Does the LDH/Albumin Ratio Bring Novelty? A Comparative Analysis with Inflammatory Indices and Combined Models in Adult-Onset Still’s Disease
Abstract
1. Introduction
2. Materials and Methods
2.1. Study Groups and Patients
2.2. Variables and Procedures
2.3. Statistical Analysises
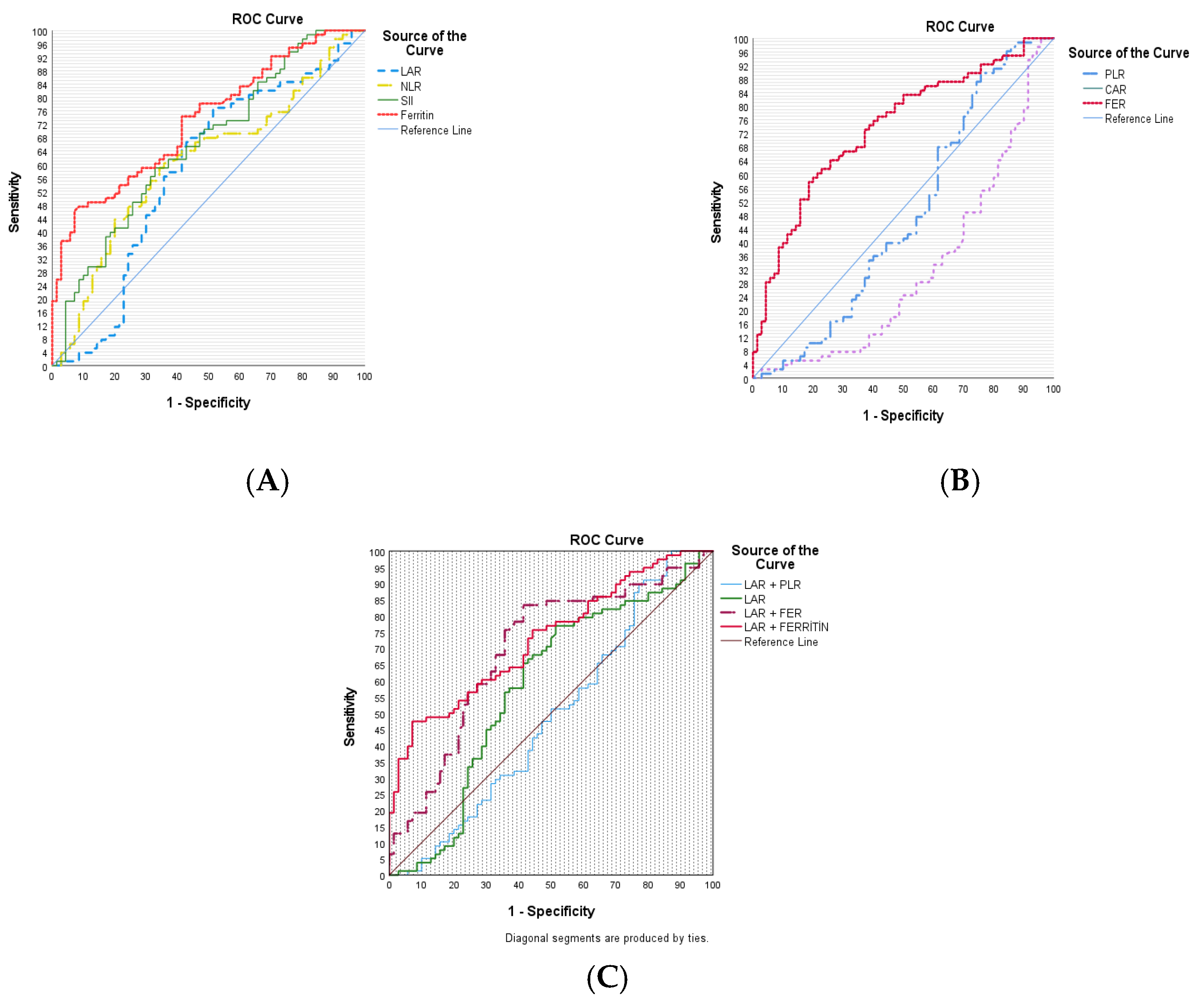
3. Results
3.1. Clinical and Laboratory Features, Treatment, and Follow-Up of AOSD Patients
3.2. Relationship Between Inflammatory Indices and the Diagnosis of AOSD
3.3. Examining the Relationship Between Inflammatory Indices and Some Factors That May Serve as Indicators of Disease Activity in the AOSD Group
4. Discussion
Limitations
5. Conclusions
Author Contributions
Funding
Institutional Review Board Statement
Informed Consent Statement
Data Availability Statement
Conflicts of Interest
References
- Gerfaud-Valentin, M.; Maucort-Boulch, D.; Hot, A.; Iwaz, J.; Ninet, J.; Durieu, I.; Broussolle, C.; Sève, P. Adult-onset still disease: Manifestations, treatment, outcome, and prognostic factors in 57 patients. Medicine 2014, 93, 91–99. [Google Scholar] [CrossRef] [PubMed] [PubMed Central]
- Tomaras, S.; Goetzke, C.C.; Kallinich, T.; Feist, E. Adult-Onset Still’s Disease: Clinical Aspects and Therapeutic Approach. J. Clin. Med. 2021, 10, 733. [Google Scholar] [CrossRef] [PubMed] [PubMed Central]
- Efthimiou, P.; Kontzias, A.; Hur, P.; Rodha, K.; Ramakrishna, G.S.; Nakasato, P. Adult-onset Still’s disease in focus: Clinical manifestations, diagnosis, treatment, and unmet needs in the era of targeted therapies. Semin. Arthritis Rheum. 2021, 51, 858–874. [Google Scholar] [CrossRef] [PubMed]
- Giacomelli, R.; Ruscitti, P.; Shoenfeld, Y. A comprehensive review on adult onset Still’s disease. J. Autoimmun. 2018, 93, 24–36. [Google Scholar] [CrossRef] [PubMed]
- Kádár, J.; Petrovicz, E. Adult-onset Still’s disease. Best Pract. Res. Clin. Rheumatol. 2004, 18, 663–676. [Google Scholar] [CrossRef] [PubMed]
- Magadur-Joly, G.; Billaud, E.; Barrier, J.H.; Pennec, Y.L.; Masson, C.; Renou, P.; Prost, A. Epidemiology of adult Still’s disease: Estimate of the incidence by a retrospective study in west France. Ann. Rheum. Dis. 1995, 54, 587–590. [Google Scholar] [CrossRef] [PubMed] [PubMed Central]
- Efthimiou, P.; Kadavath, S.; Mehta, B. Life-threatening complications of adult-onset Still’s disease. Clin. Rheumatol. 2014, 33, 305–314. [Google Scholar] [CrossRef] [PubMed] [PubMed Central]
- Yang, Z.; Zhang, Z.; Lin, F.; Ren, Y.; Liu, D.; Zhong, R.; Liang, Y. Comparisons of neutrophil-, monocyte-, eosinophil-, and basophil- lymphocyte ratios among various systemic autoimmune rheumatic diseases. APMIS 2017, 125, 863–871. [Google Scholar] [CrossRef] [PubMed]
- Kim, J.W.; Jung, J.Y.; Suh, C.H.; Kim, H.A. Systemic immune-inflammation index combined with ferritin can serve as a reliable assessment score for adult-onset Still’s disease. Clin. Rheumatol. 2021, 40, 661–668. [Google Scholar] [CrossRef] [PubMed]
- Komac, A.; Gokcen, N.; Yazici, A.; Cefle, A. The role of lactate dehydrogenase-to-albumin ratio in clinical evaluation of adult-onset Still’s disease. Int. J. Clin. Pract. 2021, 75, e14615. [Google Scholar] [CrossRef] [PubMed]
- Newsome, P.N.; Cramb, R.; Davison, S.M.; Dillon, J.F.; Foulerton, M.; Godfrey, E.M.; Hall, R.; Harrower, U.; Hudson, M.; Langford, A.; et al. Guidelines on the management of abnormal liver blood tests. Gut 2018, 67, 6–19. [Google Scholar] [CrossRef] [PubMed] [PubMed Central]
- Pamukcu, M.; Duran, T.I. Could C-Reactive Protein/Albumin Ratio be an Indicator of Activation in Axial Spondyloarthritis? J. Coll. Physicians Surg. Pak. 2021, 31, 537–541. [Google Scholar] [CrossRef] [PubMed]
- Feng, J.F.; Wang, L.; Yang, X.; Jiang, Y.H. Prognostic value of lactate dehydrogenase to albumin ratio (LAR) in patients with resectable esophageal squamous cell carcinoma. Cancer Manag. Res. 2019, 11, 7243–7251. [Google Scholar] [CrossRef] [PubMed] [PubMed Central]
- Aday, U.; Böyük, A.; Akkoç, H. The prognostic significance of serum lactate dehydrogenase-to-albumin ratio in colorectal cancer. Ann. Surg. Treat. Res. 2020, 99, 161–170. [Google Scholar] [CrossRef] [PubMed] [PubMed Central]
- He, J.; Tong, L.; Wu, P.; Wu, Y.; Shi, W.; Chen, L. Prognostic Significance of Preoperative Lactate Dehydrogenase to Albumin Ratio in Breast Cancer: A Retrospective Study. Int. J. Gen. Med. 2023, 16, 507–514. [Google Scholar] [CrossRef] [PubMed] [PubMed Central]
- Lee, B.K.; Ryu, S.; Oh, S.K.; Ahn, H.J.; Jeon, S.Y.; Jeong, W.J.; Cho, Y.C.; Park, J.S.; You, Y.H.; Kang, C.S. Lactate dehydrogenase to albumin ratio as a prognostic factor in lower respiratory tract infection patients. Am. J. Emerg. Med. 2022, 52, 54–58. [Google Scholar] [CrossRef] [PubMed]
- Sipahioglu, H.; Onuk, S. Lactate dehydrogenase/albumin ratio as a prognostic factor in severe acute respiratory distress syndrome cases associated with COVID-19. Medicine 2022, 101, e30759. [Google Scholar] [CrossRef] [PubMed] [PubMed Central]
- Xu, M.; Wu, Z.; Wu, B.; Hu, Y.; Duan, Q.; Wang, H.; He, J. Lactate dehydrogenase-to albumin ratio (LAR) is associated with early-onset cognitive impairment after acute ischemic stroke. J. Clin. Neurosci. 2022, 106, 61–65. [Google Scholar] [CrossRef] [PubMed]
- Unger, M.; Karanikas, G.; Kerschbaumer, A.; Winkler, S.; Aletaha, D. Fever of unknown origin (FUO) revised. Wien. Klin. Wochenschr. 2016, 128, 796–801. [Google Scholar] [CrossRef] [PubMed] [PubMed Central]
- Rau, M.; Schiller, M.; Krienke, S.; Heyder, P.; Lorenz, H.; Blank, N. Clinical manifestations but not cytokine profiles differentiate adult-onset Still’s disease and sepsis. J. Rheumatol. 2010, 37, 2369–2376. [Google Scholar] [CrossRef] [PubMed]
- Liu, X.; Li, J.; Sun, L.; Wang, T.; Liang, W. The association between neutrophil-to-lymphocyte ratio and disease activity in rheumatoid arthritis. Inflammopharmacology 2023, 31, 2237–2244. [Google Scholar] [CrossRef] [PubMed]
- Gasparyan, A.Y.; Ayvazyan, L.; Mukanova, U.; Yessirkepov, M.; Kitas, G.D. The Platelet-to-Lymphocyte Ratio as an Inflammatory Marker in Rheumatic Diseases. Ann. Lab. Med. 2019, 39, 345–357. [Google Scholar] [CrossRef] [PubMed] [PubMed Central]
- Eloseily, E.M.A.; Minoia, F.; Crayne, C.B.; Beukelman, T.; Ravelli, A.; Cron, R.Q. Ferritin to Erythrocyte Sedimentation Rate Ratio: Simple Measure to Identify Macrophage Activation Syndrome in Systemic Juvenile Idiopathic Arthritis. ACR Open Rheumatol. 2019, 1, 345–349. [Google Scholar] [CrossRef] [PubMed] [PubMed Central]
- Mitrovic, S.; Feist, E.; Fautrel, B. Adult-Onset Still’s Disease. In Rare Diseases of the Immune System; Springer Nature: Berlin/Heidelberg, Germany, 2020; pp. 93–132. [Google Scholar]
- Priori, R.; Colafrancesco, S.; Alessandri, C.; Minniti, A.; Perricone, C.; Iaiani, G.; Palazzo, D.; Valesini, G. Interleukin 18: A biomarker for differential diagnosis between adult-onset Still’s disease and sepsis. J. Rheumatol. 2014, 41, 1118–1123. [Google Scholar] [CrossRef] [PubMed]
- Kim, H.A.; An, J.M.; Nam, J.Y.; Jeon, J.Y.; Suh, C.H. Serum S100A8/A9, but not follistatin-like protein 1 and interleukin 18, may be a useful biomarker of disease activity in adult-onset Still’s disease. J. Rheumatol. 2012, 39, 1399–1406. [Google Scholar] [CrossRef] [PubMed]
- Yang, W.M.; Zhang, W.H.; Ying, H.Q.; Xu, Y.M.; Zhang, J.; Min, Q.H.; Huang, B.; Lin, J.; Chen, J.J.; Wang, X.Z. Two new inflammatory markers associated with disease activity score-28 in patients with rheumatoid arthritis: Albumin to fibrinogen ratio and C-reactive protein to albumin ratio. Int. Immunopharmacol. 2018, 62, 293–298. [Google Scholar] [CrossRef] [PubMed]
- Ahn, S.S.; Jung, S.M.; Song, J.J.; Park, Y.B.; Lee, S.W. Prognostic nutritional index is correlated with disease activity in patients with systemic lupus erythematosus. Lupus 2018, 27, 1697–1705. [Google Scholar] [CrossRef] [PubMed]
- Yoshikawa, T.; Furukawa, T.; Tamura, M.; Hashimoto, T.; Morimoto, M.; Azuma, N.; Kitano, M.; Matsui, K. THU0106 Systemic Immune-Inflammation Index in Rheumatoid Arthritis Patients: Relation to Disease Activity. Ann. Rheum. Dis. 2019, 78, 325. [Google Scholar] [CrossRef]
- Jin, Z.; Cai, G.; Zhang, P.; Li, X.; Yao, S.; Zhuang, L.; Ren, M.; Wang, Q.; Yu, X. The value of the neutrophil-to-lymphocyte ratio and platelet-to-lymphocyte ratio as complementary diagnostic tools in the diagnosis of rheumatoid arthritis: A multicenter retrospective study. J. Clin. Lab. Anal. 2021, 35, e23569. [Google Scholar] [CrossRef] [PubMed] [PubMed Central]


| AOSD Patients (n = 78) | FUO Patients (n = 70) | p Value * | |
|---|---|---|---|
| Age (years), mean ± S.D. (min., max., median) | 48.82 ± 15.41 (19.0, 82.0, 45.0) | 63.39 ± 15.35 (20, 89, 67) | <0.001 † |
| Gender, female/male (%) | 53 /25 (67.90 /32.10) | 27 /43 (38.60 /61.40) | <0.001 ‡ |
| Comorbidity, n (%) | 22 (28.20) | 53 (75.70) | <0.001 ‡ |
| DM, n (%) | 4 (5.10) | 18 (25.70) | <0.001 ‡ |
| HT, n (%) | 12 (15.40) | 30 (42.90) | <0.001 ‡ |
| CKD, n (%) | 2 (2.60) | 6 (8.60) | 0.107 ‡ |
| CAD, n (%) | 4 (5.10) | 8 (11.40) | 0.161 ‡ |
| HF, n (%) | 2 (2.60) | 4 (5.70) | 0.332 ‡ |
| HL, n (%) | 2 (2.60) | 4 (5.70) | 0.332 ‡ |
| Asthma, n (%) | 3 (3.80) | 2 (2.90) | 0.740 ‡ |
| MAS, n (%) | 10 (12.80) | 5 (7.10) | 0.253 ‡ |
| Diagnosis of malignancy, n (%) | 3 (3.85) | 37 (52.86) | - |
| Hematologic malignancy, n (%) | 3 (3.85) | 20 (28.57) | - |
| Lymphoma, n (%) | 0 | 16 (22.86) | - |
| Hodgkin lymphoma, n (%) | 0 | 4 (5.71) | - |
| Non-Hodgkin lymphoma, n (%) | 0 | 12 (17.14) | - |
| Other hematological malignancy, n (%) | 3 (3.85) | 4 (5.71) | - |
| Solid malignancy, n(%) | 0 | 17 (24.29) | - |
| Clinical findings | |||
| Fever, n (%) | 70 (89.70) | 70 (100.0) | 0.006 ‡ |
| Arthralgia, n (%) | 71 (91.0) | 17 (24.30) | <0.001 ‡ |
| Atrhritis, n (%) | 61 (78.20) | 7 (10.0) | <0.001 ‡ |
| Monoarthritis, n (%) | 10 (12.80) | 4 (5.70) | |
| Oligoarthritis, n (%) | 28 (35.90) | 0 | <0.001 ‡ |
| Polyarthritis, n (%) | 23 (29.50) | 3 (4.30) | |
| Myalgia, n (%) | 27 (34.62) | 35 (50.0) | |
| Typical nonpruritic salmon-pink skin rash, n (%) | 58 (74.40) | 3 (4.30) | 0.058 ‡ |
| Sore throat, n (%) | 36 (46.16) | 3 (4.30) | <0.001 ‡ |
| Pleuritis, n (%) | 4 (5.10) | 12 (17.10) | <0.001 ‡ |
| Pericarditis, n (%) | 2 (2.60) | 8 (11.40) | 0.019 ‡ |
| LAP, n (%) | 17 (21.80) | 37 (52.90) | 0.032 ‡ |
| HM, n (%) | 12 (15.40) | 23 (32.90) | <0.001 ‡ |
| SM, n (%) | 13 (16.70) | 19 (27.10) | 0.013 ‡ |
| Laboratory findings | |||
| ANA negativity, n (%) | 62 (79.50) | 26 /39 (66.67) | - |
| RF negativity, n (%) | 73 (93.60) | 25 /29 (86.20) | - |
| Anti-CCP negativity, n (%) | 77 (98.70) | 22 /24 (91.67) | - |
| AST (U/L), median (P25, P75) | 22.0 (16.0, 44.50) | 29.50 (18.0, 58.25) | 0.165 † |
| ALT (U/L), median (P25, P75) | 22.0 (16, 59.75) | 25.0 (14.0, 44.0) | 0.956 † |
| GGT (U/L), median (P25, P75) | 67.0 (34.0, 102.25) | 54.0 (31.0, 144.0) | 0.660 † |
| ALP (U/L), median (P25, P75) | 89.0 (66.75, 125.25) | 19.50 (80.50, 261.0) | 0.003 † |
| LDH (U/L), median (P25, P75) | 363.50 (277.0, 483.75) | 229.50 (166.50, 394.0) | <0.001 † |
| Albumin (g/dL), mean ± S.D. (min., max., median) | 3.76 ±0.66 (2.10, 5.20, 3.85) | 3.92 ± 5.58 (2.50, 3.50, 3.0) | <0.001 § |
| WBC (10*9/L), median (P25, P75) | 12.39 (8.62, 19.82) | 7.56 (5.32, 11.30) | <0.001 † |
| Neutrophil (10*9/L), median (P25, P75) | 9.19 (5.80, 16.03) | 5.14 (3.36, 7.81) | <0.001 † |
| Neutrophil ratio (> 80%), n (%) | 38 (48.70) | 12 (17.10) | <0.001 ‡ |
| Lymphocyte (10*9/L), median (P25, P75) | 1.73 (1.18, 2.41) | 1.27 (0.80, 1.89) | 0.002 † |
| Hemoglobin (g/dL), median (P25, P75) | 12.15 (10.60, 13.90) | 9.35 (8.50, 10.79) | <0.001 † |
| Platelet (10*9/L), median (P25, P75) | 293.50 (238.17, 363.25) | 246.50 (127.06, 337.78) | 0.006 † |
| CRP (mg/L), median (P25, P75) | 10.30 (4.24, 28.25) | 43.50 (9.43, 120.25) | <0.001 † |
| ESR (mm/h), median (P25, P75) | 54.50 (34.25, 85.25) | 50.50 (28.75, 77.25) | 0.461 § |
| ferritin (µg/L), median (P25, P75) | 2302.0 (625.25, 11281.25) | 580.50 (230.50, 1652.25) | <0.001 † |
| Pouchet score, median (P25, P75) | 5 (4, 6) | - | - |
| Inflammation indices | |||
| LAR, median (P25, P75) | 101.09 (72.58, 142.53) | 75.95 (54.50, 131.95) | 0.090 † |
| SII [(P × N)/L)], median (P25, P75) | 1614.32 (656.22, 3283.61) | 955.25 (473.28 (1923.38) | <0.001 † |
| CAR, median (P25, P75) | 3.32 (1.19, 8.50) | 9.55 (3.25, 44.63) | <0.001 † |
| NLR, median (P25, P75) | 5.98 (2.52, 11.24) | 3.80 (2.35, 6.55) | 0.022 † |
| PLR, median (P25, P75) | 165.58 (122.36, 252.74) | 193.95 (101.15, 319.35) | 0.634 † |
| FER, median (P25, P75) | 64.28 (15.98, 203.14) | 12.73 (5.45, 29.10) | <0.001 † |
| LAR + PLR ( P25, P75) | 276.23 (205.92, 385.70) | 283.85 (202.40, 413.80) | 0.806 † |
| LAR + FER (P25, P75) | 192.55 (110.15, 323.46) | 85.65 (64.01, 164.54) | <0.001 † |
| LAR + ferritin (P25, P75) | 2420.0 (733.63, 11423.99) | 652.40 (308.53, 1718.15) | <0.001 † |
| Variables | Data |
|---|---|
| Disease duration (months), median (P25, P75) | 132.0 (58.0, 160.0) |
| Duration from symptom onset to diagnosis (months), median (P25, P75) | 0 (0, 1) |
| Disease patterns | |
| Monocyclic systemic/self-limited, n (%) | 37 (47.40) |
| Polycyclic systemic/intermittent, n (%) | 27 (37.60) |
| Chronic articular, n (%) | 14 (17.90) |
| Treatment | |
| NSAID, n (%) | 44 (56.40) |
| GC | |
| Oral GC, n (%) | 44 (56.40) |
| Pulse GC, n (%) | 34 (43.60) |
| cDMARDs | |
| HCQ, n(%) | 48 (61.50) |
| Sulfasalazin, n (%) | 3 (3.80) |
| Methotrexate, n (%) | 66 (84.60) |
| Leflunomide, n (%) | 16 (20.50) |
| IL-1 inhibitors | |
| Anakinra, n (%) | 14 (17.90) |
| Canakinumab, n (%) | 5 (6.40) |
| TNFα inhibitors | |
| Adalimumab, n(%) | 3 (3.80) |
| Certolizumab pegol, n (%) | 4 (5.10) |
| Etanercept | 5 (6.40) |
| Tocilizumab, n (%) | 14 (17.90) |
| Tofacitinib, n (%) | 4 (5.10) |
| Baricitinib, n (%) | 1 (1.30) |
| Variables | AUC | 95% CI | p Value * | Cutoff | Sensitivity (%) | Specificity (%) | +LR | −LR |
|---|---|---|---|---|---|---|---|---|
| LAR | 0.581 | 0.485–0.676 | 0.090 | 70.98 | 76.90 | 48.60 | 1.50 | 0.48 |
| NLR | 0.609 | 0.517–0.701 | 0.022 | 5.30 | 59.0 | 65.70 | 1.72 | 0.62 |
| SII | 0.657 | 0.569–0.744 | 0.045 | 1356.34 | 59.0 | 67.10 | 1.79 | 0.61 |
| CAR | 0.317 | 0.230–0.404 | 0.000 | 0.23 | 100.0 | 4.3 | 1.04 | 0 |
| FER | 0.737 | 0.657–0.817 | 0.000 | 39.38 | 57.70 | 81.40 | 3.11 | 0.52 |
| PLR | 0.477 | 0.381–0.574 | 0.634 | 103.89 | 87.20 | 25.70 | 1.17 | 0.50 |
| LAR + PLR | 0.488 | 0.393–0.584 | 0.806 | 154.93 | 98.70 | 14.30 | 1.15 | 0.08 |
| LAR + FER | 0.696 | 0.609–0.783 | 0.044 | 95.49 | 83.0 | 58.60 | 1.41 | 0.20 |
| ferritin | 0.732 | 0.653–0.811 | 0.000 | 3978.0 | 46.20 | 92.90 | 6.46 | 0.58 |
| LAR + ferritin | 0.729 | 0.649–0.808 | 0.000 | 3974.75 | 47.40 | 92.90 | 6.64 | 0.57 |
| Variables | AOSD Group (n = 78) | FUO Group (n = 70) (n, %) | p-Value * |
|---|---|---|---|
| LAR (>70.98) | 60 (76.92) | 36 (51.43) | 0.001 † |
| SII (>1356.34) | 46 (58.97) | 23 (32.86) | 0.001 † |
| NLR (>5.30) | 46 (58.97) | 24 (34.29) | 0.003 † |
| CAR (>0.23) | 78 (100.0) | 68 (97.14) | 0.133 † |
| FER (>39.38) | 44 (56.41) | 14 (20.0) | <0.001 † |
| PLR (>103.89) | 68 (87.18) | 52 (74.29) | 0.046 † |
| LAR + PLR (>154.93) | 77 (98.72) | 63 (90.0) | 0.019 † |
| LAR + FER (>95.49) | 65 (83.33) | 29 (41.43) | <0.001 † |
| LAR + ferritin (>3974.75) | 37 (47.44) | 5 (7.14) | <0.001 † |
| Correlation Coefficient, r (p Value *) | ||||||
|---|---|---|---|---|---|---|
| Disease Activity Indicators | LAR | FER | CAR | SII | NLR | PLR |
| Modified Pouchet score, median (P25, P75) | 0.220 (0.053) | 0.396 (<0.001) | 0.306 (0.006) | 0.361 (0.001) | 0.388 (<0.001) | 0.288 (0.011) |
| ferritin (µg/L), median (P25, P75) | 0.461 (<0.001) | 0.890 (<0.001) | 0.120 (0.146) | 0.207 (0.011) | 0.289 (<0.001) | −0.009 (0.917) |
| AST (U/L), median (P25, P75) | 0.367 (<0.001) | 0.291 (<0.001) | 0.206 (0.012) | 0.073 (0.378) | 0.244 (0.003) | 0.091 (0.273) |
| ALT (U/L), median (P25, P75) | 0.205 (0.012) | 0.222 (0.007) | 0.064 (0.436) | 0.074 (0.373) | 0.175 (0.033) | 0.003 (0.968) |
| Hemoglobin (g/dL), median (P25, P75) | −0.069 (0.405) | 0.141 (0.087) | −0.226 (0.006) | −0.052 (0.537) | −0.029 (0.729) | −0.237 (0.004) |
| Platelet (10*9/L), median (P25, P75) | −0.124 (0.133) | −0.145 (0.078) | −0.075 (0.365) | 0.567 (0.001) | 0.160 (0.052) | 0.421 (<0.001) |
| WBC (10*9/L), median (P25, P75) | 0.181 (0.027) | 0.266 (0.001) | 0.068 (0.412) | 0.702 (<0.001) | 0.588 (<0.001) | 0.084 (0.313) |
| Neutrophil (10*9/L), median (P25, P75) | 0.224 (0.006) | 0.264 (0.001) | 0.088 (0.290) | 0.810 (<0.001) | 0.729 (<0.001) | 0.229 (0.005) |
| Albumin (g/dL), mean±S.D | −0.413 (<0.001) | −0.027 (0.747) | −0.259 (0.001) | 0.006 (0.940) | −0.089 (0.280) | −0.162 (0.050) |
| ESR (mm/h), median (P25, P75) | −0.080 (0.333) | −0.215 (0.009) | 0.145 (0.078) | 0.203 (0.013) | 0.092 (0.267) | 0.218 (0.008) |
| CRP (mg/L), median (P25, P75) | −0.035 (0.679) | −0.003 (0.967) | 0.969 (<0.001) | 0.128 (0.121) | 0.204 (0.013) | 0.135 (0.102) |
Disclaimer/Publisher’s Note: The statements, opinions and data contained in all publications are solely those of the individual author(s) and contributor(s) and not of MDPI and/or the editor(s). MDPI and/or the editor(s) disclaim responsibility for any injury to people or property resulting from any ideas, methods, instructions or products referred to in the content. |
© 2024 by the authors. Licensee MDPI, Basel, Switzerland. This article is an open access article distributed under the terms and conditions of the Creative Commons Attribution (CC BY) license (https://creativecommons.org/licenses/by/4.0/).
Share and Cite
Ekin, A.; Mısırcı, S.; Öztop, H.; Hacımustafaoğlu, A.Ş.; Coşkun, B.N.; Yağız, B.; Dalkılıç, E.; Pehlivan, Y. Does the LDH/Albumin Ratio Bring Novelty? A Comparative Analysis with Inflammatory Indices and Combined Models in Adult-Onset Still’s Disease. Diagnostics 2024, 14, 2780. https://doi.org/10.3390/diagnostics14242780
Ekin A, Mısırcı S, Öztop H, Hacımustafaoğlu AŞ, Coşkun BN, Yağız B, Dalkılıç E, Pehlivan Y. Does the LDH/Albumin Ratio Bring Novelty? A Comparative Analysis with Inflammatory Indices and Combined Models in Adult-Onset Still’s Disease. Diagnostics. 2024; 14(24):2780. https://doi.org/10.3390/diagnostics14242780
Chicago/Turabian StyleEkin, Ali, Salim Mısırcı, Hikmet Öztop, Asuman Şebnem Hacımustafaoğlu, Belkıs Nihan Coşkun, Burcu Yağız, Ediz Dalkılıç, and Yavuz Pehlivan. 2024. "Does the LDH/Albumin Ratio Bring Novelty? A Comparative Analysis with Inflammatory Indices and Combined Models in Adult-Onset Still’s Disease" Diagnostics 14, no. 24: 2780. https://doi.org/10.3390/diagnostics14242780
APA StyleEkin, A., Mısırcı, S., Öztop, H., Hacımustafaoğlu, A. Ş., Coşkun, B. N., Yağız, B., Dalkılıç, E., & Pehlivan, Y. (2024). Does the LDH/Albumin Ratio Bring Novelty? A Comparative Analysis with Inflammatory Indices and Combined Models in Adult-Onset Still’s Disease. Diagnostics, 14(24), 2780. https://doi.org/10.3390/diagnostics14242780

