Leveraging Large-Scale Public Data for Artificial Intelligence-Driven Chest X-Ray Analysis and Diagnosis
Abstract
1. Introduction
- Aggregate and harmonize 17 public CXR datasets, addressing label inconsistencies and cross-dataset duplication to enable robust generalization analysis and broaden coverage of rare diseases.
- Perform comprehensive UQ across multiple dataset scales, providing new insights into model stability, calibration, and reliability beyond what prior CXR studies have reported.
- Conduct class-specific uncertainty analysis for clinically important but underexplored categories, including tuberculosis, pneumothorax, masses/nodules, and the heterogeneous “Other” class, offering a granular understanding of class-dependent behavior.
- Characterize scaling-law behavior in both performance and uncertainty, demonstrating how increasing dataset size affects diagnostic accuracy and epistemic uncertainty, and offering actionable guidance for data collection and clinical deployment strategies.
2. Materials and Methods
2.1. Target Conditions
2.2. Data Collection and Preparation
2.2.1. Development Dataset
2.2.2. External Validation Dataset
2.3. Deep Learning Models
2.4. UQ Using Monte Carlo (MC) Dropout
2.5. Statistical Analysis
3. Results
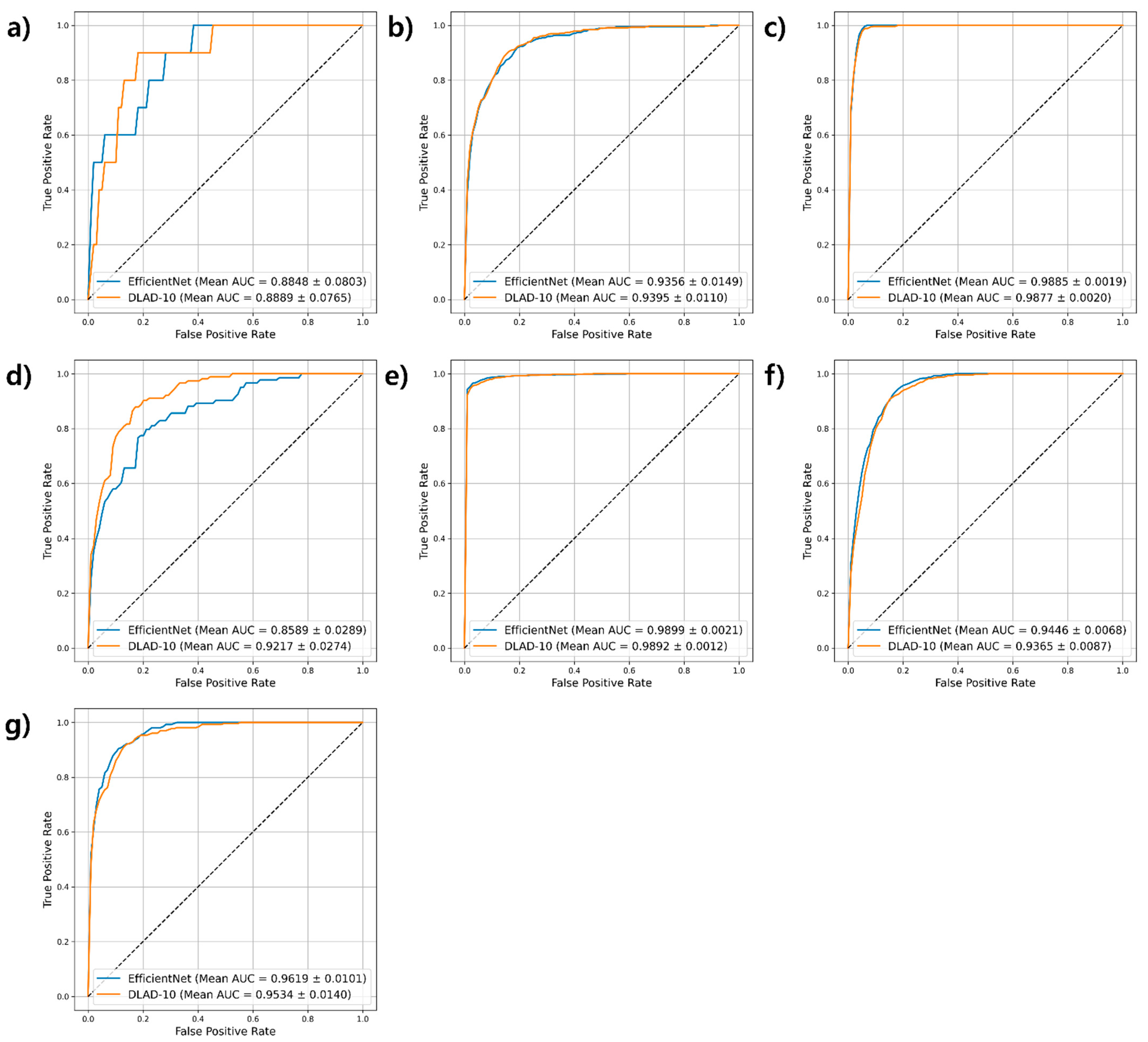
3.1. Model Performance on Internal Validation Sets
3.2. Model Performance on External Validation Set
3.3. Impact of Training Data Scale and Diversity on Model Effectiveness
3.3.1. Diagnostic Performance Across Data Scales
3.3.2. Diagnostic Performance Across Data Diversity
3.3.3. Uncertainty and Data Scale Relationship
4. Discussion
5. Conclusions
Author Contributions
Funding
Institutional Review Board Statement
Informed Consent Statement
Data Availability Statement
Conflicts of Interest
Abbreviations
| AI | Artificial Intelligence |
| AUROC | Area Under the Receiver Operating Characteristics Curve |
| CXR | Chest X-ray |
| DLAD-10 | Deep Learning-based Algorithm for Detecting 10 Abnormalities |
| MC | Monte Carlo |
| MIMIC-CXR | Medical Information Mart for Intensive Care—Chest X-ray |
| NIH | National Institute of Health |
| NLP | Natural Language Processing |
| PA | Posterior–Anterior |
| PE | Predictive Entropy |
| TB | Tuberculosis |
| UQ | Uncertainty quantification |
| VP | Variance of Predictions |
Appendix A
| Metrics | Value |
|---|---|
| Dice Coefficient | 0.9251 |
| IoU | 0.8573 |
| Precision | 0.9396 |
| Recall | 0.9073 |
Appendix B
| (a) | |||
| Class | Unique Images | Duplicates Added | Total Images |
| Pneumonia | 35,987 | 4013 | 40,000 |
| Pleural Effusion | 33,360 | 6640 | 40,000 |
| Tuberculosis | 2301 | 37,699 | 40,000 |
| Mass | 12,156 | 27,844 | 40,000 |
| Consolidation | 31,002 | 8998 | 40,000 |
| Pneumothorax | 35,160 | 4840 | 40,000 |
| Other diseases | 67,576 | 949 | 68,525 |
| No finding | 39,999 | 0 | 39,999 |
| (b) | |||
| Class | Unique Images | Duplicates added | Total Images |
| Pneumonia | 1479 | 7758 | 9237 |
| Pleural Effusion | 2996 | 6725 | 9721 |
| Tuberculosis | 391 | 7429 | 7820 |
| Mass | 506 | 9257 | 9763 |
| Consolidation | 530 | 9354 | 9884 |
| Pneumothorax | 553 | 9429 | 9982 |
| Other diseases | 1420 | 10,857 | 12,277 |
| No finding | 9807 | 0 | 9807 |
| (c) | |||
| Class | Unique Images | Duplicates added | Total Images |
| Pneumonia | 2421 | 0 | 2421 |
| Pleural Effusion | 2990 | 0 | 2990 |
| Tuberculosis | 1237 | 0 | 1237 |
| Mass | 2945 | 0 | 2945 |
| Consolidation | 2988 | 0 | 2988 |
| Pneumothorax | 2998 | 0 | 2998 |
| Other diseases | 3024 | 0 | 3024 |
| No finding | 2936 | 0 | 2936 |
| Dataset | Original Dataset Label | Harmonized Label | Notes |
|---|---|---|---|
| NIH Chest X-ray-14 [9] | Atelectasis | Other | Not part of target diseases |
| Cardiomegaly | Other | Not part of target diseases | |
| Effusion | Pleural Effusion | Retained as-is | |
| Infiltration | Other | Not part of target diseases | |
| Mass | Mass | Combined for consistency | |
| Nodule | Mass | Combined for consistency | |
| Pneumonia | Pneumonia | Retained as-is | |
| CheXpert [10], MIMIC-CXR [11], BRAX [16] | Enlarged Cardiomediastinum | Other | Not part of target diseases |
| Cardiomegaly | Other | Not part of target diseases | |
| Lung Lesion | Other | Not part of target diseases | |
| Lung Opacity | Other | Not part of target diseases | |
| Edema | Other | Not part of target diseases | |
| Consolidation | Consolidation | Retained as-is | |
| Pneumonia | Pneumonia | Retained as-is | |
| Atelectasis | Other | Not part of target diseases | |
| Pneumothorax | Pneumothorax | Retained as-is | |
| Pleural Effusion | Pleural Effusion | Retained as-is | |
| Pleural Other | Other | Not part of target diseases | |
| Fracture | Other | Not part of target diseases | |
| Support Devices | Support Devices | Retained as-is | |
| PadChest [15] * | effusion | Pleural Effusion | Target disease assigned positive if present in PadChest label list |
| nodule | Mass | ||
| mass | Nodule | ||
| consolidation | Consolidation | ||
| pneumonia | Pneumonia | ||
| tuberculosis | Tuberculosis | ||
| VinDr-CXR [17] | Aortic enlargement | Other | Not part of target diseases |
| Atelectasis | Other | Not part of target diseases | |
| Cardiomegaly | Other | Not part of target diseases | |
| Calcification | Other | Not part of target diseases | |
| Clavicle fracture | Other | Not part of target diseases | |
| Consolidation | Consolidation | Retained as-is | |
| Edema | Other | Not part of target diseases | |
| Emphysema | Other | Not part of target diseases | |
| Enlarged PA | Other | Not part of target diseases | |
| Interstitial lung disease (ILD) | Other | Not part of target diseases | |
| Infiltration | Other | Not part of target diseases | |
| Lung cavity | Other | Not part of target diseases | |
| Lung cyst | Other | Not part of target diseases | |
| Lung opacity | Other | Not part of target diseases | |
| Mediastinal shift | Other | Not part of target diseases | |
| Nodule/Mass | Mass | Renamed for consistency | |
| Pulmonary fibrosis | Other | Not part of target diseases | |
| Pneumothorax | Pneumothorax | Retained as-is | |
| Pleural thickening | Other | Not part of target diseases | |
| Pleural effusion | Pleural Effusion | Retained as-is | |
| Rib fracture | Other | Not part of target diseases | |
| Other lesion | Other | Not part of target diseases | |
| Lung tumor | Mass | Combined for consistency | |
| Pneumonia | Pneuonia | Retained as-is | |
| Tuberculosis | Tuberculosis | Retained as-is | |
| Other diseases | Other | Not part of target diseases | |
| Chronic obstructive pulmonary disease (COPD) | Other | Not part of target diseases | |
| RSNA Pneumonia Detection Challenge [18] | Pneumonia | Pneumonia | Retained as-is |
| SIIM-ACR Pneumothorax Segmentation [19] | Pneummothorax | Pneumothorax | Retained as-is |
| JSRT [20] | Lung Nodule | Mass | Retained as-is |
| Shenzhen Hospital CXR Set [21] ** | Tuberculosis | Tuberculosis | Retained as-is |
| Effusion | Pleural Effusion | Extracted from ‘findings’ | |
| Mass | Mass | Extracted from ‘findings’ | |
| Consolidation | Consolidation | Extracted from ‘findings’ | |
| Pleural thickening | Other | Not part of target diseases | |
| Fibrous lesions | Other | Not part of target diseases | |
| Montgomery County chest X-ray set (MC) [21] | Tuberculosis | Tuberculosis | Retained as -is |
| COVID-19, Pneumonia and Normal Chest X-ray PA Dataset [22] | Pneumonia | Pneumonia | Retained as -is |
| COVID-19 | Other | Not part of target diseases | |
| Chest X-Ray Images (Pneumonia) [23] | Pneumonia | Pneumonia | Retained as-is |
| Tuberculosis (TB) Chest X-ray Database [24], TBX11K [25], Belarus Dataset [26], Chest X-rays tuberculosis from India [27] | Tuberculosis | Tuberculosis | Retained as-is |
Appendix C
| Stochastic Passes (N) | Mean Predictive Entropy | Mean Variance of Predictions | Relative Change (Variance) |
|---|---|---|---|
| 5 | 1.408 | 3.13 × 10−4 | - |
| 10 | 1.142 | 3.75 × 10−4 | +19.8% |
| 15 | 1.146 | 3.75 × 10−4 | 0.0% (Converged) |
| 20 (Selected) | 1.146 | 3.75 × 10−4 | 0.0% (Stable) |
References
- Raoof, S.; Feigin, D.; Sung, A.; Raoof, S.; Irugulpati, L.; Rosenow, E.C. Interpretation of plain chest roentgenogram. Chest 2012, 141, 545–558. [Google Scholar] [CrossRef] [PubMed]
- WHO (World Health Organization). Chest Radiography in Tuberculosis Detection: Summary of Current WHO Recommendations and Guidance on Programmatic Approaches; World Health Organization: Geneva, Switzerland, 2021; Available online: https://www.who.int/publications/i/item/9789241511506 (accessed on 30 October 2025).
- Ellis, S.; Aziz, Z. Radiology as an aid to diagnosis in lung disease. Postgrad. Med. J. 2016, 92, 620–623. [Google Scholar] [CrossRef]
- Rimmer, A. Radiologist shortage leaves patient care at risk, warns royal college. BMJ 2017, 359, j4683. [Google Scholar] [CrossRef]
- Nam, J.G.; Kim, M.; Park, J.; Hwang, E.J.; Lee, J.H.; Hong, J.H.; Goo, J.M.; Park, C.M. Development and validation of a deep learning algorithm detecting 10 common abnormalities on chest radiographs. Eur. Respir. J. 2021, 57, 2003061. [Google Scholar] [CrossRef] [PubMed]
- Wu, J.T.; Wong, K.C.L.; Gur, Y.; Ansari, N.; Karargyris, A.; Sharma, A.; Morris, M.; Saboury, B.; Ahmad, H.; Boyko, O.; et al. Comparison of chest radiograph interpretations by artificial intelligence algorithm vs radiology residents. JAMA Netw. Open 2020, 3, e2022779. [Google Scholar] [CrossRef] [PubMed]
- Cid, Y.D.; Macpherson, M.; Gervais-Andre, L.; Zhu, Y.; Franco, G.; Santeramo, R.; Lim, C.; Selby, I.; Muthuswamy, K.; Amlani, A.; et al. Development and validation of open-source deep neural networks for comprehensive chest x-ray reading: A retrospective, multicentre study. Lancet Digit. Health 2024, 6, e44–e57. [Google Scholar] [CrossRef]
- Seah, J.C.Y.; Tang, C.H.M.; Buchlak, Q.D.; Holt, X.G.; Wardman, J.B.; Aimoldin, A.; Esmaili, N.; Ahmad, H.; Pham, H.; Lambert, J.F.; et al. Effect of a comprehensive deep-learning model on the accuracy of chest x-ray interpretation by radiologists: A retrospective, multireader multicase study. Lancet Digit. Health 2021, 3, e496–e506. [Google Scholar] [CrossRef]
- Wang, X.; Peng, Y.; Lu, L.; Lu, Z.; Bagheri, M.; Summers, R.M. ChestX-Ray8: Hospital-scale chest X-ray database and benchmarks on weakly-supervised classification and localization of common thorax diseases. In Proceedings of the IEEE Conference on Computer Vision and Pattern Recognition (CVPR), Honolulu, HI, USA, 21–26 July 2017; IEEE: Piscataway, NJ, USA, 2017; pp. 3462–3471. [Google Scholar] [CrossRef]
- Irvin, J.; Rajpurkar, P.; Ko, M.; Yu, Y.; Ciurea-Ilcus, S.; Chute, C.; Marklund, H.; Haghgoo, B.; Ball, R.; Shpanskaya, K.; et al. CheXpert: A large chest radiograph dataset with uncertainty labels and expert comparison. In Proceedings of the AAAI Conference on Artificial Intelligence, Honolulu, HI, USA, 27 January–1 February 2019; Volume 33, pp. 590–597. [Google Scholar] [CrossRef]
- Johnson, A.E.W.; Pollard, T.J.; Berkowitz, S.J.; Greenbaum, N.R.; Lungren, M.P.; Deng, C.Y.; Mark, R.G.; Horng, S. MIMIC-CXR, a de-identified publicly available database of chest radiographs with free-text reports. Sci. Data 2019, 6, 317. [Google Scholar] [CrossRef]
- Khan, R.F.; Lee, B.D.; Lee, M.S. Transformers in medical image segmentation: A narrative review. Quant. Imaging Med. Surg. 2023, 13, 8747–8767. [Google Scholar] [CrossRef]
- World Health Organisation. Global Tuberculosis Report 2020; World Health Organization: Geneva, Switzerland, 2020; Available online: https://www.who.int/publications/i/item/9789240013131 (accessed on 30 October 2025).
- Rueckel, J.; Huemmer, C.; Fieselmann, A.; Ghesu, F.C.; Mansoor, A.; Schachtner, B.; Wesp, P.; Trappmann, L.; Munawwar, B.; Ricke, J.; et al. Pneumothorax detection in chest radiographs: Optimizing artificial intelligence system for accuracy and confounding bias reduction using in-image annotations in algorithm training. Eur. Radiol. 2021, 31, 7888–7900. [Google Scholar] [CrossRef]
- Bustos, A.; Pertusa, A.; Salinas, J.M.; de la Iglesia-Vayá, M. PadChest: A large chest x-ray image dataset with multi-label annotated reports. Med. Image Anal. 2020, 66, 101797. [Google Scholar] [CrossRef]
- Reis, E.P.; Paiva, J.; Bueno da Silva, M.C.; Sousa Ribeiro, G.A.; Fornasiero Paiva, V.; Bulgarelli, L.; Lee, H.; Dos Santos, P.V.; brito v Amaral, L.; Beraldo, G.; et al. BRAX, a Brazilian Labeled Chest X-Ray Dataset (version 1.1.0). PhysioNet, 17 June 2022. [Google Scholar] [CrossRef]
- Nguyen, H.Q.; Pham, H.H.; Linh, T.; Dao, M.; Khanh, L. VinDr-CXR: An Open Dataset of Chest X-Rays with Radiologist Annotations (version 1.0.0). PhysioNet, 22 June 2021. [Google Scholar] [CrossRef]
- Stein, A.; Wu, C.; Carr, C.; Shih, G.; Dulkowski, J.; Kalpathy, L.C.; Prevedello, L.; Kohli, M.; McDonald, M.; Peter, P.C.; et al. RSNA Pneumonia Detection Challenge. Kaggle. 2018. Available online: https://kaggle.com/competitions/rsna-pneumonia-detection-challenge (accessed on 30 October 2025).
- Zawacki, A.; Wu, C.; Shih, G.; Elliott, J.; Fomitchev, M.; Hussain, M.; ParasLakhani, P.; Culliton, S.B.; Siim, A.C.R. Pneumothorax Segmentation. Kaggle. 2019. Available online: https://kaggle.com/competitions/siim-acr-pneumothorax-segmentation (accessed on 30 October 2025).
- Shiraishi, J.; Katsuragawa, S.; Ikezoe, J.; Matsumoto, T.; Kobayashi, T.; Komatsu, K.; Matsui, M.; Fujita, H.; Kodera, Y.; Doi, K. Development of a digital image database for chest radiographs with and without a lung nodule: Receiver operating characteristic analysis of radiologists’ detection of pulmonary nodules. AJR Am. J. Roentgenol. 2000, 174, 71–74. [Google Scholar] [CrossRef] [PubMed]
- Jaeger, S.; Candemir, S.; Antani, S.; Wáng, Y.X.J.; Lu, P.X.; Thoma, G. Two public chest X-ray datasets for computer-aided screening of pulmonary diseases. Quant. Imaging Med. Surg. 2014, 4, 475–477. [Google Scholar] [CrossRef] [PubMed]
- Asraf, A.; Islam, Z. COVID19, Pneumonia and Normal Chest X-Ray PA Dataset. 2021. Version 1. Available online: https://data.mendeley.com/datasets/jctsfj2sfn/1 (accessed on 30 October 2025).
- Mooney, P.T. Chest X-Ray Images (Pneumonia). Kaggle. 2018. Available online: https://www.kaggle.com/datasets/paultimothymooney/chest-xray-pneumonia (accessed on 30 October 2025).
- Rahman, T.; Khandakar, A.; Chowdhury, M.E.H. Tuberculosis (TB) chest X-ray database. IEEE Dataport, 2020. [Google Scholar] [CrossRef]
- Liu, Y.; Wu, Y.-H.; Ban, Y.; Wang, H.; Cheng, M.-M. Rethinking computer-aided tuberculosis diagnosis. In Proceedings of the IEEE Computer Society Conference on Computer Vision and Pattern Recognition, Seattle, WA, USA, 13–19 June 2020; pp. 2643–2652. [Google Scholar] [CrossRef]
- Pasa, F.; Golkov, V.; Pfeiffer, F.; Cremers, D.; Pfeiffer, D. Efficient deep network architectures for fast chest X-ray tuberculosis screening and visualization. Sci. Rep. 2019, 9, 6268. [Google Scholar] [CrossRef] [PubMed]
- Raddar. Chest X-Rays Tuberculosis from India. Kaggle. 2021. Available online: https://www.kaggle.com/datasets/raddar/chest-xrays-tuberculosis-from-india/data (accessed on 30 October 2025).
- He, K.; Zhang, X.; Ren, S.; Sun, J. Deep residual learning for image recognition. In Proceedings of the 2016 IEEE Conference on Computer Vision and Pattern Recognition (CVPR), Las Vegas, NV, USA, 27–30 June 2016; pp. 770–778. [Google Scholar] [CrossRef]
- Huang, G.; Liu, Z.; Van Der Maaten, L.; Weinberger, K.Q. Densely connected convolutional networks. In Proceedings of the 2017 IEEE Conference on Computer Vision and Pattern Recognition (CVPR), Honolulu, HI, USA, 21–26 July 2017; pp. 2261–2269. [Google Scholar] [CrossRef]
- Tan, M.; Le, Q. EfficientNet: Rethinking model scaling for convolutional neural networks. In Proceedings of the International Conference on Machine Learning, Long Beach, CA, USA, 10–15 June 2019; Available online: https://proceedings.mlr.press/v97/tan19a.html (accessed on 30 October 2025).
- Dosovitskiy, A.; Beyer, L.; Kolesnikov, A.; Weissenborn, D.; Zhai, X.; Unterthiner, T.; Dehghani, M.; Minderer, M.; Heigold, G.; Gelly, S.; et al. An Image Is Worth 16×16 Words: Transformers for Image Recognition at Scale. arXiv 2021, arXiv:2010.11929. [Google Scholar]
- Todi, A.; Narula, N.; Sharma, M.; Gupta, U. ConvNext: A contemporary architecture for convolutional neural networks for image classification. In Proceedings of the 2023 3rd International Conference on Innovative Sustainable Computational Technologies (CISCT), Dehradun, India, 8–9 September 2023; pp. 1–6. [Google Scholar] [CrossRef]
- Zhang, S.; Xu, Y.; Usuyama, N.; Xu, H.; Bagga, J.; Tinn, R.; Preston, S.; Rao, R.; Wei, M.; Valluri, N.; et al. BiomedCLIP: A multimodal biomedical foundation model pretrained from fifteen million scientific image–text pairs. arXiv 2023, arXiv:2303.00915. [Google Scholar]
- Gal, Y.; Ghahramani, Z. Dropout as a Bayesian approximation: Representing model uncertainty in deep learning. In Proceedings of the ICML’16: Proceedings of the 33rd International Conference on International Conference on Machine Learning, New York, NY, USA, 19–24 June 2016. [Google Scholar]
- Tyralis, H.; Papacharalampous, G. A review of predictive uncertainty estimation with machine learning. Artif. Intell. Rev. 2024, 57, 94. [Google Scholar] [CrossRef]
- Choubineh, A.; Chen, J.; Coenen, F.; Ma, F. Applying Monte Carlo dropout to quantify the uncertainty of skip connection-based convolutional neural networks optimized by big data. Electronics 2023, 12, 1453. [Google Scholar] [CrossRef]
- Paszke, A.; Gross, S.; Massa, F.; Lerer, A.; Bradbury, J.; Chanan, G.; Killeen, T.; Lin, Z.; Gimelshein, N.; Antiga, L.; et al. PyTorch: An Imperative Style, High-Performance Deep Learning Library. In Advances in Neural Information Processing Systems; Curran Associates, Inc.: Vancouver, BC, Canada, 2019; Volume 32, pp. 8024–8035. [Google Scholar]
- Tang, Y.X.; Tang, Y.B.; Peng, Y.; Yan, K.; Bagheri, M.; Redd, B.A.; Brandon, C.J.; Lu, Z.; Han, M.; Xiao, J.; et al. Automated abnormality classification of chest radiographs using deep convolutional neural networks. npj Digit. Med. 2020, 3, 70. [Google Scholar] [CrossRef] [PubMed]
- Ronneberger, O.; Fischer, P.; Brox, T. U-net: Convolutional networks for biomedical image segmentation. In Medical Image Computing and Computer-Assisted Intervention—MICCAI 2015; Navab, N., Hornegger, J., Wells, W., Frangi, A., Eds.; Lecture Notes in Computer Science; Springer: Cham, Switzerland, 2015; Volume 9351. [Google Scholar] [CrossRef]
- Danilov, V.; Proutski, A.; Kirpich, A.; Litmanovich, D.; Gankin, Y. Chest X-Ray Dataset for Lung Segmentation (version 2). Mendeley Data, 3 October 2022. [Google Scholar] [CrossRef]
- Chen, L.; Kuo, P.; Wang, R.; Gichoya, J.; Celi, L.A. Version 1.0.0. Chest X-Ray Segmentation Images Based on MIMIC-CXR (version 1.0.0). PhysioNet, 18 August 2022; RRID:SCR_007345. [Google Scholar] [CrossRef]


| Datasets | No. of Labels | Annotation Method | No. of CXRs | ||||||||
|---|---|---|---|---|---|---|---|---|---|---|---|
| Pneumonia | Pleural Effusion | Tuberculosis | Mass | Consolidation | Pneumothorax | Other Diseases | No Finding | Total | |||
| NIH Chest X-ray-14 [9] | 14 | An NLP Tool | 1431 | 13,317 | 0 | 11,207 | 4667 | 5302 | 36,251 | 60,361 | 112,120 |
| CheXpert [10] | 14 | An NLP Tool | 3738 | 79,713 | 0 | 0 | 12,170 | 16,257 | 144,789 | 15,892 | 224,316 |
| MIMIC-CXR [11] | 14 | An NLP Tool | 26,221 | 76,954 | 0 | 0 | 14,675 | 14,257 | 180,251 | 143,351 | 377,110 |
| PadChest [15] | 19 | 27% of reports were manually annotated and the rest using a supervised NN. | 4138 | 5441 | 647 | 3034 | 1426 | 345 | 52,515 | 28,999 | 160,000 |
| VinDr-CXR [17] | 28 | Radiologists | 1229 | 1430 | 1006 | 1080 | 444 | 133 | 6809 | 10,606 | 100,000 |
| RSNA Pneumonia Detection Challenge [18] | 2 | Radiologists | 6012 | 0 | 0 | 0 | 0 | 0 | 0 | 20,672 | 26,684 |
| SIIM-ACR Pneumothorax Segmentation [19] | 2 | Radiologists | 0 | 0 | 0 | 0 | 0 | 2379 | 0 | 8296 | 10,675 |
| JSRT [20] | 2 | Radiologists | 0 | 0 | 0 | 154 | 0 | 0 | 93 | 0 | 247 |
| Shenzhen Hospital CXR Set [21] | 4 | Radiologists | 0 | 34 | 336 | 132 | 18 | 0 | 272 | 326 | 662 |
| Montgomery County chest X-ray set (MC) [21] | 2 | Radiologists | 0 | 0 | 58 | 0 | 0 | 0 | 0 | 80 | 138 |
| BRAX [16] | 14 | An NLP Tool | 264 | 532 | 0 | 0 | 1120 | 38 | 3612 | 14,782 | 40,967 |
| COVID-19, Pneumonia and Normal Chest X-ray PA Dataset [22] | 3 | Radiologists | 1525 | 0 | 0 | 0 | 0 | 0 | 0 | 1525 | 4575 |
| Chest X-Ray Images (Pneumonia) [23] | 2 | Radiologists | 3875 | 0 | 0 | 0 | 0 | 0 | 0 | 1341 | 5856 |
| Tuberculosis (TB) Chest X-ray Database [24] | 2 | Radiologists | 0 | 0 | 700 | 0 | 0 | 0 | 0 | 3500 | 4200 |
| TBX11K [25] | 5 | Radiologists | 0 | 0 | 800 | 0 | 0 | 0 | 3800 | 3800 | 11,200 |
| Belarus Dataset [26] | 1 | Radiologists | 0 | 0 | 304 | 0 | 0 | 0 | 0 | 0 | 304 |
| Chest X-rays tuberculosis from India [27] | 2 | Radiologists | 0 | 0 | 78 | 0 | 0 | 0 | 0 | 77 | 156 |
| Total | − | − | 48,433 | 177,421 | 3929 | 15,607 | 34,520 | 38,711 | 428,392 | 313,608 | 1,079,210 |
| Datasets | Development Dataset | External Validation Dataset | |||
|---|---|---|---|---|---|
| No. of Total CXR Images | Training | Validation | Testing | No. of Total CXR Images | |
| Pneumonia | 48,433 | 40,000 | 9237 | 2421 | 10 |
| Pleural Effusion | 177,421 | 40,000 | 9721 | 2990 | 422 |
| Tuberculosis | 3929 | 40,000 | 7820 | 1237 | 318 |
| Mass | 15,607 | 40,000 | 9763 | 2945 | 69 |
| Consolidation | 34,520 | 40,000 | 9884 | 2988 | 0 |
| Pneumothorax | 38,711 | 40,000 | 9982 | 2998 | 1312 |
| Other diseases | 428,299 | 68,525 | 12,277 | 3024 | 843 |
| No finding | 313,701 | 39,999 | 9807 | 2936 | 240 |
| Target Diseases | Threshold | ResNet | DenseNet | EfficientNet | DLAD-10 | |||
|---|---|---|---|---|---|---|---|---|
| ResNet | DenseNet | EfficientNet | DLAD-10 | |||||
| Pneumonia | 0.28 | 0.24 | 0.255 | 0.20 | (0.31, 0.74, 0.74, 0.43) | (0.30, 0.74, 0.74, 0.43) | (0.37, 0.80, 0.79, 0.51) | (0.33, 0.74, 0.76, 0.46) |
| Pleural Effusion | 0.25 | 0.145 | 0.215 | 0.16 | (0.45, 0.80, 0.80, 0.57) | (0.45, 0.78, 0.81, 0.57) | (0.47, 0.83, 0.81, 0.60) | (0.46, 0.81, 0.81, 0.59) |
| Tuberculosis | 0.50 | 0.50 | 0.50 | 0.50 | (0.98, 0.73, 1.0, 0.84) | (0.98, 0.81, 1.00, 0.89) | (0.98, 0.89, 1.00, 0.93) | (0.99, 0.86, 1.00, 0.92) |
| Mass | 0.35 | 0.29 | 0.10 | 0.29 | (0.51, 0.82, 0.84, 0.63) | (0.51, 0.84, 0.84, 0.64) | (0.57, 0.87, 0.87, 0.69) | (0.56, 0.86, 0.87, 0.68) |
| Consolidation | 0.18 | 0.19 | 0.20 | 0.20 | (0.36, 0.75, 0.74, 0.49) | (0.36, 0.74, 0.74, 0.48) | (0.40, 0.76, 0.77, 0.52) | (0.38, 0.76, 0.76, 0.51) |
| Pneumothorax | 0.18 | 0.15 | 0.18 | 0.18 | (0.45, 0.81, 0.81, 0.58) | (0.47, 0.81, 0.82, 0.60) | (0.58, 0.86, 0.88, 0.70) | (0.59, 0.86, 0.88, 0.70) |
| Other diseases | 0.35 | 0.30 | 0.38 | 0.38 | (0.29, 0.66, 0.67, 0.40) | (0.27, 0.65, 0.65, 0.38) | (0.28, 0.65, 0.67, 0.39) | (0.27, 0.64, 0.66, 0.38) |
| No finding | 0.23 | 0.24 | 0.30 | 0.24 | (0.40, 0.77, 0.78, 0.53) | (0.40, 0.77, 0.77, 0.53) | (0.45, 0.80, 0.81, 0.58) | (0.44, 0.80, 0.80, 0.57) |
| Target Diseases | With Fine-Tuning | Without Fine-Tuning | ||||
|---|---|---|---|---|---|---|
| Thresholds | EfficientNet | DLAD-10 | EfficientNet | DLAD-10 | ||
| EfficientNet | DLAD-10 | |||||
| Pneumonia | 0.255 | 0.20 | (0.00, 0.00, 1.00, 0.00) | (0.00, 0.00, 1.00, 0.00) | (0.01, 0.40, 0.76, 0.01) | (0.01, 0.70, 0.68, 0.01) |
| Pleural Effusion | 0.215 | 0.16 | (0.59, 0.78, 0.91, 0.67) | (0.55, 0.83, 0.89, 0.66) | (0.30, 0.70, 0.74, 0.42) | (0.31, 0.74, 0.73, 0.44) |
| Tuberculosis | 0.5 | 0.50 | (0.82, 0.88, 0.98, 0.84) | (0.84, 0.80, 0.98, 0.80) | (0.15, 0.08, 0.95, 0.10) | (0.23, 0.08, 0.97, 0.12) |
| Mass | 0.1 | 0.29 | (0.23, 0.48, 0.96, 0.31) | (0.40, 0.19, 0.99, 0.21) | (0.04, 0.41, 0.74, 0.07) | (0.05, 0.39, 0.84, 0.09) |
| Consolidation | – | – | – | – | – | – |
| Pneumothorax | 0.18 | 0.18 | (0.94, 0.97, 0.96, 0.96) | (0.90, 0.98, 0.92, 0.94) | (0.88, 0.84, 0.91, 0.86) | (0.88, 0.86, 0.91, 0.87) |
| Other diseases | 0.38 | 0.38 | (0.73, 0.87, 0.87, 0.79) | (0.73, 0.84, 0.88, 0.78) | (0.31, 0.68, 0.42, 0.43) | (0.32, 0.63, 0.48, 0.42) |
| No finding | 0.3 | 0.24 | (0.61, 0.77, 0.96, 0.68) | (0.60, 0.73, 0.96, 0.65) | (0.24, 0.87, 0.76, 0.37) | (0.23, 0.92, 0.74, 0.37) |
| Target Diseases | Case−1 | Case−2 | Case−3 | Case−4 | ||||||||
|---|---|---|---|---|---|---|---|---|---|---|---|---|
| N | Performance | AUROC | N | Performance | AUROC | N | Performance | AUROC | N | Performance | AUROC | |
| Pneumonia | 7913 | (0.32, 0.75, 0.75, 0.45) | 0.8414 | 16,077 | (0.34, 0.76, 0.79, 0.48) | 0.8689 | 24,017 | (0.37, 0.79, 0.79, 0.50) | 0.8819 | 40,000 | (0.37, 0.79, 0.80, 0.51) | 0.8905 |
| Pleural Effusion | 8005 | (0.42, 0.78, 0.78, 0.55) | 0.8657 | 15,908 | (0.45, 0.81, 0.81, 0.58) | 0.8881 | 24,031 | (0.46, 0.81, 0.82, 0.59) | 0.8900 | 40,000 | (0.47, 0.81, 0.82, 0.57) | 0.8978 |
| Tuberculosis | 7977 | (0.97, 0.99, 0.87, 0.92) | 0.9937 | 16,071 | (0.96, 0.99, 0.90, 0.93) | 0.9948 | 24,029 | (0.96, 0.99, 0.90, 0.93) | 0.9930 | 40,000 | (0.98, 0.99, 0.88, 0.93) | 0.9926 |
| Mass | 7964 | (0.54, 0.86, 0.86, 0.66) | 0.9416 | 15,993 | (0.55, 0.87, 0.86, 0.67) | 0.9494 | 24,039 | (0.58, 0.88, 0.88, 0.70) | 0.9580 | 40,000 | (0.57, 0.87, 0.87, 0.69) | 0.9520 |
| Consolidation | 8090 | (0.36, 0.74, 0.73, 0.48) | 0.8139 | 16,109 | (0.38, 0.76, 0.76, 0.51) | 0.8365 | 24,029 | (0.39, 0.77, 0.77, 0.52) | 0.8488 | 40,000 | (0.40, 0.77, 0.76, 0.52) | 0.8485 |
| Pneumothorax | 8097 | (0.49, 0.83, 0.82, 0.61) | 0.9115 | 15,958 | (0.53, 0.85, 0.84, 0.65) | 0.9267 | 23,928 | (0.54, 0.85, 0.86, 0.67) | 0.9375 | 40,000 | (0.58, 0.88, 0.86, 0.70) | 0.9437 |
| Other diseases | 13,777 | (0.27, 0.63, 0.67, 0.38) | 0.7141 | 27,447 | (0.26, 0.64, 0.64, 0.37) | 0.7098 | 41,072 | (0.27, 0.64, 0.65, 0.38) | 0.7186 | 68,525 | (0.28, 0.67, 0.65, 0.39) | 0.7354 |
| No finding | 7933 | (0.41, 0.78, 0.79, 0.54) | 0.8623 | 15,972 | (0.43, 0.80, 0.79, 0.56) | 0.8745 | 23,995 | (0.43, 0.79, 0.80, 0.56) | 0.8817 | 39,999 | (0.44, 0.80, 0.80, 0.57) | 0.8891 |
| Target Diseases | NIH Chest X-Ray-14 | MIMIC-CXR | PadChest | CheXpert | Multiple-Source | |||||
|---|---|---|---|---|---|---|---|---|---|---|
| Performance | AUROC | Performance | AUROC | Performance | AUROC | Performance | AUROC | Performance | AUROC | |
| Pneumonia | (0.21, 0.62, 0.63, 0.31) | 0.6695 | (0.21, 0.48, 0.72, 0.29) | 0.6593 | (0.13, 0.48, 0.51, 0.21) | 0.4829 | (0.21, 0.62, 0.65, 0.32) | 0.6723 | (0.22, 0.66, 0.65, 0.33) | 0.7184 |
| Pleural Effusion | (0.32, 0.72, 0.69, 0.44) | 0.7915 | (0.40, 0.78, 0.77, 0.53) | 0.8479 | (0.19, 0.40, 0.66, 0.26) | 0.5511 | (0.37, 0.75, 0.75, 0.50) | 0.8209 | (0.38, 0.83, 0.73, 0.52) | 0.8574 |
| Tuberculosis | – | – | – | – | (0.05, 0.59, 0.26, 0.10) | 0.3891 | – | – | (0.05, 0.01, 0.99, 0.01) | 0.6440 |
| Mass | (0.23, 0.62, 0.60, 0.34) | 0.6765 | – | – | (0.08, 0.14, 0.68, 0.10) | 0.3969 | – | – | (0.41, 0.79, 0.78, 0.54) | 0.8850 |
| Consolidation | (0.24, 0.63, 0.60, 0.34) | 0.6656 | (0.27, 0.66, 0.64, 0.38) | 0.7059 | (0.15, 0.40, 0.56, 0.22) | 0.4804 | (0.27, 0.67, 0.64, 0.38) | 0.7131 | (0.31, 0.70, 0.70, 0.43) | 0.7636 |
| Pneumothorax | (0.39, 0.75, 0.77, 0.52) | 0.8393 | (0.44, 0.77, 0.80, 0.56) | 0.8625 | (0.15, 0.28, 0.69, 0.20) | 0.4997 | (0.44, 0.76, 0.80, 0.56) | 0.8514 | (0.46, 0.83, 0.81, 0.60) | 0.9002 |
| Other diseases | (0.17, 0.52, 0.51, 0.26) | 0.5324 | (0.22, 0.60, 0.57, 0.32) | 0.6214 | (0.16, 0.31, 0.66, 0.21) | 0.4560 | (0.18, 0.52, 0.51, 0.26) | 0.5538 | (0.20, 0.51, 0.59, 0.29) | 0.5669 |
| No finding | (0.30, 0.72, 0.67, 0.42) | 0.7680 | (0.36, 0.74, 0.74, 0.49) | 0.8167 | (0.16, 0.42, 0.56, 0.23) | 0.4943 | (0.31, 0.70, 0.70, 0.43) | 0.7687 | (0.37, 0.76, 0.75, 0.50) | 0.8312 |
| Target Diseases | Case−1 | Case−2 | Case−3 | Case−4 | ||||||||
|---|---|---|---|---|---|---|---|---|---|---|---|---|
| N | PE | VP | N | PE | VP | N | PE | VP | N | PE | VP | |
| Pneumonia | 7913 | 1.9592 | 0.0007 | 16,077 | 1.616 | 0.0004 | 24,017 | 1.9135 | 0.0005 | 40,000 | 1.772 | 0.0004 |
| Pleural Effusion | 8005 | 1.8092 | 0.0006 | 15,908 | 1.506 | 0.0005 | 24,031 | 1.5154 | 0.0004 | 40,000 | 1.7032 | 0.0004 |
| Tuberculosis | 7977 | 0.1858 | 0.0001 | 16,071 | 0.0812 | 0.0001 | 24,029 | 0.3547 | 0.0001 | 40,000 | 0.2172 | 0.0001 |
| Mass | 7964 | 2.1449 | 0.0009 | 15,993 | 2.0338 | 0.0005 | 24,039 | 1.9871 | 0.0004 | 40,000 | 2.228 | 0.0004 |
| Consolidation | 8090 | 2.2179 | 0.0007 | 16,109 | 1.893 | 0.0004 | 24,029 | 1.6253 | 0.0004 | 40,000 | 1.9582 | 0.0004 |
| Pneumothorax | 8097 | 2.2859 | 0.0004 | 15,958 | 1.8744 | 0.0004 | 23,928 | 2.0114 | 0.0004 | 40,000 | 2.0566 | 0.0003 |
| Other diseases | 13,777 | 1.0883 | 0.0009 | 27,447 | 1.1631 | 0.0006 | 41,072 | 1.3439 | 0.0005 | 68,525 | 0.6445 | 0.0005 |
| No finding | 7933 | 1.4209 | 0.0007 | 15,972 | 0.6132 | 0.0005 | 23,995 | 1.446 | 0.0005 | 39,999 | 0.7514 | 0.0005 |
Disclaimer/Publisher’s Note: The statements, opinions and data contained in all publications are solely those of the individual author(s) and contributor(s) and not of MDPI and/or the editor(s). MDPI and/or the editor(s) disclaim responsibility for any injury to people or property resulting from any ideas, methods, instructions or products referred to in the content. |
© 2026 by the authors. Licensee MDPI, Basel, Switzerland. This article is an open access article distributed under the terms and conditions of the Creative Commons Attribution (CC BY) license.
Share and Cite
Khan, F.K.; Tahir, W.B.; Lee, M.S.; Kim, J.Y.; Byon, S.S.; Pi, S.-W.; Lee, B.-D. Leveraging Large-Scale Public Data for Artificial Intelligence-Driven Chest X-Ray Analysis and Diagnosis. Diagnostics 2026, 16, 146. https://doi.org/10.3390/diagnostics16010146
Khan FK, Tahir WB, Lee MS, Kim JY, Byon SS, Pi S-W, Lee B-D. Leveraging Large-Scale Public Data for Artificial Intelligence-Driven Chest X-Ray Analysis and Diagnosis. Diagnostics. 2026; 16(1):146. https://doi.org/10.3390/diagnostics16010146
Chicago/Turabian StyleKhan, Farzeen Khalid, Waleed Bin Tahir, Mu Sook Lee, Jin Young Kim, Shi Sub Byon, Sun-Woo Pi, and Byoung-Dai Lee. 2026. "Leveraging Large-Scale Public Data for Artificial Intelligence-Driven Chest X-Ray Analysis and Diagnosis" Diagnostics 16, no. 1: 146. https://doi.org/10.3390/diagnostics16010146
APA StyleKhan, F. K., Tahir, W. B., Lee, M. S., Kim, J. Y., Byon, S. S., Pi, S.-W., & Lee, B.-D. (2026). Leveraging Large-Scale Public Data for Artificial Intelligence-Driven Chest X-Ray Analysis and Diagnosis. Diagnostics, 16(1), 146. https://doi.org/10.3390/diagnostics16010146

