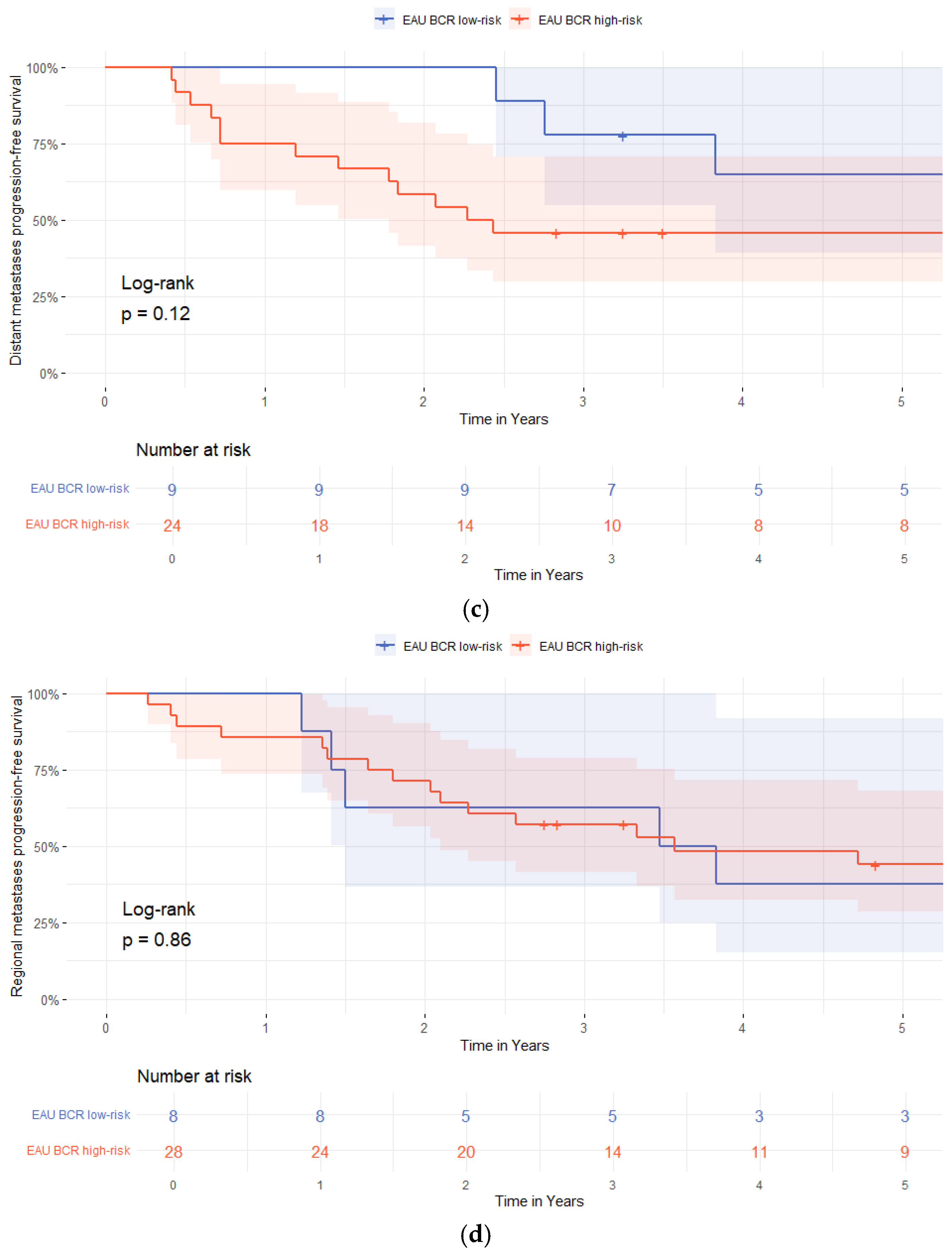
3.5. Radiological Progression
3.6. Predictors of Radiological Progression
3.7. Treatment Changes
4. Discussion
5. Conclusions
Author Contributions
Funding
Institutional Review Board Statement
Informed Consent Statement
Data Availability Statement
Conflicts of Interest
References
- Bray, F.; Laversanne, M.; Sung, H.; Ferlay, J.; Siegel, R.L.; Soerjomataram, I.; Jemal, A. Global cancer statistics 2022: GLOBOCAN estimates of incidence and mortality worldwide for 36 cancers in 185 countries. CA A Cancer J. Clin. 2024, 74, 229–263. [Google Scholar] [CrossRef]
- Falagario, U.G.; Abbadi, A.; Remmers, S.; Björnebo, L.; Bogdanovic, D.; Martini, A.; Valdman, A.; Carrieri, G.; Menon, M.; Akre, O.; et al. Biochemical Recurrence and Risk of Mortality Following Radiotherapy or Radical Prostatectomy. JAMA Netw. Open 2023, 6, e2332900. [Google Scholar] [CrossRef]
- Cornford, P.; van den Bergh, R.C.N.; Briers, E.; van den Broeck, T.; Cumberbatch, M.G.; De Santis, M.; Fanti, S.; Fossati, N.; Gandaglia, G.; Gillessen, S.; et al. EAU-EANM-ESTRO-ESUR-SIOG guidelines on prostate cancer. Part II—2020 update: Treatment of relapsing and metastatic prostate cancer. Eur. Urol. 2021, 79, 263–282. [Google Scholar] [CrossRef] [PubMed]
- Boorjian, S.A.; Karnes, R.J.; Crispen, P.L.; Rangel, L.J.; Bergstralh, E.J.; Blute, M.L. Radiation therapy after radical prostatectomy: Impact on metastasis and survival. J. Urol. 2009, 182, 2708–2714. [Google Scholar] [CrossRef] [PubMed]
- Kneebone, A.; Fraser-Browne, C.; Delprado, W.; Duchesne, G.; Fisher, R.; Frydenberg, M.; Haworth, A.; Herschtal, A.; Joseph, D.; Lim, T.; et al. A Phase III Multi-Centre Randomised Trial comparing adjuvant versus early salvage Radiotherapy following a Radical Prostatectomy: Results of the TROG 08.03 and ANZUP “RAVES” Trial. Int. J. Radiat. Oncol. 2019, 105, S37–S38. [Google Scholar] [CrossRef]
- Trock, B.J.; Han, M.; Freedland, S.J.; Humphreys, E.B.; DeWeese, T.L.; Partin, A.W.; Walsh, P.C. Prostate cancer–specific survival following salvage radiotherapy vs observation in men with biochemical recurrence after radical prostatectomy. JAMA 2008, 299, 2760–2769. [Google Scholar] [CrossRef]
- Ohri, N.; Dicker, A.P.; Showalter, T.N. Late toxicity rates following definitive radiotherapy for prostate cancer. Can. J. Urol. 2012, 19, 6373–6380. [Google Scholar]
- Broeck, T.V.D.; Bergh, R.C.v.D.; Arfi, N.; Gross, T.; Moris, L.; Briers, E.; Cumberbatch, M.; De Santis, M.; Tilki, D.; Fanti, S.; et al. Prognostic Value of Biochemical Recurrence Following Treatment with Curative Intent for Prostate Cancer: A Systematic Review. Eur. Urol. 2019, 75, 967–987. [Google Scholar] [CrossRef]
- Tilki, D.; Preisser, F.; Graefen, M.; Huland, H.; Pompe, R.S. External Validation of the European Association of Urology Biochemical Recurrence Risk Groups to Predict Metastasis and Mortality After Radical Prostatectomy in a European Cohort. Eur. Urol. 2019, 75, 896–900. [Google Scholar] [CrossRef]
- van Leeuwen, P.J.; Stricker, P.; Hruby, G.; Kneebone, A.; Ting, F.; Thompson, B.; Nguyen, Q.; Ho, B.; Emmett, L. 68 Ga-PSMA has a high detection rate of prostate cancer recurrence outside the prostatic fossa in patients being considered for salvage radiation treatment. BJU Int. 2016, 117, 732–739. [Google Scholar] [CrossRef]
- Fendler, W.P.; Calais, J.; Eiber, M.; Flavell, R.R.; Mishoe, A.; Feng, F.Y.; Nguyen, H.G.; Reiter, R.E.; Rettig, M.B.; Okamoto, S.; et al. Assessment of 68Ga-PSMA-11 PET Accuracy in Localizing Recurrent Prostate Cancer: A Prospective Single-Arm Clinical Trial. JAMA Oncol. 2019, 5, 856–863. [Google Scholar] [CrossRef] [PubMed]
- Wondergem, M.; Jansen, B.H.E.; van der Zant, F.M.; van der Sluis, T.M.; Knol, R.J.J.; van Kalmthout, L.W.M.; Hoekstra, O.S.; van Moorselaar, R.J.A.; Oprea-Lager, D.E.; Vis, A.N. Early lesion detection with 18F-DCFPyL PET/CT in 248 patients with biochemically recurrent prostate cancer. Eur. J. Nucl. Med. Mol. Imaging 2019, 46, 1911–1918. [Google Scholar] [CrossRef] [PubMed]
- Perera, M.; Papa, N.; Roberts, M.; Williams, M.; Udovicich, C.; Vela, I.; Christidis, D.; Bolton, D.; Hofman, M.S.; Lawrentschuk, N.; et al. Gallium-68 Prostate-specific Membrane Antigen Positron Emission Tomography in Advanced Prostate Cancer—Updated Diagnostic Utility, Sensitivity, Specificity, and Distribution of Prostate-specific Membrane Antigen-avid Lesions: A Systematic Review and Meta-analysis. Eur. Urol. 2019, 77, 403–417. [Google Scholar] [CrossRef] [PubMed]
- Emmett, L.; van Leeuwen, P.J.; Nandurkar, R.; Scheltema, M.J.; Cusick, T.; Hruby, G.; Kneebone, A.; Eade, T.; Fogarty, G.; Jagavkar, R.; et al. Treatment Outcomes from 68Ga-PSMA PET/CT–Informed Salvage Radiation Treatment in Men with Rising PSA After Radical Prostatectomy: Prognostic Value of a Negative PSMA PET. J. Nucl. Med. 2017, 58, 1972–1976. [Google Scholar] [CrossRef]
- Hope, T.A.; Aggarwal, R.; Chee, B.; Tao, D.; Greene, K.L.; Cooperberg, M.R.; Feng, F.; Chang, A.; Ryan, C.J.; Small, E.J.; et al. Impact of 68Ga-PSMA-11 PET on Management in Patients with Biochemically Recurrent Prostate Cancer. J. Nucl. Med. 2017, 58, 1956–1961. [Google Scholar] [CrossRef]
- Eiber, M.; Maurer, T.; Souvatzoglou, M.; Beer, A.J.; Ruffani, A.; Haller, B.; Graner, F.-P.; Kübler, H.; Haberhorn, U.; Eisenhut, M.; et al. Evaluation of Hybrid 68Ga-PSMA Ligand PET/CT in 248 Patients with Biochemical Recurrence After Radical Prostatectomy. J. Nucl. Med. 2015, 56, 668–674. [Google Scholar] [CrossRef]
- Emmett, L.; Tang, R.; Nandurkar, R.H.; Hruby, G.; Roach, P.J.; Watts, J.A.; Cusick, T.; Kneebone, A.; Ho, B.; Chan, L.; et al. 3-year freedom from progression following 68GaPSMA PET CT triaged management in men with biochemical recurrence post radical prostatectomy: Results of a prospective multi-center trial. J. Nucl. Med. 2020, 61, 866–872. [Google Scholar] [CrossRef]
- Calais, J.; Fendler, W.P.; Eiber, M.; Gartmann, J.; Chu, F.-I.; Nickols, N.G.; Reiter, R.E.; Rettig, M.B.; Marks, L.S.; Ahlering, T.E.; et al. Impact of 68Ga-PSMA-11 PET/CT on the Management of Prostate Cancer Patients with Biochemical Recurrence. J. Nucl. Med. 2018, 59, 434–441. [Google Scholar] [CrossRef]
- Meijer, D.; Eppinga, W.S.; Mohede, R.M.; Vanneste, B.G.; Meijnen, P.; Meijer, O.W.; Daniels, L.A.; Bergh, R.C.v.D.; Lont, A.P.; Ettema, R.H.; et al. Prostate-specific Membrane Antigen Positron Emission Tomography/Computed Tomography Is Associated with Improved Oncological Outcome in Men Treated with Salvage Radiation Therapy for Biochemically Recurrent Prostate Cancer. Eur. Urol. Oncol. 2022, 5, 146–152. [Google Scholar] [CrossRef]
- Meijer, D.; van Leeuwen, P.J.; Eppinga, W.S.; Vanneste, B.G.; Meijnen, P.; Daniels, L.A.; Bergh, R.C.v.D.; Lont, A.P.; Bodar, Y.J.; Ettema, R.H.; et al. Development and Internal Validation of a Novel Nomogram Predicting the Outcome of Salvage Radiation Therapy for Biochemical Recurrence after Radical Prostatectomy in Patients without Metastases on Restaging Prostate-specific Membrane Antigen Positron Emission Tomography/Computed Tomography. Eur. Urol. Open Sci. 2024, 61, 37–43. [Google Scholar] [CrossRef]
- Boellaard, R.; Delgado-Bolton, R.; Oyen, W.J.G.; Giammarile, F.; Tatsch, K.; Eschner, W.; Verzijlbergen, F.J.; Barrington, S.F.; Pike, L.C.; Weber, W.A.; et al. FDG PET/CT: EANM procedure guidelines for tumour imaging: Version 2.0. Eur. J. Nucl. Med. Mol. Imaging 2015, 42, 328–354. [Google Scholar] [CrossRef]
- Ceci, F.; Oprea-Lager, D.E.; Emmett, L.; Adam, J.A.; Bomanji, J.; Czernin, J.; Eiber, M.; Haberkorn, U.; Hofman, M.S.; Hope, T.A.; et al. E-PSMA: The EANM standardized reporting guidelines v1.0 for PSMA-PET. Eur. J. Nucl. Med. Mol. Imaging 2021, 48, 1626–1638. [Google Scholar] [CrossRef]
- Purysko, A.S.; Abreu, A.L.; Lin, D.W.; Punnen, S. Not All Prostate-Specific Membrane Antigen Imaging Agents Are Created Equal: Diagnostic Accuracy of Ga-68 PSMA-11 PET/CT for Initial and Recurrent Prostate Cancer. Appl. Radiol. 2024, 53, 22–35. [Google Scholar] [CrossRef]
- Celli, M.; De Giorgi, U.; Caroli, P.; Di Iorio, V.; Fantini, L.; Rossetti, V.; Foca, F.; Nicolini, S.; Giganti, M.; Paganelli, G.; et al. Clinical value of negative 68Ga-PSMA PET/CT in the management of biochemical recurrent prostate cancer patients. Eur. J. Nucl. Med. Mol. Imaging 2021, 48, 87–94. [Google Scholar] [CrossRef]
- Harsini, S.; Martineau, P.; Plaha, S.; Saprunoff, H.; Chen, C.; Bishop, J.; Tyldesley, S.; Wilson, D.; Bénard, F. Prognostic significance of a negative PSMA PET/CT in biochemical recurrence of prostate cancer. Cancer Imaging 2024, 24, 117. [Google Scholar] [CrossRef] [PubMed]
- Bianchi, L.; Ceci, F.; Costa, F.; Balestrazzi, E.; Droghetti, M.; Piazza, P.; Pissavini, A.; Mei, R.; Farolfi, A.; Castellucci, P.; et al. The Impact of PSMA-PET on Oncologic Control in Prostate Cancer Patients Who Experienced PSA Persistence or Recurrence. Cancers 2023, 15, 247. [Google Scholar] [CrossRef]
- Scharl, S.; Zamboglou, C.; Strouthos, I.; Farolfi, A.; Serani, F.; Lanzafame, H.; Morganti, A.G.; Trapp, C.; Koerber, S.A.; Debus, J.; et al. Salvage radiotherapy is effective in patients with PSMA-PET-negative biochemical recurrence- results of a retrospective study. Radiother. Oncol. 2023, 184, 109678. [Google Scholar] [CrossRef] [PubMed]
- Boreta, L.; Gadzinski, A.J.; Wu, S.Y.; Xu, M.; Greene, K.; Quanstrom, K.; Nguyen, H.G.; Carroll, P.R.; Hope, T.A.; Feng, F.Y. Location of Recurrence by Gallium-68 PSMA-11 PET Scan in Prostate Cancer Patients Eligible for Salvage Radiotherapy. Urology 2019, 129, 165–171. [Google Scholar] [CrossRef]
- Farolfi, A.; Ceci, F.; Castellucci, P.; Graziani, T.; Siepe, G.; Lambertini, A.; Schiavina, R.; Lodi, F.; Morganti, A.G.; Fanti, S. 68Ga-PSMA-11 PET/CT in prostate cancer patients with biochemical recurrence after radical prostatectomy and PSA <0.5 ng/ml. Efficacy and impact on treatment strategy. Eur. J. Nucl. Med. Mol. Imaging 2019, 46, 11–19. [Google Scholar]



| Variable | All Patients (n = 89) |
|---|---|
| Age at RP (years) | 66 (60–69) [46–77] |
| Initial PSA level (ng/mL) | 9.4 (7.3–14) [2.6–182] |
| Clinical T-stage | |
| T1c | 41 (46) |
| T2 | 35 (39) |
| T3 | 13 (15) |
| Biopsy ISUP Grade Group | |
| 1 | 27 (30) |
| 2 | 27 (30) |
| 3 | 14 (16) |
| 4 | 17 (19) |
| 5 | 4 (5.0) |
| EAU BCR-risk classification | |
| Low | 15 (17) |
| Intermediate | 34 (38) |
| High | 40 (45) |
| Pathology T-stage | |
| 2 | 56 (63) |
| 3 | 32 (36) |
| 4 | 1 (1.0) |
| Pathological ISUP Grade Group | |
| 1 | 9 (10) |
| 2 | 31 (35) |
| 3 | 30 (34) |
| 4 | 10 (11) |
| 5 | 9 (10) |
| Pathology N-status | |
| Nx | 34 (38) |
| N0 | 44 (50) |
| N1 | 11 (12) |
| Pathology R-status | |
| R0 | 59 (66) |
| R1 | 30 (34) |
| Biochemical persistence after RP | |
| No | 71 (80) |
| Yes | 18 (20) |
| Variable | All Patients (n = 89) |
|---|---|
| Age at BCR PSMA PET/CT (years) | 70 (64–72) [47–81] |
| PSA at BCR | 0.2 (0.2–0.3) [0.2–0.7] |
| PSA doubling time at BCR | 10 (5.0–18) [1.0–115] |
| Time to BCR (months) | 23 (11–58) [1.0–163] |
| EAU BCR-risk group | |
| Low | 27 (30) |
| High | 62 (70) |
| Follow-up time after BCR PMSA PET/CT (months) | 63 (43–83) [36–122] |
| Variable | All Patients (n = 89) | EAU BCR Low-Risk (n = 27) | EAU BCR High-Risk (n = 62) | p-Value |
|---|---|---|---|---|
| Follow-up time (mo) | 63 (43–83) | 53 (39–76) | 66 (48–83) | 0.09 |
| Biochemical progression | ||||
| Yes | 74 (83) | 16 (59) | 58 (94) | |
| No | 15 (17) | 11 (41) | 4 (6) | |
| Time to biochemical progression (mo) | 13 (9.1–23) | 21 (13–35) | 12 (7.3–20) | 0.01 |
| Radiological progression | ||||
| Yes | 43 (48) | 9 (33) | 34 (55) | |
| No | 46 (52) | 18 (67) | 28 (45) | |
| Time to radiological progression | 25 (14–46) | 29 (17–44) | 23 (8.5–49) | 0.49 |
| Restaging PSMA PET/CT | ||||
| Negative | 25 (37) | 7 (43) | 18 (35) | |
| Local recurrence | 11 (16) | 3 (19) | 8 (15) | |
| Pelvic LNMs | 12 (18) | 2 (13) | 10 (19) | |
| Distant metastases | 20 (29) | 4 (25) | 16 (31) | |
| Total | 68 (100) | 16 (100) | 52 (100) | |
| Time to distant metastases (mo) | 22 (8.6–33) | 40 (30–73) | 18 (8.0–27) | 0.01 |
| Treatment change | ||||
| Yes | 59 (66) | 13 (48) | 46 (74) | |
| No | 30 (34) | 14 (52) | 16 (26) | |
| Time to treatment change (mo) | 17 (9.0–33) | 31 (19–45) | 15 (9.0–30) | 0.01 |
| Start lifelong HT | ||||
| Yes | 18 (20) | 3 (11) | 15 (24) | |
| No | 71 (80) | 24 (89) | 47 (76) | |
| Time to lifelong HT (mo) | 34 (24–55) | 47 (30–47) | 33 (16–53) | 0.42 |
| CRPC | ||||
| Yes | 6 (7.0) | 0 (0.0) | 6 (10) | |
| No | 83 (93) | 27 (100) | 56 (90) | |
| Time to CRPC (mo) | 49 (33–67) | NA | 49 (33–67) | NA |
| Variable | All Patients (n = 89) | EAU BCR Low-Risk (n = 27) | EAU BCR High-Risk (n = 62) |
|---|---|---|---|
| Progression rate year 1 | 34/89 (38) | 3/27 (11) | 31/62 (50) |
| Progression rate year 2 | 58/89 (65) | 10/27 (37) | 48/62 (77) |
| Progression rate year 3 | 65/89 (73) | 14/27 (52) | 51/62 (83) |
| Progression rate year 4 | 61/75 (81) | 14/24 (58) | 47/51 (92) |
| Progression rate year 5 | 42/50 (84) | 8/14 (57) | 34/36 (94) |
| Univariable | Multivariable | |||
|---|---|---|---|---|
| Variable | HR (95%-CI) | p-Value | HR (95%-CI) | p-Value |
| Age (years) | 0.98 (0.95–1.02) | 0.32 | ||
| pT3 | 1.02 (0.62–1.68) | 0.94 | ||
| pISUP ≥ 4 | 2.04 (1.11–3.74) | 0.022 | ||
| pN-status | 0.32 | |||
| pN0 | ref | ref | ||
| pN1 | 1.87 (0.82–4.24) | 0.14 | ||
| pNx | 1.60 (0.92–2.77) | 0.096 | ||
| R1-status | 1.65 (0.93–2.93) | 0.085 | ||
| Biochemical persistence | 1.48 (0.81–2.72) | 0.21 | ||
| PSAdt * (months) | 0.14 (0.07–0.29) | <0.01 | ||
| PSAdt ≤ 12 months | 3.02 (1.80–5.09) | <0.01 | ||
| PSAdt ≤ 20 months | 6.54 (2.79–15.33) | <0.01 | 5.72 (2.41–13.56) | <0.01 |
| EAU BCR high-risk | 3.10 (1.77–5.44) | <0.01 | ||
| Univariable | Multivariable | |||
|---|---|---|---|---|
| Variable | HR (95%-CI) | p-Value | HR (95%-CI) | p-Value |
| Age (years) | 1.01 (0.96–1.06) | 0.73 | ||
| pT3 | 2.61 (1.23–5.51) | 0.012 | ||
| pISUP ≥ 4 | 4.45 (2.06–9.65) | <0.01 | ||
| pN-status | 0.084 | |||
| pN0 | ref | ref | ||
| pN1 | 3.24 (1.16–9.11) | 0.025 | ||
| pNx | 2.26 (1.11–4.61) | 0.024 | ||
| R1-status | 2.39 (1.04–5.50) | 0.039 | ||
| Biochemical persistence | 2.80 (1.31–6.01) | <0.01 | ||
| PSAdt * (months) | 0.23 (0.08–0.64) | <0.01 | ||
| PSAdt ≤ 12 months | 1.31 (0.69–2.48) | 0.42 | ||
| PSAdt ≤ 20 months | 3.57 (1.10–11.55) | 0.034 | 3.44 (1.01–11.74) | 0.048 |
| EAU BCR high-risk | 1.82 (0.87–3.80) | 0.11 | ||
Disclaimer/Publisher’s Note: The statements, opinions and data contained in all publications are solely those of the individual author(s) and contributor(s) and not of MDPI and/or the editor(s). MDPI and/or the editor(s) disclaim responsibility for any injury to people or property resulting from any ideas, methods, instructions or products referred to in the content. |
© 2025 by the authors. Licensee MDPI, Basel, Switzerland. This article is an open access article distributed under the terms and conditions of the Creative Commons Attribution (CC BY) license.
Share and Cite
de Bie, K.C.C.; Mellema, J.-J.J.; Meijer, D.; Teunissen, F.R.; van Leeuwen, P.J.; Oprea-Lager, D.E.; Donswijk, M.L.; van den Bergh, R.C.N.; Vis, A.N. Observational Management for Patients with Biochemical Recurrence Following Radical Prostatectomy, in the Absence of Detectable Disease on Restaging PSMA PET/CT Imaging. Diagnostics 2026, 16, 32. https://doi.org/10.3390/diagnostics16010032
de Bie KCC, Mellema J-JJ, Meijer D, Teunissen FR, van Leeuwen PJ, Oprea-Lager DE, Donswijk ML, van den Bergh RCN, Vis AN. Observational Management for Patients with Biochemical Recurrence Following Radical Prostatectomy, in the Absence of Detectable Disease on Restaging PSMA PET/CT Imaging. Diagnostics. 2026; 16(1):32. https://doi.org/10.3390/diagnostics16010032
Chicago/Turabian Stylede Bie, Katelijne C. C., Jan-Jaap J. Mellema, Dennie Meijer, Frederik R. Teunissen, Pim J. van Leeuwen, Daniela E. Oprea-Lager, Maarten L. Donswijk, Roderick C. N. van den Bergh, and André N. Vis. 2026. "Observational Management for Patients with Biochemical Recurrence Following Radical Prostatectomy, in the Absence of Detectable Disease on Restaging PSMA PET/CT Imaging" Diagnostics 16, no. 1: 32. https://doi.org/10.3390/diagnostics16010032
APA Stylede Bie, K. C. C., Mellema, J.-J. J., Meijer, D., Teunissen, F. R., van Leeuwen, P. J., Oprea-Lager, D. E., Donswijk, M. L., van den Bergh, R. C. N., & Vis, A. N. (2026). Observational Management for Patients with Biochemical Recurrence Following Radical Prostatectomy, in the Absence of Detectable Disease on Restaging PSMA PET/CT Imaging. Diagnostics, 16(1), 32. https://doi.org/10.3390/diagnostics16010032

