Safety and Clinical Efficacy of Prostatic Artery Embolization in Patients with Indwelling Urinary Catheter for Benign Hyperplasia—A Multicenter Study
Abstract
1. Introduction
2. Materials and Methods
2.1. Study Design
2.2. Definition of Patient Outcomes
2.3. PAE Procedure
2.3.1. Common Steps
2.3.2. End of the Procedure
2.4. Data Collection
2.5. Statistical Analysis
3. Results
3.1. Study Population
3.2. Characteristics of the PAE Procedure (Table 2)
3.3. Clinical Outcomes (Table 3)
| Characteristics | Patients |
|---|---|
| Length of hospital stay (days) | 1 [1–1] (1–7) |
| TWOC success | 113/140 (80.7) |
| Time from PAE to TWOC (days) | 28 [21–36.8] (7–120) |
| Total no. of relapse post-TWOC success 1 | 27/113 (23.9) |
| No. of relapse in patients included in PCFS analysis 2 | 23/109 (21.1) |
| Time from TWOC to relapse (days) in relapsing patients | 180 [90–420] (30–930) |
| Death during study follow-up | 40/140 (28.6) |
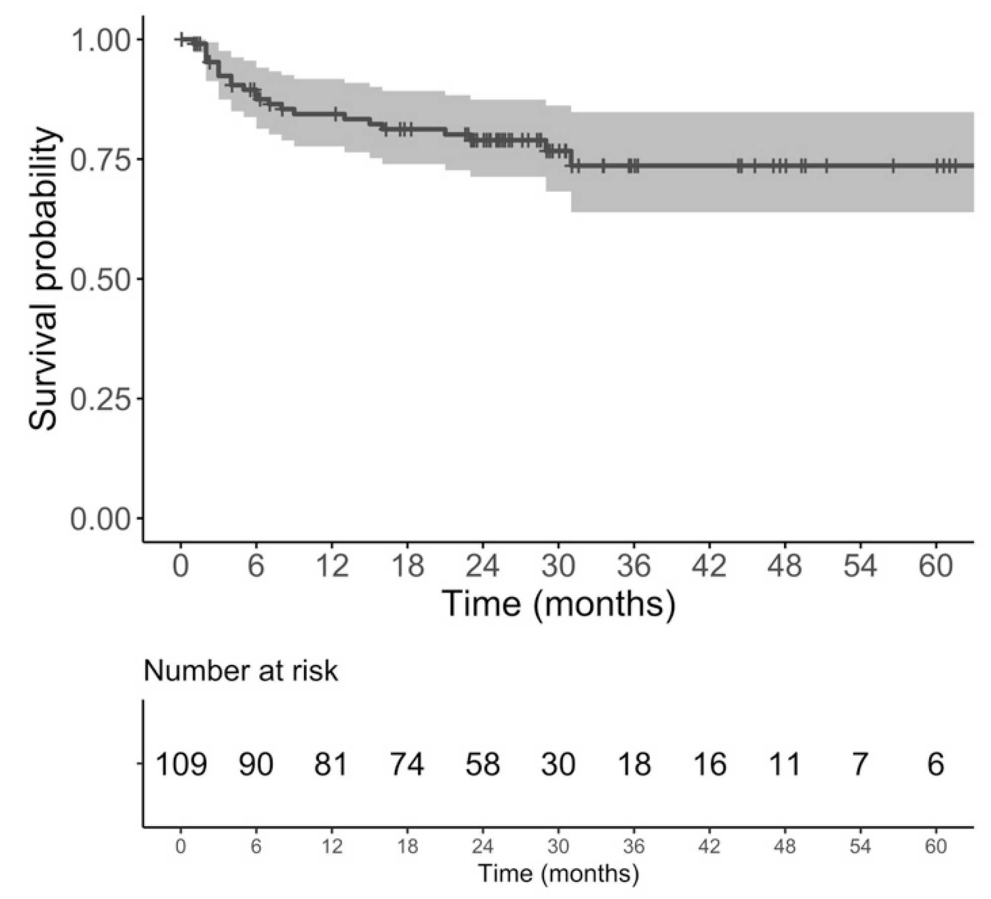
| Probability of post-PAE catheter-free survival (PCFS) | |
| At 3 months post-TWOC success | 92.4% (95%CI: 87.4–97.6) |
| At 6 months post-TWOC success | 87.5% (95%CI: 81.4–94.1) |
| At 1 year post-TWOC success | 84.4% (95%CI: 77.7–91.7) |
| At 2 years post-TWOC success | 79% (95%CI: 71.3–87.4) |
3.4. Assessment of Features Associated with TWOC and PCFS
4. Discussion
5. Conclusions
Author Contributions
Funding
Institutional Review Board Statement
Informed Consent Statement
Data Availability Statement
Conflicts of Interest
References
- Fitzpatrick, J.M.; Desgrandchamps, F.; Adjali, K.; Gomez Guerra, L.; Hong, S.J.; El Khalid, S.; Ratana-Olarn, K. Reten-World Study Group, Management of acute urinary retention: A worldwide survey of 6074 men with benign prostatic hyperplasia. BJU Int. 2012, 109, 88–95. [Google Scholar] [CrossRef]
- Marshall, J.R.; Haber, J.; Josephson, E.B. An evidence-based approach to emergency department management of acute urinary retention. Emerg. Med. Pract. 2014, 16, 1–20. [Google Scholar] [PubMed]
- Emberton, M.; Anson, K. Acute urinary retention in men: An age old problem. BMJ 1999, 318, 921–925. [Google Scholar] [CrossRef] [PubMed]
- McNeill, S.A.; Hargreave, T.B. Members of the Alfaur Study Group, Alfuzosin once daily facilitates return to voiding in patients in acute urinary retention. J. Urol. 2004, 171, 2316–2320. [Google Scholar] [CrossRef]
- Desgrandchamps, F.; De La Taille, A.; Doublet, J.D.; RetenFrance Study Group. The management of acute urinary retention in France: A cross-sectional survey in 2618 men with benign prostatic hyperplasia. BJU Int. 2006, 97, 727–733. [Google Scholar] [CrossRef] [PubMed]
- Lo, K.L.; Chan, M.C.K.; Wong, A.; Hou, S.M.; Ng, C.F. Long-term outcome of patients with a successful trial without catheter, after treatment with an alpha-adrenergic receptor blocker for acute urinary retention caused by benign prostatic hyperplasia. Int. Urol. Nephrol. 2010, 42, 7–12. [Google Scholar] [CrossRef] [PubMed]
- Saint, S.; Trautner, B.W.; Fowler, K.E.; Colozzi, J.; Ratz, D.; Lescinskas, E.; Hollingsworth, J.M.; Krein, S.L. A Multicenter Study of Patient-Reported Infectious and Noninfectious Complications Associated With Indwelling Urethral Catheters. JAMA Intern. Med. 2018, 178, 1078–1085. [Google Scholar] [CrossRef] [PubMed]
- Clayton, J.L. Indwelling Urinary Catheters: A Pathway to Health Care-Associated Infections. AORN J. 2017, 105, 446–452. [Google Scholar] [CrossRef] [PubMed]
- Chenoweth, C.E.; Gould, C.V.; Saint, S. Diagnosis, Management, and Prevention of Catheter-Associated Urinary Tract Infections. Infect. Dis. Clin. N. Am. 2014, 28, 105–119. [Google Scholar] [CrossRef] [PubMed]
- Hollingsworth, J.M.; Rogers, M.A.M.; Krein, S.L.; Hickner, A.; Kuhn, L.; Cheng, A.; Chang, R.; Saint, S. Determining the noninfectious complications of indwelling urethral catheters: A systematic review and meta-analysis. Ann. Intern. Med. 2013, 159, 401–410. [Google Scholar] [CrossRef] [PubMed]
- Dornbier, R.; Pahouja, G.; Branch, J.; McVary, K.T. The New American Urological Association Benign Prostatic Hyperplasia Clinical Guidelines: 2019 Update. Curr. Urol. Rep. 2020, 21, 32. [Google Scholar] [CrossRef] [PubMed]
- Huang, L.-K.; Chang, Y.-H.; Shao, I.-H.; Lee, T.-L.; Hsieh, M.-L. Clinical Outcome of Immediate Transurethral Surgery for Benign Prostate Obstruction Patients with Acute Urinary Retention: More Radical Resection Resulted in Better Voiding Function. J. Clin. Med. 2019, 8, 1278. [Google Scholar] [CrossRef] [PubMed]
- Aho, T.; Finch, W.; Jefferson, P.; Suraparaju, L.; Georgiades, F. HoLEP for acute and non-neurogenic chronic urinary retention: How effective is it? World J. Urol. 2021, 39, 2355–2361. [Google Scholar] [CrossRef] [PubMed]
- Geremew, L.M.; Gelaw, S.A.; Beyene, A.D. Assessing the Complications of Monopolar Transurethral Resection of the Prostate (M-TURP) Using Clavien-Dindo Complications Grading System. Ethiop. J. Health Sci. 2022, 32, 605–612. [Google Scholar] [PubMed]
- Qian, X.; Liu, H.; Xu, D.; Xu, L.; Huang, F.; He, W.; Qi, J.; Zhu, Y.; Xu, D. Functional outcomes and complications following B-TURP versus HoLEP for the treatment of benign prostatic hyperplasia: A review of the literature and Meta-analysis. Aging Male Off. J. Int. Soc. Study Aging Male 2017, 20, 184–191. [Google Scholar] [CrossRef] [PubMed]
- Feng, S.; Tian, Y.; Liu, W.; Li, Z.; Deng, T.; Li, H.; Wang, K. Prostatic Arterial Embolization Treating Moderate-to-Severe Lower Urinary Tract Symptoms Related to Benign Prostate Hyperplasia: A Meta-Analysis. Cardiovasc. Interv. Radiol. 2017, 40, 22–32. [Google Scholar] [CrossRef] [PubMed]
- Lebdai, S.; Chevrot, A.; Doizi, S.; Pradère, B.; Barry Delongchamps, N.; Baumert, H.; Benchikh, A.; Della Negra, E.; Fourmarier, M.; Gas, J.; et al. Traitement chirurgical et interventionnel de l’obstruction sous-vésicale liée à une hyperplasie bénigne de prostate: Revue systématique de la littérature et recommandations de bonne pratique clinique du Comité des Troubles Mictionnels de l’Homme. Prog. Urol. 2021, 31, 249–265. [Google Scholar] [CrossRef] [PubMed]
- Challacombe, B.; Sabharwal, T. Prostate artery embolisation for benign prostatic hyperplasia. BMJ 2018, 361, k2537. [Google Scholar] [CrossRef] [PubMed]
- Kuang, M.; Vu, A.; Athreya, S. A Systematic Review of Prostatic Artery Embolization in the Treatment of Symptomatic Benign Prostatic Hyperplasia. Cardiovasc. Interv. Radiol. 2017, 40, 655–663. [Google Scholar] [CrossRef] [PubMed]
- Bilhim, T.; Costa, N.V.; Torres, D.; Pinheiro, L.C.; Spaepen, E. Long-Term Outcome of Prostatic Artery Embolization for Patients with Benign Prostatic Hyperplasia: Single-Centre Retrospective Study in 1072 Patients Over a 10-Year Period. Cardiovasc. Interv. Radiol. 2022, 45, 1324–1336. [Google Scholar] [CrossRef]
- Frandon, J.; Belaouni, A.; Pellerin, O.; Thiounn, N.; Serrand, C.; Droupy, S.; Petitpierre, F.; Vernhet-Kovacsik, H.; Murez, T.; Vidal, V.; et al. Efficacy and safety of prostate artery embolization for patients with lower urinary tract symptoms and indwelling urinary catheter: A retrospective multicenter study. Diagn. Interv. Imaging 2022, 103, 601–606. [Google Scholar] [CrossRef] [PubMed]
- Baboudjian, M.; Alegorides, C.; Fourmarier, M.; Atamian, A.; Gondran-Tellier, B.; Andre, M.; Arroua, F.; Boissier, R.; Eghazarian, C.; Vidal, V.; et al. Comparison of water vapor thermal therapy and prostate artery embolization for fragile patients with indwelling urinary catheters: Preliminary results from a multi-institutional study. Progres Urol. J. Assoc. Fr. Urol. Soc. Fr. Urol. 2022, 32, 115–120. [Google Scholar] [CrossRef]
- Marchi, A.; Pellerin, O.; Querub, C.; Ahmar, M.A.; Gaeta, A.D.; Déan, C.; Meria, P.; Thiounn, N.; Sapoval, M.; Boeken, T. Long-term outcomes of prostate artery embolization for acute urinary retention: An analysis of 88 patients. Diagn. Interv. Imaging 2023, 104, 292–296. [Google Scholar] [CrossRef] [PubMed]
- Yu, S.C.H.; Cho, C.C.M.; Hung, E.H.Y.; Chiu, P.K.F.; Yee, C.H.; Ng, C.F. Prostate Artery Embolization for Complete Urinary Outflow Obstruction Due to Benign Prostatic Hypertrophy. Cardiovasc. Interv. Radiol. 2017, 40, 33–40. [Google Scholar] [CrossRef] [PubMed]
- Kenny, A.G.; Pellerin, O.; Amouyal, G.; Desgranchamps, F.; Méria, P.; De Gouvello, A.; Dariane, C.; Déan, C.; Pereira, H.; Thiounn, N.; et al. Prostate Artery Embolization in Patients With Acute Urinary Retention. Am. J. Med. 2019, 132, e786–e790. [Google Scholar] [CrossRef] [PubMed]
- Tapping, C.R.; Boardman, P. Prostatic artery embolization (PAE) in catheter-dependent patients with large prostatic (BPH) glands (>90 cc): Early intervention essential. Acta Radiol. 2019, 60, 1562–1565. [Google Scholar] [CrossRef] [PubMed]
- Rampoldi, A.; Barbosa, F.; Secco, S.; Migliorisi, C.; Galfano, A.; Prestini, G.; Harward, S.H.; Di Trapani, D.; Brambillasca, P.M.; Ruggero, V.; et al. Prostatic Artery Embolization as an Alternative to Indwelling Bladder Catheterization to Manage Benign Prostatic Hyperplasia in Poor Surgical Candidates. Cardiovasc. Interv. Radiol. 2017, 40, 530–536. [Google Scholar] [CrossRef]
- Leng, B.; Zhou, C.-G.; Liu, S.; Xu, Z.-W.; Tian, W.; Shi, H.-B. Prostatic Artery Embolization to Achieve Freedom from Catheterization in Patients with Acute Urinary Retention Caused by Benign Prostatic Hyperplasia. J. Vasc. Interv. Radiol. JVIR 2021, 32, 1062–1067. [Google Scholar] [CrossRef] [PubMed]
- Bhatia, S.; Sinha, V.K.; Kava, B.R.; Gomez, C.; Harward, S.; Punnen, S.; Kably, I.; Miller, J.; Parekh, D.J. Efficacy of Prostatic Artery Embolization for Catheter-Dependent Patients with Large Prostate Sizes and High Comorbidity Scores. J. Vasc. Interv. Radiol. JVIR 2018, 29, 78–84.e1. [Google Scholar] [CrossRef] [PubMed]
- Thulasidasan, N.; Kok, H.K.; Elhage, O.; Clovis, S.; Popert, R.; Sabharwal, T. Prostate artery embolisation: An all-comers, single-operator experience in 159 patients with lower urinary tract symptoms, urinary retention, or haematuria with medium-term follow-up. Clin. Radiol. 2019, 74, 569.e1–569.e8. [Google Scholar] [CrossRef] [PubMed]
- Salvador Hidalgo, D.; Bernardello Ureta, M.; Sbriglio, M.; García Gámez, A.; Sampere Moragas, J.; Areal Calama, J.; Ágreda Castañeda, F. Prostatic artery embolization treatment for patients with benign prostatic hyperplasia who are permanent urinary catheter users ineligible for de-obstructive surgery. Actas Urol. Esp. 2021, 45, 481–485. [Google Scholar] [CrossRef] [PubMed]
- Cornelis, F.H.; Bilhim, T.; Hacking, N.; Sapoval, M.; Tapping, C.R.; Carnevale, F.C. CIRSE Standards of Practice on Prostatic Artery Embolisation, Cardiovasc. Interv. Radiol. 2020, 43, 176–185. [Google Scholar]
- Lebdai, S.; Chevrot, A.; Doizi, S.; Pradère, B.; Barry Delongchamps, N.; Baumert, H.; Benchikh, A.; Della Negra, E.; Fourmarier, M.; Gas, J.; et al. Comité des troubles mictionnels de l’Homme de l’Association française d’urologie, [Surgical and interventional management of benign prostatic obstruction: Guidelines from the Committee for Male Voiding Disorders of the French Urology Association]. Progres Urol. J. Assoc. Fr. Urol. Soc. Fr. Urol. 2021, 31, 249–265. [Google Scholar]
- Moreira, A.M.; de Assis, A.M.; Carnevale, F.C.; Antunes, A.A.; Srougi, M.; Cerri, G.G. A Review of Adverse Events Related to Prostatic Artery Embolization for Treatment of Bladder Outlet Obstruction Due to BPH. Cardiovasc. Interv. Radiol. 2017, 40, 1490–1500. [Google Scholar] [CrossRef] [PubMed]
- Kisilevzky, N.; Faintuch, S. MRI assessment of prostatic ischaemia: Best predictor of clinical success after prostatic artery embolisation for benign prostatic hyperplasia. Clin. Radiol. 2016, 71, 876–882. [Google Scholar] [CrossRef] [PubMed]
- Bilhim, T.; Pisco, J.; Pereira, J.A.; Costa, N.V.; Fernandes, L.; Campos Pinheiro, L.; Duarte, M.; Oliveira, A.G. Predictors of Clinical Outcome after Prostate Artery Embolization with Spherical and Nonspherical Polyvinyl Alcohol Particles in Patients with Benign Prostatic Hyperplasia. Radiology 2016, 281, 289–300. [Google Scholar] [CrossRef] [PubMed]
- Pisco, J.; Bilhim, T.; Pinheiro, L.C.; Fernandes, L.; Pereira, J.; Costa, N.V.; Duarte, M.; Oliveira, A.G. Prostate Embolization as an Alternative to Open Surgery in Patients with Large Prostate and Moderate to Severe Lower Urinary Tract Symptoms. J. Vasc. Interv. Radiol. 2016, 27, 700–708. [Google Scholar] [CrossRef]
- Yuan, B.; Wang, Y.; Wang, M.; Zhang, J.; Yan, J.; Yuan, K.; Fu, J.; Wang, X. Prostate artery embolization for the treatment of urinary retention caused by large (>80 mL) benign prostatic hyperplasia: Results of 21 patients. J. Interv. Med. 2020, 3, 142–145. [Google Scholar] [CrossRef]
- Ray, A.F.; Powell, J.; Speakman, M.J.; Longford, N.T.; DasGupta, R.; Bryant, T.; Modi, S.; Dyer, J.; Harris, M.; Carolan-Rees, G.; et al. Efficacy and safety of prostate artery embolization for benign prostatic hyperplasia: An observational study and propensity-matched comparison with trans urethral resection of the prostate (the UK-ROPE study). BJU Int. 2018, 122, 270–282. [Google Scholar] [CrossRef] [PubMed]
- Lin, Y.T.; Pereira, H.; Pellerin, O.; Déan, C.; Thiounn, N.; Sapoval, M. Four year impact of voiding and storage symptoms in patients with benign prostatic hyperplasia treated with prostatic artery embolization. J. Vasc. Interv. Radiol. 2020, 31, 1460–1466. [Google Scholar] [CrossRef]
- Carnevale, F.C.; Moreira, A.M.; de Assis, A.M.; Antunes, A.A.; Cristina de Paula Rodrigues, V.; Srougi, M.; Cerri, G.G. Prostatic artery embolization for the treatment of lower urinary tract symptoms due to benign prostatic hyperplasia: 10 years’ experience. Radiology 2020, 296, 444–451. [Google Scholar] [CrossRef]
- Xu, Z.W.; Zhou, C.G.; Tian, W.; Shi, H.B.; Liu, S. Long-term efficacy and recurrence prediction of prostatic artery embolization for lower urinary tract symptoms secondary to benign prostatic hyperplasia. Cardiovasc. Interv. Radiol. 2022, 45, 1801–1809. [Google Scholar] [CrossRef] [PubMed]
- Malling, B.; Røder, M.A.; Brasso, K.; Forman, J.; Taudorf, M.; Lönn, L. Prostate artery embolisation for benign prostatic hyperplasia: A systematic review and meta-analysis. Eur. Radiol. 2019, 29, 287–298. [Google Scholar] [CrossRef] [PubMed]


| Characteristics | Patients | |
|---|---|---|
| Age (years) | 82.5 [73–88.2] (46–100) | |
| Prostate volume (cm3) | 90 [67.8–120] (28–350) | |
| Imaging modality to assess prostatic volume | ||
| Ultrasonography | 75 (53.6) | |
| MRI | 65 (46.4) | |
| Previous oral treatments for BPH | ||
| None | 25 (17.9) | |
| Monotherapy | 53 (37.9) | |
| Bi- or tritherapy | 62 (44.3) | |
| Previous surgical treatment for BPH | ||
| TURP | 4 (2.8) | |
| Open prostatectomy | 1 (0.6) | |
| HoLEP | 1 (0.6) | |
| Duration of IUC before PAE (months) | 4 [2–6] (1–36) | |
| No. of cardiovascular risk factors * | ||
| 0 | 17 (12.1) | |
| 1 | 26 (18.6) | |
| 2 | 50 (35.7) | |
| 3 | 33 (23.6) | |
| 4 | 14 (10) | |
| Anti-thrombotic treatments | ||
| None | 43 (30.7) | |
| Antiplatelet therapy | 38 (27.1) | |
| Anticoagulant therapy | 41 (29.3) | |
| Anticoagulation + Antiplatelet therapy | 18 (12.9) | |
| Contraindication for general anesthesia | 44 (31.4) | |
| Characteristics | Patients | |
|---|---|---|
| Number of procedures | ||
| 1 | 127 (90.7) | |
| ≥2 | 13 (9.3) | |
| Duration of the procedure § | ||
| <1 h | 31 (22.1) | |
| 1–2 h | 49 (35) | |
| >2 h | 53 (37.8) | |
| Irradiation dose § | 12,823 [7439–21,503] (1045–296,356) | |
| Embolization Agent | ||
| Microspheres | 100 (71.4) | |
| Glue | 29 (20.8) | |
| Microsphere + Glue | 9 (6.4) | |
| Other | 2 (1.4) | |
| Technical success (bilateral embolization) | ||
| No | 102 (72.9) | |
| Yes, after 1 procedure | 37 (26.4) | |
| Yes, after ≥2 procedures | 1 (0.7) | |
| Characteristics | TWOC Success | TWOC Failure | p-Value | |
|---|---|---|---|---|
| Center | 0.7513 | |||
| Bordeaux (Pellegrin) | 38/113 (33.6) | 9/27 (33.3) | ||
| Lyon (Edouard Herriot) | 15/113 (13.3) | 2/27 (7.4) | ||
| Nîmes | 31/113 (27.4) | 6/27 (22.2) | ||
| Créteil (Henri Mondor) | 12/113 (10.6) | 4/27 (14.8) | ||
| Paris (Tenon) | 16/113 (14.2) | 5/27 (18.5) | ||
| Nantes | 1/113 (0.9) | 1/27 (3.7) | ||
| No. of patients included in center | 1.000 | |||
| <20 included patients | 28/113 (24.8) | 7/27 (25.9) | ||
| ≥20 patients | 85/113 (75.2) | 20/27 (74.1) | ||
| Age (continuous, years) § | 82 [73–87] (46–100) | 85 [76.5–90] (63–95) | 0.1589 | |
| Age groups | 0.1935 | |||
| <75 years | 35/113 (31) | 7/27 (25.9) | ||
| 75–84 years | 40/113 (35.4) | 6/27 (22.2) | ||
| ≥85 years | 38/113 (33.6) | 14/27 (51.9) | ||
| No. of cardiovascular risk factors | 0.8537 | |||
| 0 | 15/113 (13.3) | 2/27 (7.4) | ||
| 1 | 20/113 (17.7) | 6/27 (22.2) | ||
| 2 | 39/113 (34.5) | 11/27 (40.7) | ||
| 3 | 27/113 (23.9) | 6/27 (22.2) | ||
| 4 | 12/113 (10.6) | 2/27 (7.4) | ||
| Antithrombotic treatment | 0.6590 | |||
| None | 32/113 (28.3) | 11/27 (40.7) | ||
| Antiplatelet | 32/113 (28.3) | 6/27 (22.2) | ||
| Anticoagulant + antiplatelet | 15/113 (13.3) | 3/27 (11.1) | ||
| Anticoagulant | 34/113 (30.1) | 7/27 (25.9) | ||
| Contraindication for general anesthesia (yes) | 34/111 (30.6) | 10/27 (37) | 0.6815 | |
| Prostate volume (continuous, cm3) § | 98 [72–120] (28–350) | 90 [60–125] (40–250) | 0.4905 | |
| Prostate volume (groups) | 0.3833 | |||
| <50 cm3 | 9/113 (8) | 1/27 (3.7) | ||
| 100–150 cm3 | 40/113 (35.4) | 6/27 (22.2) | ||
| 50–100 cm3 | 48/113 (42.5) | 16/27 (59.3) | ||
| >150 cm3 | 16/113 (14.2) | 4/27 (14.8) | ||
| Embolization agent | 0.6349 | |||
| Microparticles | 80/113 (70.8) | 20/27 (74.1) | ||
| Glue | 24/113 (21.2) | 5/27 (18.5) | ||
| Microparticles + Glue | 8/113 (7.1) | 1/27 (3.7) | ||
| Other | 1/113 (0.9) | 1/27 (3.7) | ||
| No. of PAE procedures | 0.4573 | |||
| 1 | 101/113 (89.4) | 26/27 (96.3) | ||
| ≥2 | 12/113 (10.6) | 1/27 (3.7) | ||
| Time from PAE to TWOC (continuous, days) § | 4 [2–6] (1–36) | 5 [2–7] (1–36) | 0.1685 | |
| Time from PAE to TWOC (groups) | 0.0952 | |||
| < 3 months | 34/113 (30.1) | 7/27 (25.9) | ||
| 3–6 months | 50/113 (44.2) | 7/27 (25.9) | ||
| 6–12 months | 25/113 (22.1) | 10/27 (37) | ||
| >12 months | 4/113 (3.5) | 3/27 (11.1) | ||
| Technical success | 83/113 (73.5) | 19/27 (70.4) | 0.9342 | |
| Characteristics | No. at Risk | No. of Events | PCFS Probability at 6 Months | PCFS Probability at 2 Years | Log Rank p-Value | HR (95%CI) | Cox p-Value | |
|---|---|---|---|---|---|---|---|---|
| Center | ||||||||
| Bordeaux (Pellegrin) | 37 | 10 | 80.13 (67.98–94.46) | 71.23 (57.64–88.03) | 0.6514 | reference | reference | |
| Lyon (Edouard Herriot) | 14 | 3 | 100 (100–100) | 85.71 (69.21–100) | 0.64 (0.17–2.32) | 0.4925 | ||
| Nîmes | 30 | 4 | 96.67 (90.45–100) | 89.23 (78.41–100) | 0.42 (0.13–1.34) | 0.1439 | ||
| Créteil (Henri Mondor) | 11 | 2 | 80.81 (60.04–100) | 80.81 (60.04–100) | 0.75 (0.16–3.4) | 0.7041 | ||
| Paris (Tenon) | 16 | 4 | 78.57 (59.77–100) | 69.84 (48.82–99.91) | 1.19 (0.37–3.81) | 0.7751 | ||
| Nantes | 1 | 0 | 100 (100–100) | 100 (100–100) | 0 (0–Inf) | 0.998 | ||
| No. of patients included in center | ||||||||
| <20 included patients | 26 | 5 | 92.15 (82.27–100) | 83.56 (70.01–99.73) | 0.7061 | reference | reference | |
| ≥20 patients | 83 | 18 | 85.99 (78.63–94.03) | 77.55 (68.66–87.6) | 1.21 (0.45–3.27) | 0.7039 | ||
| Age (continuous, years) § | - | - | - | - | - | 1.01 (0.96–1.05) | 0.7973 | |
| Age groups | ||||||||
| <75 years | 34 | 6 | 90.91 (81.61–100) | 81.48 (69.12–96.05) | 0.6593 | reference | reference | |
| 75–84 years | 37 | 7 | 84.9 (73.53–98.03) | 84.9 (73.53–98.03) | 1.24 (0.42–3.69) | 0.7002 | ||
| ≥85 years | 38 | 10 | 86.6 (76.32–98.26) | 71.52 (57.88–88.37) | 1.58 (0.57–4.35) | 0.3779 | ||
| No. of cardiovascular risk factors | ||||||||
| 0 | 12 | 1 | 100 (100–100) | 91.67 (77.29–100) | 0.4797 | reference | reference | |
| 1 | 20 | 4 | 90 (77.77–100) | 84.71 (70.17–100) | 2.65 (0.3–23.75) | 0.383 | ||
| 2 | 39 | 10 | 83.46 (72.19–96.48) | 74.16 (60.87–90.34) | 3.94 (0.5–30.78) | 0.1913 | ||
| 3 | 27 | 7 | 84.44 (71.52–99.7) | 71.95 (56.26–92.02) | 4.1 (0.5–33.38) | 0.187 | ||
| 4 | 11 | 1 | 90 (73.2–100) | 90 (73.2–100) | 1.29 (0.08–20.7) | 0.8572 | ||
| Antithrombotic treatment | ||||||||
| None | 30 | 5 | 96.55 (90.13–100) | 85.54 (73.37–99.73) | 0.2413 | reference | reference | |
| Antiplatelet | 32 | 5 | 86.54 (75.09–99.73) | 82.78 (70.08–97.77) | 1.05 (0.3–3.62) | 0.9419 | ||
| Anticoagulant + antiplatelet | 14 | 2 | 91.67 (77.29–100) | 83.33 (64.7–100) | 1.04 (0.2–5.37) | 0.9615 | ||
| Anticoagulant | 33 | 11 | 78.2 (65.14–93.88) | 67.91 (53.25–86.61) | 2.37 (0.82–6.82) | 0.1102 | ||
| Contraindication for general anesthesia | ||||||||
| No | 74 | 15 | 87.22 (79.75–95.39) | 79.68 (70.69–89.81) | 0.5789 | reference | reference | |
| Yes | 33 | 8 | 87.27 (76.35–99.75) | 74.93 (60.2–93.26) | 1.27 (0.54–3.01) | 0.5827 | ||
| Prostate volume (continuous, cm3) § | - | - | - | - | - | 0.99 (0.99–1) | 0.2703 | |
| Prostate volume (groups) | ||||||||
| <50 cm3 | 9 | 2 | 88.89 (70.56–100) | 76.19 (52.08–100) | 0.4696 | reference | reference | |
| 100–150 cm3 | 38 | 9 | 88.72 (78.89–99.77) | 76.8 (63.86–92.35) | 1.11 (0.24–5.12) | 0.8968 | ||
| 50–100 cm3 | 47 | 11 | 81.98 (71.4–94.12) | 74.36 (62.31–88.75) | 1.16 (0.26–5.26) | 0.8435 | ||
| >150 cm3 | 15 | 1 | 100 (100–100) | 100 (100–100) | 0.26 (0.02–2.84) | 0.268 | ||
| Embolization agent | ||||||||
| Microparticles | 77 | 15 | 90.55 (84.13–97.47) | 81.6 (73.01–91.2) | 0.4477 | reference | reference | |
| Glue | 24 | 5 | 78.26 (63.1–97.07) | 78.26 (63.1–97.07) | 1.16 (0.42–3.19) | 0.7762 | ||
| Microparticles + Glue | 7 | 3 | 83.33 (58.27–100) | 50 (22.46–100) | 2.61 (0.75–9.07) | 0.1298 | ||
| Other | 1 | 0 | 100 (100–100) | 100 (100–100) | 0 (0–Inf) | 0.9976 | ||
| No. of PAE procedures | ||||||||
| 1 | 97 | 21 | 87.24 (80.75–94.26) | 78.97 (70.96–87.9) | 0.9294 | reference | reference | |
| ≥2 | 12 | 2 | 90 (73.2–100) | 78.75 (56.41–100) | 0.94 (0.22–4.01) | 0.9322 | ||
| Time from PAE to TWOC (continuous, days) § | - | - | - | - | - | 0.98 (0.87–1.1) | 0.6922 | |
| Time from PAE to TWOC (groups) | ||||||||
| < 3 months | 33 | 6 | 89.6 (79.1–100) | 77.54 (63.11–95.27) | 0.7558 | reference | reference | |
| 3–6 months | 47 | 11 | 87.09 (77.95–97.29) | 80.38 (69.65–92.76) | 1.09 (0.4–2.96) | 0.8595 | ||
| 6–12 months | 25 | 6 | 83.33 (69.68–99.66) | 73.46 (57.17–94.39) | 1.29 (0.42–4.02) | 0.6547 | ||
| >12 months | 4 | 0 | 100 (100–100) | 100 (100–100) | 0 (0–Inf) | 0.9974 | ||
| Technical success | ||||||||
| Yes | 80 | 17 | 84.61 (76.97–93.01) | 79.1 (70.47–88.79) | 0.9931 | reference | reference | |
| No | 29 | 6 | 95.83 (88.16–100) | 77.31 (61.61–97.02) | 0.99 (0.39–2.52) | 0.9842 | ||
Disclaimer/Publisher’s Note: The statements, opinions and data contained in all publications are solely those of the individual author(s) and contributor(s) and not of MDPI and/or the editor(s). MDPI and/or the editor(s) disclaim responsibility for any injury to people or property resulting from any ideas, methods, instructions or products referred to in the content. |
© 2024 by the authors. Licensee MDPI, Basel, Switzerland. This article is an open access article distributed under the terms and conditions of the Creative Commons Attribution (CC BY) license (https://creativecommons.org/licenses/by/4.0/).
Share and Cite
Pouchot, J.; Crombé, A.; Burlet, L.; Farah, F.; Baseilhac, P.; David, A.; Petitpierre, F.; Maaloum, R.; Le Bras, Y.; Pagnoux, G.; et al. Safety and Clinical Efficacy of Prostatic Artery Embolization in Patients with Indwelling Urinary Catheter for Benign Hyperplasia—A Multicenter Study. Diagnostics 2024, 14, 2864. https://doi.org/10.3390/diagnostics14242864
Pouchot J, Crombé A, Burlet L, Farah F, Baseilhac P, David A, Petitpierre F, Maaloum R, Le Bras Y, Pagnoux G, et al. Safety and Clinical Efficacy of Prostatic Artery Embolization in Patients with Indwelling Urinary Catheter for Benign Hyperplasia—A Multicenter Study. Diagnostics. 2024; 14(24):2864. https://doi.org/10.3390/diagnostics14242864
Chicago/Turabian StylePouchot, Jules, Amandine Crombé, Luc Burlet, Fadi Farah, Pierre Baseilhac, Arthur David, François Petitpierre, Rim Maaloum, Yann Le Bras, Gaele Pagnoux, and et al. 2024. "Safety and Clinical Efficacy of Prostatic Artery Embolization in Patients with Indwelling Urinary Catheter for Benign Hyperplasia—A Multicenter Study" Diagnostics 14, no. 24: 2864. https://doi.org/10.3390/diagnostics14242864
APA StylePouchot, J., Crombé, A., Burlet, L., Farah, F., Baseilhac, P., David, A., Petitpierre, F., Maaloum, R., Le Bras, Y., Pagnoux, G., Derbel, H., Kobeiter, H., Barral, M., Frandon, J., Marcelin, C., Klein, C., & Jambon, E. (2024). Safety and Clinical Efficacy of Prostatic Artery Embolization in Patients with Indwelling Urinary Catheter for Benign Hyperplasia—A Multicenter Study. Diagnostics, 14(24), 2864. https://doi.org/10.3390/diagnostics14242864

