Prognostic Implications of Guideline-Directed Medical Therapy for Heart Failure in Functional Mitral Regurgitation: A Systematic Review and Meta-Analysis †
Abstract
1. Introduction
2. Methods
2.1. Literature Search
2.2. Outcomes of Interest and Treatment Categories
2.3. Eligibility Criteria
2.4. Quality Assessment
2.5. Data Extraction and Data Synthesis
3. Results
3.1. Search Outcomes
3.2. Study Characteristics
3.3. Outcome Analyses
3.3.1. Renin–Angiotensin System Inhibitors
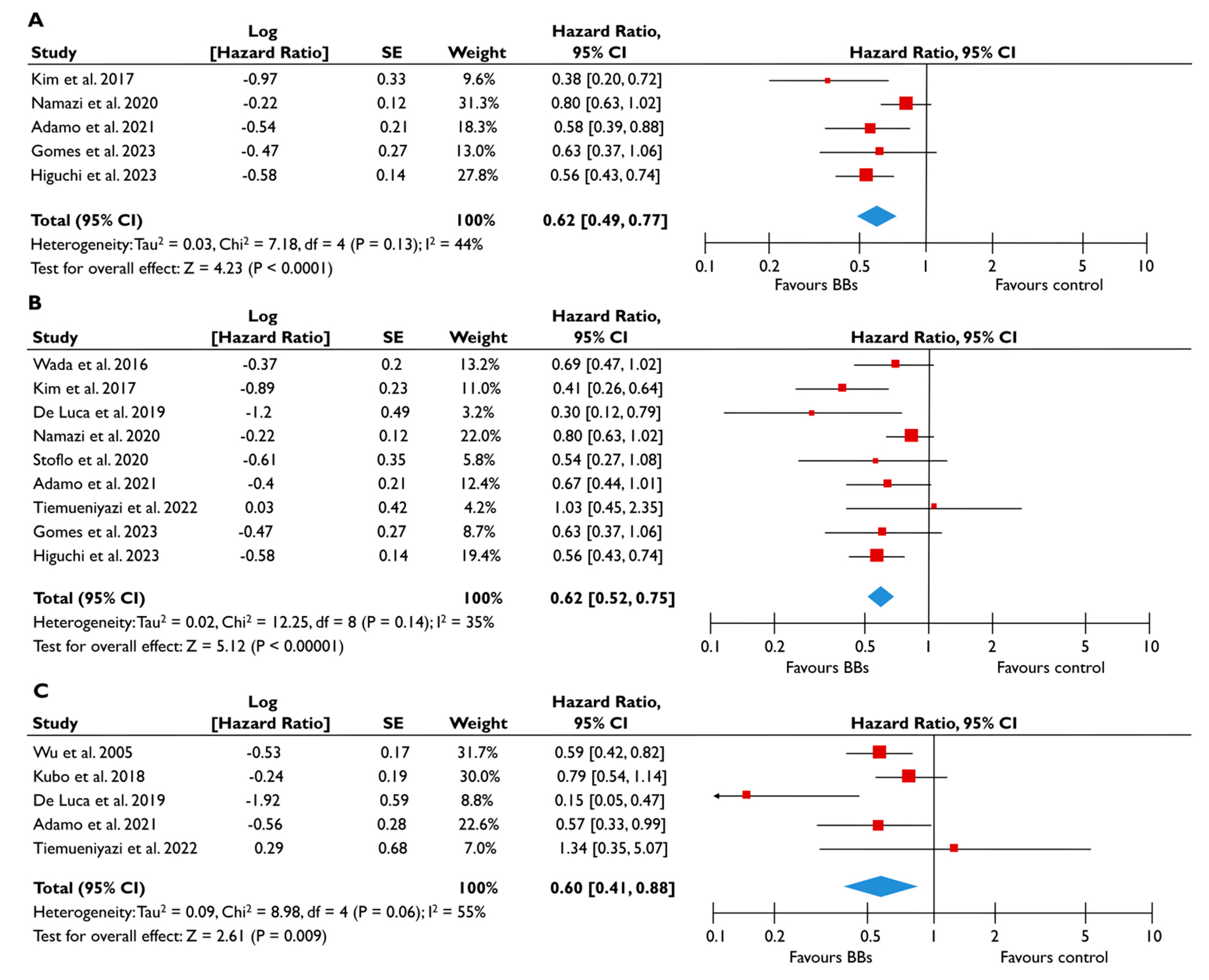
3.3.2. Beta-Blockers
3.3.3. Mineralocorticoid Receptor Antagonists
3.3.4. Quality of Evidence and Publication Bias Assessment
4. Discussion
4.1. Renin–Angiotensin System Inhibitors
4.2. Beta-Blockers
4.3. Mineralocorticoid Receptor Antagonists
4.4. GDMT Across the Whole LVEF Spectrum of HF
4.5. Cardiovascular Comorbidities and FMR in HF
4.6. Clinical Implications
4.7. Limitations
5. Conclusions
Supplementary Materials
Author Contributions
Funding
Data Availability Statement
Conflicts of Interest
Abbreviations
| AF | atrial fibrillation |
| BB | beta-blockers |
| CIs | confidence intervals |
| FMR | functional mitral regurgitation |
| HF | heart failure |
| HFmrEF | heart failure mildly reduced ejection fraction |
| HFpEF | heart failure preserved ejection fraction |
| HFrEF | heart failure reduced ejection fraction |
| GDMT-HF | guideline-directed medical therapy for heart failure |
| (a)HR | (adjusted) hazard ratio |
| LVEF | left ventricular ejection fraction |
| MRA | mineralocorticoid receptor antagonists |
| RASi | renin angiotensin system inhibitors |
References
- Robbins, J.D.; Maniar, P.B.; Cotts, W.; Parker, M.A.; Bonow, R.O.; Gheorghiade, M. Prevalence and severity of mitral regurgitation in chronic systolic heart failure. Am. J. Cardiol. 2003, 91, 360–362. [Google Scholar] [CrossRef] [PubMed]
- Chioncel, O.; Lainscak, M.; Seferovic, P.M.; Anker, S.D.; Crespo-Leiro, M.G.; Harjola, V.P.; Parissis, J.; Laroche, C.; Piepoli, M.F.; Fonseca, C.; et al. Epidemiology and one-year outcomes in patients with chronic heart failure and preserved, mid-range and reduced ejection fraction: An analysis of the ESC Heart Failure Long-Term Registry. Eur. J. Heart Fail. 2017, 19, 1574–1585. [Google Scholar] [CrossRef] [PubMed]
- Bursi, F.; Barbieri, A.; Grigioni, F.; Reggianini, L.; Zanasi, V.; Leuzzi, C.; Ricci, C.; Piovaccari, G.; Branzi, A.; Modena, M.G. Prognostic implications of functional mitral regurgitation according to the severity of the underlying chronic heart failure: A long-term outcome study. Eur. J. Heart Fail. 2010, 12, 382–388. [Google Scholar] [CrossRef] [PubMed]
- Patel, J.B.; Borgeson, D.D.; Barnes, M.E.; Rihal, C.S.; Daly, R.C.; Redfield, M.M. Mitral regurgitation in patients with advanced systolic heart failure. J. Card. Fail. 2004, 10, 285–291. [Google Scholar] [CrossRef]
- Kajimoto, K.; Sato, N.; Takano, T. Functional mitral regurgitation at discharge and outcomes in patients hospitalized for acute decompensated heart failure with a preserved or reduced ejection fraction. Eur. J. Heart Fail. 2016, 18, 1051–1059. [Google Scholar] [CrossRef]
- Goliasch, G.; Bartko, P.E.; Pavo, N.; Neuhold, S.; Wurm, R.; Mascherbauer, J.; Lang, I.M.; Strunk, G.; Hülsmann, M. Refining the prognostic impact of functional mitral regurgitation in chronic heart failure. Eur. Heart J. 2018, 39, 39–46. [Google Scholar] [CrossRef]
- Sannino, A.; Smith, R.L., 2nd; Schiattarella, G.G.; Trimarco, B.; Esposito, G.; Grayburn, P.A. Survival and Cardiovascular Outcomes of Patients with Secondary Mitral Regurgitation: A Systematic Review and Meta-analysis. JAMA Cardiol. 2017, 2, 1130–1139. [Google Scholar] [CrossRef]
- Vahanian, A.; Beyersdorf, F.; Praz, F.; Milojevic, M.; Baldus, S.; Bauersachs, J.; Capodanno, D.; Conradi, L.; De Bonis, M.; De Paulis, R.; et al. 2021 ESC/EACTS Guidelines for the management of valvular heart disease. Eur. Heart J. 2022, 43, 561–632. [Google Scholar] [CrossRef]
- Zannad, F.; McMurray, J.J.; Krum, H.; van Veldhuisen, D.J.; Swedberg, K.; Shi, H.; Vincent, J.; Pocock, S.J.; Pitt, B. Eplerenone in patients with systolic heart failure and mild symptoms. N. Engl. J. Med. 2011, 364, 11–21. [Google Scholar] [CrossRef]
- Flather, M.D.; Shibata, M.C.; Coats, A.J.; Van Veldhuisen, D.J.; Parkhomenko, A.; Borbola, J.; Cohen-Solal, A.; Dumitrascu, D.; Ferrari, R.; Lechat, P.; et al. Randomized trial to determine the effect of nebivolol on mortality and cardiovascular hospital admission in elderly patients with heart failure (SENIORS). Eur. Heart J. 2005, 26, 215–225. [Google Scholar] [CrossRef]
- Kang, D.H.; Park, S.J.; Shin, S.H.; Hong, G.R.; Lee, S.; Kim, M.S.; Yun, S.C.; Song, J.M.; Park, S.W.; Kim, J.J. Angiotensin Receptor Neprilysin Inhibitor for Functional Mitral Regurgitation. Circulation 2019, 139, 1354–1365. [Google Scholar] [CrossRef] [PubMed]
- Levine, A.B.; Muller, C.; Levine, T.B. Effects of high-dose lisinopril-isosorbide dinitrate on severe mitral regurgitation and heart failure remodeling. Am. J. Cardiol. 1998, 82, 1299–1301. [Google Scholar] [CrossRef]
- Page, M.J.; McKenzie, J.E.; Bossuyt, P.M.; Boutron, I.; Hoffmann, T.C.; Mulrow, C.D.; Shamseer, L.; Tetzlaff, J.M.; Akl, E.A.; Brennan, S.E.; et al. The PRISMA 2020 statement: An updated guideline for reporting systematic reviews. BMJ (Clin. Res. Ed.) 2021, 372, n71. [Google Scholar] [CrossRef]
- Dokainish, H.; Elbarasi, E.; Masiero, S.; Van de Heyning, C.; Brambatti, M.; Ghazal, S.; Al-Maashani, S.; Capucci, A.; Buikema, L.; Leong, D.; et al. Prospective study of tricuspid valve regurgitation associated with permanent leads in patients undergoing cardiac rhythm device implantation: Background, rationale, and design. Glob. Cardiol. Sci. Pract. 2015, 2015, 41. [Google Scholar] [CrossRef] [PubMed]
- Petersen, S.E.; Aung, N.; Sanghvi, M.M.; Zemrak, F.; Fung, K.; Paiva, J.M.; Francis, J.M.; Khanji, M.Y.; Lukaschuk, E.; Lee, A.M.; et al. Reference ranges for cardiac structure and function using cardiovascular magnetic resonance (CMR) in Caucasians from the UK Biobank population cohort. J. Cardiovasc. Magn. Reson. 2017, 19, 18. [Google Scholar] [CrossRef]
- Grooten, W.J.A.; Tseli, E.; Äng, B.O.; Boersma, K.; Stålnacke, B.M.; Gerdle, B.; Enthoven, P. Elaborating on the assessment of the risk of bias in prognostic studies in pain rehabilitation using QUIPS-aspects of interrater agreement. Diagn. Progn. Res. 2019, 3, 5. [Google Scholar] [CrossRef]
- Higgins, J.P.; Thompson, S.G.; Deeks, J.J.; Altman, D.G. Measuring inconsistency in meta-analyses. BMJ (Clin. Res. Ed.) 2003, 327, 557–560. [Google Scholar] [CrossRef]
- Lin, L.; Chu, H. Quantifying publication bias in meta-analysis. Biometrics 2018, 74, 785–794. [Google Scholar] [CrossRef]
- Meader, N.; King, K.; Llewellyn, A.; Norman, G.; Brown, J.; Rodgers, M.; Moe-Byrne, T.; Higgins, J.P.; Sowden, A.; Stewart, G. A checklist designed to aid consistency and reproducibility of GRADE assessments: Development and pilot validation. Syst. Rev. 2014, 3, 82. [Google Scholar] [CrossRef]
- Kim, K.; Kaji, S.; Kasamoto, M.; Murai, R.; Sasaki, Y.; Kitai, T.; Yamane, T.; Ehara, N.; Kobori, A.; Kinoshita, M.; et al. Renin-angiotensin system inhibitors in patients with or without ischaemic mitral regurgitation after acute myocardial infarction. Open Heart 2017, 4, e000637. [Google Scholar] [CrossRef]
- Okura, H.; Kataoka, T.; Yoshida, K. Renin-angiotensin system inhibitors in patients with myocardial infarction and secondary mitral regurgitation. Heart 2016, 102, 694–700. [Google Scholar] [CrossRef] [PubMed]
- Tiemuerniyazi, X.; Nan, Y.; Song, Y.; Yang, Z.; Zhao, W.; Xu, F.; Feng, W. Effect of β-blocker on patients with moderate functional mitral regurgitation undergoing surgical aortic valve replacement. ESC Heart Fail. 2022, 9, 3317–3326. [Google Scholar] [CrossRef] [PubMed]
- Adamo, M.; Fiorelli, F.; Melica, B.; D’Ortona, R.; Lupi, L.; Giannini, C.; Silva, G.; Fiorina, C.; Branca, L.; Chiari, E.; et al. COAPT-Like Profile Predicts Long-Term Outcomes in Patients with Secondary Mitral Regurgitation Undergoing MitraClip Implantation. JACC Cardiovasc. Interv. 2021, 14, 15–25. [Google Scholar] [CrossRef]
- Higuchi, S.; Orban, M.; Adamo, M.; Giannini, C.; Melica, B.; Karam, N.; Praz, F.; Kalbacher, D.; Lubos, E.; Stolz, L.; et al. Sex-specific impact of anthropometric parameters on outcomes after transcatheter edge-to-edge repair for secondary mitral regurgitation. Int. J. Cardiol. 2023, 371, 312–318. [Google Scholar] [CrossRef]
- Wada, Y.; Ohara, T.; Funada, A.; Hasegawa, T.; Sugano, Y.; Kanzaki, H.; Yokoyama, H.; Yasuda, S.; Ogawa, H.; Anzai, T. Prognostic Impact of Functional Mitral Regurgitation in Patients Admitted with Acute Decompensated Heart Failure. Circ. J. 2016, 80, 139–147. [Google Scholar] [CrossRef]
- Kubo, S.; Kawase, Y.; Hata, R.; Maruo, T.; Tada, T.; Kadota, K. Dynamic severe mitral regurgitation on hospital arrival as prognostic predictor in patients hospitalized for acute decompensated heart failure. Int. J. Cardiol. 2018, 273, 177–182. [Google Scholar] [CrossRef]
- Gomes, D.A.; Lopes, P.M.; Freitas, P.; Albuquerque, F.; Reis, C.; Guerreiro, S.; Abecasis, J.; Trabulo, M.; Ferreira, A.M.; Ferreira, J.; et al. Peak left atrial longitudinal strain is associated with all-cause mortality in patients with ventricular functional mitral regurgitation. Cardiovasc. Ultrasound 2023, 21, 9. [Google Scholar] [CrossRef]
- Stolfo, D.; Castrichini, M.; Biagini, E.; Compagnone, M.; De Luca, A.; Caiffa, T.; Berardini, A.; Vitrella, G.; Korcova, R.; Perkan, A.; et al. Modifications of medical treatment and outcome after percutaneous correction of secondary mitral regurgitation. ESC Heart Fail. 2020, 7, 1753–1763. [Google Scholar] [CrossRef] [PubMed]
- Wu, A.H.; Aaronson, K.D.; Bolling, S.F.; Pagani, F.D.; Welch, K.; Koelling, T.M. Impact of mitral valve annuloplasty on mortality risk in patients with mitral regurgitation and left ventricular systolic dysfunction. J. Am. Coll. Cardiol. 2005, 45, 381–387. [Google Scholar] [CrossRef]
- Namazi, F.; van der Bijl, P.; Hirasawa, K.; Kamperidis, V.; van Wijngaarden, S.E.; Mertens, B.; Leon, M.B.; Hahn, R.T.; Stone, G.W.; Narula, J.; et al. Prognostic Value of Left Ventricular Global Longitudinal Strain in Patients with Secondary Mitral Regurgitation. J. Am. Coll. Cardiol. 2020, 75, 750–758. [Google Scholar] [CrossRef]
- De Luca, A.; Stolfo, D.; Caiffa, T.; Korcova, R.; Barbati, G.; Vitrella, G.; Rakar, S.; Perkan, A.; Secoli, G.; Pinamonti, B.; et al. Prognostic Value of Global Longitudinal Strain-Based Left Ventricular Contractile Reserve in Candidates for Percutaneous Correction of Functional Mitral Regurgitation: Implications for Patient Selection. J. Am. Soc. Echocardiogr. 2019, 32, 1436–1443. [Google Scholar] [CrossRef]
- Packer, M.; Anker, S.D.; Butler, J.; Filippatos, G.; Pocock, S.J.; Carson, P.; Januzzi, J.; Verma, S.; Tsutsui, H.; Brueckmann, M.; et al. Cardiovascular and Renal Outcomes with Empagliflozin in Heart Failure. N. Engl. J. Med. 2020, 383, 1413–1424. [Google Scholar] [CrossRef] [PubMed]
- Kang, D.H.; Park, S.J.; Shin, S.H.; Hwang, I.C.; Yoon, Y.E.; Kim, H.K.; Kim, M.; Kim, M.S.; Yun, S.C.; Song, J.M.; et al. Ertugliflozin for Functional Mitral Regurgitation Associated with Heart Failure: EFFORT Trial. Circulation 2024, 149, 1865–1874. [Google Scholar] [CrossRef] [PubMed]
- Wong, M.; Staszewsky, L.; Latini, R.; Barlera, S.; Volpi, A.; Chiang, Y.T.; Benza, R.L.; Gottlieb, S.O.; Kleemann, T.D.; Rosconi, F.; et al. Valsartan benefits left ventricular structure and function in heart failure: Val-HeFT echocardiographic study. J. Am. Coll. Cardiol. 2002, 40, 970–975. [Google Scholar] [CrossRef]
- Wang, Y.; Zhou, R.; Lu, C.; Chen, Q.; Xu, T.; Li, D. Effects of the Angiotensin-Receptor Neprilysin Inhibitor on Cardiac Reverse Remodeling: Meta-Analysis. J. Am. Heart Assoc. 2019, 8, e012272. [Google Scholar] [CrossRef]
- Colucci, W.S.; Kolias, T.J.; Adams, K.F.; Armstrong, W.F.; Ghali, J.K.; Gottlieb, S.S.; Greenberg, B.; Klibaner, M.I.; Kukin, M.L.; Sugg, J.E. Metoprolol reverses left ventricular remodeling in patients with asymptomatic systolic dysfunction: The REversal of VEntricular Remodeling with Toprol-XL (REVERT) trial. Circulation 2007, 116, 49–56. [Google Scholar] [CrossRef] [PubMed]
- Capomolla, S.; Febo, O.; Gnemmi, M.; Riccardi, G.; Opasich, C.; Caporotondi, A.; Mortara, A.; Pinna, G.D.; Cobelli, F. Beta-blockade therapy in chronic heart failure: Diastolic function and mitral regurgitation improvement by carvedilol. Am. Heart J. 2000, 139, 596–608. [Google Scholar] [CrossRef]
- Comin-Colet, J.; Sánchez-Corral, M.A.; Manito, N.; Gómez-Hospital, J.A.; Roca, J.; Fernández-Nofrerias, E.; Valdovinos, P.; Esplugas, E. Effect of carvedilol therapy on functional mitral regurgitation, ventricular remodeling, and contractility in patients with heart failure due to left ventricular systolic dysfunction. Transplant. Proc. 2002, 34, 177–178. [Google Scholar] [CrossRef]
- Lowes, B.D.; Gill, E.A.; Abraham, W.T.; Larrain, J.R.; Robertson, A.D.; Bristow, M.R.; Gilbert, E.M. Effects of carvedilol on left ventricular mass, chamber geometry, and mitral regurgitation in chronic heart failure. Am. J. Cardiol. 1999, 83, 1201–1205. [Google Scholar] [CrossRef]
- McDonagh, T.A.; Metra, M.; Adamo, M.; Gardner, R.S.; Baumbach, A.; Bohm, M.; Burri, H.; Butler, J.; Celutkiene, J.; Chioncel, O.; et al. 2021 ESC Guidelines for the diagnosis and treatment of acute and chronic heart failure. Eur. Heart J. 2021, 42, 3599–3726. [Google Scholar] [CrossRef]
- Heidenreich, P.A.; Bozkurt, B.; Aguilar, D.; Allen, L.A.; Byun, J.J.; Colvin, M.M.; Deswal, A.; Drazner, M.H.; Dunlay, S.M.; Evers, L.R.; et al. 2022 AHA/ACC/HFSA Guideline for the Management of Heart Failure: A Report of the American College of Cardiology/American Heart Association Joint Committee on Clinical Practice Guidelines. Circulation 2022, 145, e895–e1032. [Google Scholar] [CrossRef] [PubMed]
- Iraqi, W.; Rossignol, P.; Angioi, M.; Fay, R.; Nuée, J.; Ketelslegers, J.M.; Vincent, J.; Pitt, B.; Zannad, F. Extracellular cardiac matrix biomarkers in patients with acute myocardial infarction complicated by left ventricular dysfunction and heart failure: Insights from the Eplerenone Post-Acute Myocardial Infarction Heart Failure Efficacy and Survival Study (EPHESUS) study. Circulation 2009, 119, 2471–2479. [Google Scholar] [CrossRef] [PubMed]
- Udelson, J.E.; Feldman, A.M.; Greenberg, B.; Pitt, B.; Mukherjee, R.; Solomon, H.A.; Konstam, M.A. Randomized, double-blind, multicenter, placebo-controlled study evaluating the effect of aldosterone antagonism with eplerenone on ventricular remodeling in patients with mild-to-moderate heart failure and left ventricular systolic dysfunction. Circ. Heart Fail. 2010, 3, 347–353. [Google Scholar] [CrossRef] [PubMed]
- Farhan, S.; Silbiger, J.J.; Halperin, J.L.; Zhang, L.; Dukkipati, S.R.; Vogel, B.; Kini, A.; Sharma, S.; Lerakis, S. Pathophysiology, Echocardiographic Diagnosis, and Treatment of Atrial Functional Mitral Regurgitation: JACC State-of-the-Art Review. J. Am. Coll. Cardiol. 2022, 80, 2314–2330. [Google Scholar] [CrossRef]
- Zoghbi, W.A.; Levine, R.A.; Flachskampf, F.; Grayburn, P.; Gillam, L.; Leipsic, J.; Thomas, J.D.; Kwong, R.Y.; Vandervoort, P.; Chandrashekhar, Y. Atrial Functional Mitral Regurgitation: A JACC: Cardiovascular Imaging Expert Panel Viewpoint. JACC Cardiovasc. Imaging 2022, 15, 1870–1882. [Google Scholar] [CrossRef]
- Vannan, M.A.; Rajagopal, V.; Yadav, P.K. Atrial Functional Mitral Regurgitation. Circ. Cardiovasc. Imaging 2023, 16, e015396. [Google Scholar] [CrossRef]
- Kumar, M.; Thompson, P.D.; Chen, K. New Perspective on Pathophysiology and Management of Functional Mitral Regurgitation. Trends Cardiovasc. Med. 2023, 33, 386–392. [Google Scholar] [CrossRef]
- Kamperidis, V.; Marsan, N.A.; Delgado, V.; Bax, J.J. Left ventricular systolic function assessment in secondary mitral regurgitation: Left ventricular ejection fraction vs. speckle tracking global longitudinal strain. Eur. Heart J. 2016, 37, 811–816. [Google Scholar] [CrossRef]
- Matsumoto, T.; Nakamura, M.; Yeow, W.L.; Hussaini, A.; Ram, V.; Makar, M.; Gurudevan, S.V.; Trento, A.; Siegel, R.J.; Kar, S. Impact of pulmonary hypertension on outcomes in patients with functional mitral regurgitation undergoing percutaneous edge-to-edge repair. Am. J. Cardiol. 2014, 114, 1735–1739. [Google Scholar] [CrossRef]
- Stone, G.W.; Lindenfeld, J.; Abraham, W.T.; Kar, S.; Lim, D.S.; Mishell, J.M.; Whisenant, B.; Grayburn, P.A.; Rinaldi, M.; Kapadia, S.R.; et al. Transcatheter Mitral-Valve Repair in Patients with Heart Failure. N. Engl. J. Med. 2018, 379, 2307–2318. [Google Scholar] [CrossRef]
- Obadia, J.F.; Messika-Zeitoun, D.; Leurent, G.; Iung, B.; Bonnet, G.; Piriou, N.; Lefèvre, T.; Piot, C.; Rouleau, F.; Carrié, D.; et al. Percutaneous Repair or Medical Treatment for Secondary Mitral Regurgitation. N. Engl. J. Med. 2018, 379, 2297–2306. [Google Scholar] [CrossRef] [PubMed]
- Grayburn, P.A.; Sannino, A.; Packer, M. Proportionate and Disproportionate Functional Mitral Regurgitation: A New Conceptual Framework That Reconciles the Results of the MITRA-FR and COAPT Trials. JACC Cardiovasc. Imaging 2019, 12, 353–362. [Google Scholar] [CrossRef]
- Namazi, F.; van der Bijl, P.; Fortuni, F.; Mertens, B.J.A.; Kamperidis, V.; van Wijngaarden, S.E.; Stone, G.W.; Narula, J.; Ajmone Marsan, N.; Vahanian, A.; et al. Regurgitant Volume/Left Ventricular End-Diastolic Volume Ratio: Prognostic Value in Patients with Secondary Mitral Regurgitation. JACC Cardiovasc. Imaging 2021, 14, 730–739. [Google Scholar] [CrossRef] [PubMed]
- Nasser, R.; Van Assche, L.; Vorlat, A.; Vermeulen, T.; Van Craenenbroeck, E.; Conraads, V.; Van der Meiren, V.; Shivalkar, B.; Van Herck, P.; Claeys, M.J. Evolution of Functional Mitral Regurgitation and Prognosis in Medically Managed Heart Failure Patients with Reduced Ejection Fraction. JACC Heart Fail. 2017, 5, 652–659. [Google Scholar] [CrossRef]
- Vijayalakshmi, I.; Yavagal, S.; Prabhudev, N. Role of echocardiography in assessing the mechanism and effect of ramipril on functional mitral regurgitation in dilated cardiomyopathy. Echocardiography 2005, 22, 289–295. [Google Scholar] [CrossRef] [PubMed]
- Packer, M.M.O.; Capomolla, S.M.O.; Febo, O.M.O.; Gnemmi, M.M.O.; Riccardi, G.M.O.; Opasich, C.M.O.; Caporotondi, A.M.O.; Mortara, A.M.O.; Pinna, G.M.O. [beta]-Blockade therapy in chronic heart failure: Diastolic function and mitral regurgitation improvement by carvedilol. Am. Hear. J. 2000, 139, 0596–0608. [Google Scholar] [CrossRef]
- Spinka, G.; Bartko, P.E.; Heitzinger, G.; Prausmüller, S.; Winter, M.-P.; Arfsten, H.; Strunk, G.; Rosenhek, R.; Kastl, S.; Hengstenberg, C.; et al. Guideline directed medical therapy and reduction of secondary mitral regurgitation. Eur. Hear. J.-Cardiovasc. Imaging 2022, 23, 755–764. [Google Scholar] [CrossRef]
- Waagstein, F.; Caidahl, K.; Wallentin, I.; Bergh, C.H.; Hjalmarson, A. Long-term beta-blockade in dilated cardiomyopathy. Effects of short- and long-term metoprolol treatment followed by withdrawal and readministration of metoprolol. Circulation 1989, 80, 551–563. [Google Scholar] [CrossRef]
- Seneviratne, B.; A Moore, G.; West, P.D. Effect of captopril on functional mitral regurgitation in dilated heart failure: A randomised double blind placebo controlled trial. Heart 1994, 72, 63–68. [Google Scholar] [CrossRef]
- Waagstein, F.; Strömblad, O.; Andersson, B.; Böhm, M.; Darius, M.; Delius, W.; Goss, F.; Osterziel, K.J.; Sigmund, M.; Trenkwalder, S.P.; et al. Increased exercise ejection fraction and reversed remodeling after long-term treatment with metoprolol in congestive heart failure: A randomized, stratified, double-blind, placebo-controlled trial in mild to moderate heart failure due to ischemic or idiopathic dilated cardiomyopathy. Eur. J. Heart Fail. 2003, 5, 679–691. [Google Scholar]
- Kotlyar, E.; Hayward, C.S.; Keogh, A.M.; Feneley, M.; Macdonald, P.S. The impact of baseline left ventricular size and mitral regurgitation on reverse left ventricular remodelling in response to carvedilol: Size doesn’t matter. Heart 2004, 90, 800–801. [Google Scholar] [CrossRef] [PubMed][Green Version]
- Moon, M.; Hwang, I.; Choi, W.; Cho, G.; Yoon, Y.E.; Park, J.; Lee, S.; Kim, H.; Kim, Y. Reverse remodelling by sacubitril/valsartan predicts the prognosis in heart failure with reduced ejection fraction. ESC Hear. Fail. 2021, 8, 2058–2069. [Google Scholar] [CrossRef]
- Villani, A.; Ravaro, S.; Cerea, P.; Caravita, S.; Ciambellotti, F.; Branzi, G.; Munforti, C.; Parati, G.; Malfatto, G. Do the remodeling effects of sacubitril/valsartan treatment depend upon heart failure duration? J. Cardiovasc. Med. 2020, 21, 682–687. [Google Scholar] [CrossRef] [PubMed]
- Adamo, M.; Pagnesi, M.; Rubbio, A.P.; Branca, L.; Grasso, C.; Denti, P.; Giordano, A.; Tusa, M.; De Marco, F.; Lupi, L.; et al. Predictors of optimal procedural result after transcatheter edge-to-edge mitral valve repair in secondary mitral regurgitation. Catheter. Cardiovasc. Interv. 2022, 99, 1626–1635. [Google Scholar] [CrossRef]
- Kar, S.; Mack, M.J.; Lindenfeld, J.; Abraham, W.T.; Asch, F.M.; Weissman, N.J.; Enriquez-Sarano, M.; Lim, D.S.; Mishell, J.M.; Whisenant, B.K.; et al. Relationship Between Residual Mitral Regurgitation and Clinical and Quality-of-Life Outcomes After Transcatheter and Medical Treatments in Heart Failure: COAPT Trial. Circulation 2021, 144, 426–437. [Google Scholar] [CrossRef]
- Nogi, M.; Okura, H.; Kataoka, T.; Yoshida, K. Predictors and prognostic impact of secondary mitral regurgitation in myocardial infarction with preserved ejection fraction. J. Echocardiogr. 2019, 18, 67–72. [Google Scholar] [CrossRef] [PubMed]
- Aronson, D.; Mutlak, D.; Lessick, J.; Kapeliovich, M.; Dabbah, S.; Markiewicz, W.; Beyar, R.; Hammerman, H.; Reisner, S.; Agmon, Y. Relation of statin therapy to risk of heart failure after acute myocardial infarction. Am. J. Cardiol. 2008, 102, 1706–1710. [Google Scholar] [CrossRef]
- Nagura, F.; Kataoka, A.; Ishibashi, R.; Mitsui, M.; Hioki, H.; Kuwabara, M.; Uno, K.; Watanabe, Y.; Yokoyama, N.; Kozuma, K. Effect of oral tolvaptan for 1 year in patients with functional mitral regurgitation. Hear. Vessel. 2021, 37, 434–442. [Google Scholar] [CrossRef]
- Branzi, G.; Malfatto, G.; Villani, A.; Ciambellotti, F.; Revera, M.; Giglio, A.; Della Rosa, F.; Facchini, M.; Parati, G. Acute effects of levosimendan on mitral regurgitation and diastolic function in patients with advanced chronic heart failure. J. Cardiovasc. Med. 2010, 11, 662–668. [Google Scholar] [CrossRef]
- Malfatto, G.; Della Rosa, F.; Villani, A.; Rella, V.; Branzi, G.; Facchini, M.; Parati, G. Intermittent levosimendan infusions in advanced heart failure: Favourable effects on left ventricular function, neurohormonal balance, and one-year survival. J. Cardiovasc. Pharmacol. 2012, 60, 450–455. [Google Scholar] [CrossRef]
- Hamilton, M.A.; Stevenson, L.W.; Child, J.S.; Moriguchi, J.D.; Woo, M. Acute reduction of atrial overload during vasodilator and diuretic therapy in advanced congestive heart failure. Am. J. Cardiol. 1990, 65, 1209–1212. [Google Scholar] [CrossRef] [PubMed]
- Keren, G.; Bier, A.; Strom, J.; Laniado, S.; Sonnenblick, E.; LeJemtel, T. Dynamics of mitral regurgitation during nitroglycerin therapy: A Doppler echocardiographic study. Am. Hear. J. 1986, 112, 517–525. [Google Scholar] [CrossRef] [PubMed]
- Keren, G.; Laniado, S.; Sonnenblick, E.H.; Lejemtel, T.H. Dynamics of functional mitral regurgitation during dobutamine therapy in patients with severe congestive heart failure: A Doppler echocardiographic study. Am. Hear. J. 1989, 118, 748–754. [Google Scholar] [CrossRef]
- Yedidya, I.; Lustosa, R.P.; Fortuni, F.; van der Bijl, P.; Namazi, F.; Vo, N.M.; Meucci, M.C.; Marsan, N.A.; Bax, J.J.; Delgado, V. Prognostic Implications of Left Ventricular Myocardial Work Indices in Patients with Secondary Mitral Regurgitation. Circ. Cardiovasc. Imaging 2021, 14, e012142. [Google Scholar] [CrossRef] [PubMed]
- Verbeke, J.; Calle, S.; Kamoen, V.; De Buyzere, M.; Timmermans, F. Prognostic value of myocardial work and global longitudinal strain in patients with heart failure and functional mitral regurgitation. Int. J. Cardiovasc. Imaging 2021, 38, 803–812. [Google Scholar] [CrossRef]
- Evangelista-Masip, A.; Bruguera-Cortada, J.; Serrat-Serradell, R.; Robles-Castro, A.; Galve-Basilio, E.; Alijarde-Guimera, M.; Soler-Soler, J. Influence of mitral regurgitation on the response to captopril therapy for congestive heart failure caused by idiopathic dilated cardiomyopathy. Am. J. Cardiol. 1992, 69, 373–376. [Google Scholar] [CrossRef]
- Raphael, D.M.; Liu, Z.; Jin, Z.; Cui, X.; Han, D.; He, W.; Shangguan, J.; Shen, D. Effects of sacubitril/valsartan on clinical symptoms, echocardiographic parameters, and outcomes in HFrEF and HFmrEF patients with coronary heart disease and chronic kidney disease. Curr. Med. Res. Opin. 2021, 37, 1071–1078. [Google Scholar] [CrossRef]
- Kataria, R.; Castagna, F.; Madan, S.; Kim, P.; Saeed, O.; Adjepong, Y.A.; Melainis, A.A.; Taub, C.; Garcia, M.J.; Latib, A.; et al. Severity of Functional Mitral Regurgitation on Admission for Acute Decompensated Heart Failure Predicts Long-Term Risk of Rehospitalization and Death. J. Am. Hear. Assoc. 2022, 11, e022908. [Google Scholar] [CrossRef]
- Tanaka, T.; Kavsur, R.; Spieker, M.; Iliadis, C.; Metze, C.; Brachtendorf, B.M.; Horn, P.; Zachoval, C.; Sugiura, A.; Kelm, M.; et al. Guideline-directed medical therapy after transcatheter edge-to-edge mitral valve repair. Heart 2022, 108, 1722–1728. [Google Scholar] [CrossRef]
- Higuchi, S.; Orban, M.; Adamo, M.; Giannini, C.; Melica, B.; Karam, N.; Praz, F.; Kalbacher, D.; Koell, B.; Stolz, L.; et al. Guideline-directed medical therapy in patients undergoing transcatheter edge-to-edge repair for secondary mitral regurgitation. Eur. J. Hear. Fail. 2022, 24, 2152–2161. [Google Scholar] [CrossRef]









| Author | Year | Population | Design | No. of Patients | Age, Years | Male, % | LVEF Cut-Off for Inclusion, % | LVEF, % | Medication | Follow-Up Period, Months |
|---|---|---|---|---|---|---|---|---|---|---|
| Wu et al. [29] | 2005 | At least moderate FMR | Retrospective, observational | 682 | 63.5 ± 14.2 | 59.1 | 30 | 20.1 ± 7.0 | RASi, BB | NS |
| Okura et al. [21] | 2016 | At least moderate ischemic FMR | Retrospective, observational | 296 | 72.5 ± 11.6 | 60.1 | NS | 48.3 ± 11.2 | RASi | NS |
| Wada et al. [25] | 2016 | Acute decompensated HF with FMR | Retrospective, observational | 349 | 72.0 ± 13.0 | 65.3 | NS | NS | RASi, BB, MRA | 25.2 ± 15.6 |
| Kim et al. [20] | 2017 | At least mild ischemic FMR | Retrospective, observational | 551 | 68.1 ± 10.7 | 76.6 | NS | 50.4 ± 10.6 | RASi, BB | 61.2 (28.8, 86.4) |
| Kubo et al. [26] | 2018 | Acute decompensated HF with at least mild FMR | Prospective, observational | 563 | 80.9 (72.3, 87.0) | 54.5 | NS | 39.6 ± 18.9 | RASi, BB | 13.3 (7.7, 17.5) |
| De Luca et al. [31] | 2019 | Symptomatic HF with at least moderate FMR, no ischemia | Prospective, observational | 33 | 71 (62, 76) | 76.0 | 40 | 29.0 (26.0–36.0) | BB | 25.0 (10.0, 40.0) |
| Stolfo et al. [28] | 2020 | Significant FMR undergoing TEER | Prospective, observational | 1221 | 67.0 ± 12.0 | 77.0 | 40 | 30.8 ± 7.3 | RASi, BB, MRA | 25.0 (9.5, 40.5) |
| Namazi et al. [30] | 2020 | At least moderate FMR | Retrospective, observational | 650 | 66.0 ± 11.0 | 68.0 | NS | 29.0 ± 10.0 | BB | 56.0 (28.0, 106.0) |
| Adamo et al. [23] | 2021 | Significant FMR undergoing TEER | Retrospective, observational | 304 | 71.6 ± 9.4 | 74.0 | 50 | 32.2 ± 8.4 | RASi, BB, MRA | 21.5 (8.4, 36.8) |
| Tiemuerniyazi et al. [22] | 2022 | Moderate FMR and significant aortic valve disease | Retrospective, observational | 165 | 59.2 ± 12.2 | 65.4 | NS | 55.0 (46.0, 61.0) | BB | 18.4 (12.1, 18.3) |
| Higuchi et al. [24] | 2023 | Significant FMR undergoing TEER | Retrospective, observational | 1594 | 74.0 ± 10.0 | 66.0 | NS | 35.0 ± 12.0 | RASi, BB, MRA | 20.4 (11.0, 37.1) |
| Gomes et al. [27] | 2023 | At least mild ventricular FMR | Retrospective, observational | 307 | 70.0 (62.0, 77.0) | 76.9 | 50 | 35 (27, 40) | RASi, BB, MRA | 42.0 (16.8, 67.2) |
Disclaimer/Publisher’s Note: The statements, opinions and data contained in all publications are solely those of the individual author(s) and contributor(s) and not of MDPI and/or the editor(s). MDPI and/or the editor(s) disclaim responsibility for any injury to people or property resulting from any ideas, methods, instructions or products referred to in the content. |
© 2025 by the authors. Licensee MDPI, Basel, Switzerland. This article is an open access article distributed under the terms and conditions of the Creative Commons Attribution (CC BY) license (https://creativecommons.org/licenses/by/4.0/).
Share and Cite
Anastasiou, V.; Papazoglou, A.S.; Daios, S.; Moysidis, D.V.; Tsiartas, E.; Didagelos, M.; Dimitriadis, K.; Karamitsos, T.; Giannakoulas, G.; Tsioufis, K.; et al. Prognostic Implications of Guideline-Directed Medical Therapy for Heart Failure in Functional Mitral Regurgitation: A Systematic Review and Meta-Analysis. Diagnostics 2025, 15, 598. https://doi.org/10.3390/diagnostics15050598
Anastasiou V, Papazoglou AS, Daios S, Moysidis DV, Tsiartas E, Didagelos M, Dimitriadis K, Karamitsos T, Giannakoulas G, Tsioufis K, et al. Prognostic Implications of Guideline-Directed Medical Therapy for Heart Failure in Functional Mitral Regurgitation: A Systematic Review and Meta-Analysis. Diagnostics. 2025; 15(5):598. https://doi.org/10.3390/diagnostics15050598
Chicago/Turabian StyleAnastasiou, Vasileios, Andreas S. Papazoglou, Stylianos Daios, Dimitrios V. Moysidis, Eirinaios Tsiartas, Matthaios Didagelos, Kyriakos Dimitriadis, Theodoros Karamitsos, George Giannakoulas, Konstantinos Tsioufis, and et al. 2025. "Prognostic Implications of Guideline-Directed Medical Therapy for Heart Failure in Functional Mitral Regurgitation: A Systematic Review and Meta-Analysis" Diagnostics 15, no. 5: 598. https://doi.org/10.3390/diagnostics15050598
APA StyleAnastasiou, V., Papazoglou, A. S., Daios, S., Moysidis, D. V., Tsiartas, E., Didagelos, M., Dimitriadis, K., Karamitsos, T., Giannakoulas, G., Tsioufis, K., Ziakas, A., & Kamperidis, V. (2025). Prognostic Implications of Guideline-Directed Medical Therapy for Heart Failure in Functional Mitral Regurgitation: A Systematic Review and Meta-Analysis. Diagnostics, 15(5), 598. https://doi.org/10.3390/diagnostics15050598

