Anti-SARS-CoV-2 IgM Antibody Levels Measured by an In-House ELISA in a Convalescent Latin Population Persist over Time and Exhibit Neutralizing Capacity to Several Variants of Concern
Abstract
1. Introduction
2. Materials and Methods
2.1. Antigen and Reagents
2.2. Plasma/Serum Samples
2.3. In-House IgM ELISA (CovIgM-ELISA)
2.4. Plasma/Serum Equivalence and Precision Study
2.5. Autoantibody Analysis
2.6. cPass Neutralization Test
2.7. Performance Comparison between the In-House CovIgM-ELISA and a Commercial EUA-Approved IgM-ELISA Kit
2.8. Data Analysis
2.9. Ethics Statement
3. Results
3.1. Receiver Operating Characteristics (ROC), OD Distribution, and the Sensitivity and Specificity of the In-House CovIgM-ELISA
3.2. Clinical Performance of the In-House CovIgM-ELISA in Comparison to the SCoV-2 DetectTM IgM ELISA (InBios International Inc.)
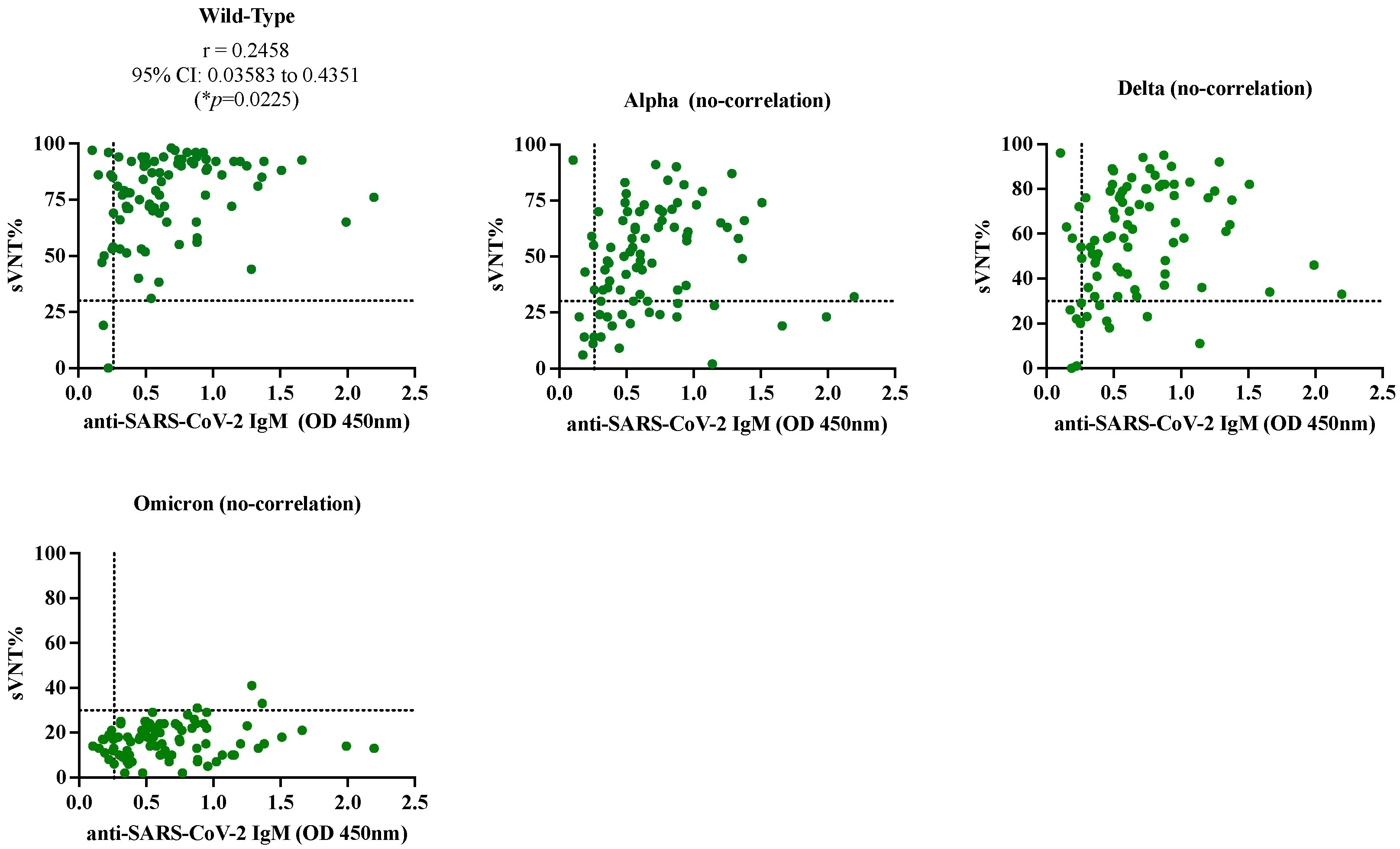
3.3. Association between Levels of IgM Detected by the In-House CovIgM-ELISA and the Neutralizing Activity
4. Discussion
5. Conclusions
Supplementary Materials
Author Contributions
Funding
Institutional Review Board Statement
Informed Consent Statement
Data Availability Statement
Acknowledgments
Conflicts of Interest
References
- Eurosurveilance Editorial Team. Note from Editors: World Health Organization declares novel coronavirus (2019-nCoV) sisxth public health emergency of international concern. EuroSurveill 2020, 25, 200131e. [Google Scholar] [CrossRef]
- WHO. Weekly Epidemiological Update on COVID-19, 66th ed.; 2021; Available online: https://www.who.int/publications/m/item/weekly-epidemiological-update-on-covid-19-16-november-2021 (accessed on 16 November 2021).
- Wolfel, R.; Corman, V.M.; Guggemos, W.; Seilmaier, M.; Zange, S.; Muller, M.A.; Niemeyer, D.; Jones, T.C.; Vollmar, P.; Rothe, C.; et al. Virological assessment of hospitalized patients with COVID-2019. Nature 2020, 581, 465–469. [Google Scholar] [CrossRef] [PubMed]
- Espino, A.M.; Armina-Rodriguez, A.; Alvarez, L.; Ocasio-Malave, C.; Ramos-Nieves, R.; Rodriguez Martino, E.I.; Lopez-Marte, P.; Torres, E.A.; Sariol, C.A. The Anti-SARS-CoV-2 IgG1 and IgG3 Antibody Isotypes with Limited Neutralizing Capacity against Omicron Elicited in a Latin Population a Switch toward IgG4 after Multiple Doses with the mRNA Pfizer-BioNTech Vaccine. Viruses 2024, 16, 187. [Google Scholar] [CrossRef] [PubMed] [PubMed Central]
- Sariol, C.A.; Pantoja, P.; Serrano-Collazo, C.; Rosa-Arocho, T.; Armina, A.; Cruz, L.; Stone, E.T.; Arana, T.; Climent, C.; Latoni, G.; et al. Function is more reliable than quantity to follow up the humoral response to the Receptor Binding Domain of SARS- CoV-2 Spike protein after natural infection or COVID-19 vaccination. medRxiv 2021. [Google Scholar] [CrossRef] [PubMed] [PubMed Central]
- Protocols/CEA. Evaluating of precision performance of quantitative measurements methods. In Apprved Guidelines, 2nd ed.; CLSI: Wayne, PA, USA, 2004; Volume 24. [Google Scholar]
- Taylor, S.C.; Hurst, B.; Charlton, C.L.; Bailey, A.; Kanji, J.N.; McCarthy, M.K.; Morrison, T.E.; Huey, L.; Annen, K.; DomBourian, M.G.; et al. A New SARS-CoV-2 Dual-Purpose Serology Test: Highly Accurate Infection Tracing and Neutralizing Antibody Response Detection. J. Clin. Microbiol. 2021, 59, 10–1128. [Google Scholar] [CrossRef] [PubMed] [PubMed Central]
- Santiago, G.A.; Flores, B.; Gonzalez, G.L.; Charriez, K.N.; Huertas, L.C.; Volkman, H.R.; Van Belleghem, S.M.; Rivera-Amill, V.; Adams, L.E.; Marzan, M.; et al. Genomic surveillance of SARS-CoV-2 in Puerto Rico enabled early detection and tracking of variants. Commun. Med. 2022, 2, 100. [Google Scholar] [CrossRef] [PubMed] [PubMed Central]
- Hajian-Tilaki, K. Receiver Operating Characteristic (ROC) Curve Analysis for Medical Diagnostic Test Evaluation. Caspian J. Intern. Med. 2013, 4, 627–635. [Google Scholar] [PubMed] [PubMed Central]
- Linnet, K.B.J. Selection and analytical evaluation of methods-with statistical techniques. In Tietz Textbook of Clinical Chemistry and Molecular Diagnostics, 5th ed.; Burtis, C.A., Ashwood, E.R., Bruns, D.E., Eds.; Elsevier Saunders: St Louis, MO, USA, 1995. [Google Scholar]
- Thrusfield, M. Veterinary Epidemiology, 2nd ed.; Balckewell Science Ltd.: London, UK, 1995. [Google Scholar]
- Cohen, J. A coefficient of agreement for nominal scales. Educ. Psychol. Meas. 1960, 20, 37–46. [Google Scholar] [CrossRef]
- Wieckowska, B.K.; Jozwiak, P.; Moryson, W.; Stawinska-Witoszynska, B. Cohen’s Kappa Coefficient as a Measure toAssess Classification Improvement following the Addition of a New Marker to a Regression Model. Int. J. Environ. Res. Public Health 2022, 19, 10213. [Google Scholar] [CrossRef]
- Oka, S.; Higuchi, T.; Furukawa, H.; Shimada, K.; Hashimoto, A.; Matsui, T.; Tohma, S. False-positive detection of IgM anti-severe acute respiratory syndrome coronavirus 2 antibodies in patients with rheumatoid arthritis: Possible effects of IgM or IgG rheumatoid factors on immunochromatographic assay results. SAGE Open Med. 2022, 10, 20503121221088090. [Google Scholar] [CrossRef] [PubMed] [PubMed Central]
- Miranda, E.M.; Han, X.; Park, S.H.; Suri, S.; Suryavanshi, M. Treatment Patterns Among Patients with Rheumatoid Arthritis in Puerto Rico. Rheumatol. Ther. 2022, 9, 609–619. [Google Scholar] [CrossRef] [PubMed] [PubMed Central]
- Okba, N.M.A.; Muller, M.A.; Li, W.; Wang, C.; GeurtsvanKessel, C.H.; Corman, V.M.; Lamers, M.M.; Sikkema, R.S.; de Bruin, E.; Chandler, F.D.; et al. Severe Acute Respiratory Syndrome Coronavirus 2-Specific Antibody Responses in Coronavirus Disease Patients. Emerg. Infect. Dis. 2020, 26, 1478–1488. [Google Scholar] [CrossRef] [PubMed] [PubMed Central]
- Chia, W.N.; Tan, C.W.; Foo, R.; Kang, A.E.Z.; Peng, Y.; Sivalingam, V.; Tiu, C.; Ong, X.M.; Zhu, F.; Young, B.E.; et al. Serological differentiation between COVID-19 and SARS infections. Emerg. Microbes Infect. 2020, 9, 1497–1505. [Google Scholar] [CrossRef] [PubMed] [PubMed Central]
- Mahallawi, W.H. A serological assay to detect human SARS-CoV-2 antibodies. J. Taibah Univ. Med. Sci. 2021, 16, 57–62. [Google Scholar] [CrossRef] [PubMed] [PubMed Central]
- Higgins, V.; Fabros, A.; Wang, X.Y.; Bhandari, M.; Daghfal, D.J.; Kulasingam, V. Anti-SARS-CoV-2 IgM improves clinical sensitivity early in disease course. Clin. Biochem. 2021, 90, 1–7. [Google Scholar] [CrossRef] [PubMed] [PubMed Central]
- Wang, P. Combination of serological total antibody and RT-PCR test for detection of SARS-COV-2 infections. J. Virol. Methods 2020, 283, 113919. [Google Scholar] [CrossRef] [PubMed] [PubMed Central]
- Al-Tamimi, M.; Tarifi, A.A.; Qaqish, A.; Abbas, M.M.; Albalawi, H.; Abu-Raideh, J.; Salameh, M.; Khasawneh, A.I. Immunoglobulins response of COVID-19 patients, COVID-19 vaccine recipients, and random individuals. PLoS ONE 2023, 18, e0281689. [Google Scholar] [CrossRef] [PubMed] [PubMed Central]
- Amellal, H.; Assaid, N.; Charoute, H.; Akarid, K.; Maaroufi, A.; Ezzikouri, S.; Sarih, M. Kinetics of specific anti-SARS-CoV-2 IgM, IgA, and IgG responses during the first 12 months after SARS-CoV-2 infection: A prospective longitudinal study. PLoS ONE 2023, 18, e0288557. [Google Scholar] [CrossRef] [PubMed] [PubMed Central]
- Kaduskar, O.; Gurav, Y.K.; Deshpande, K.; Desphande, G.R.; Yadav, P.; Rakhe, A.; Tilekar, B.N.; Gomade, P.; Salunke, A.; Patil, C.; et al. Understanding the dynamics of IgM & IgG antibodies in COVID-19-positive patients. Indian. J. Med. Res. 2022, 155, 565–569. [Google Scholar] [CrossRef] [PubMed] [PubMed Central]
- Suhandynata, R.T.; Hoffman, M.A.; Kelner, M.J.; McLawhon, R.W.; Reed, S.L.; Fitzgerald, R.L. Longitudinal Monitoring of SARS-CoV-2 IgM and IgG Seropositivity to Detect COVID-19. J. Appl. Lab. Med. 2020, 5, 908–920. [Google Scholar] [CrossRef] [PubMed] [PubMed Central]
- Ha, B.; Jadhao, S.; Hussaini, L.; Gibson, T.; Stephens, K.; Salazar, L.; Ciric, C.; Taylor, M.; Rouphael, N.; Edupuganti, S.; et al. Evaluation of a SARS-CoV-2 Capture IgM Antibody Assay in Convalescent Sera. Microbiol. Spectr. 2021, 9, e0045821. [Google Scholar] [CrossRef] [PubMed] [PubMed Central]
- Valdes-Fernandez, B.N.; Duconge, J.; Espino, A.M.; Ruano, G. Personalized health and the coronavirus vaccines-Do individual genetics matter? Bioessays 2021, 43, e2100087. [Google Scholar] [CrossRef] [PubMed] [PubMed Central]
- Addetia, A.; Crawford, K.H.D.; Dingens, A.; Zhu, H.; Roychoudhury, P.; Huang, M.L.; Jerome, K.R.; Bloom, J.D.; Greninger, A.L. Neutralizing Antibodies Correlate with Protection from SARS-CoV-2 in Humans during a Fishery Vessel Outbreak with a High Attack Rate. J. Clin. Microbiol. 2020, 58, 10–1128. [Google Scholar] [CrossRef] [PubMed] [PubMed Central]
- Corey, L.; Mascola, J.R.; Fauci, A.S.; Collins, F.S. A strategic approach to COVID-19 vaccine R&D. Science 2020, 368, 948–950. [Google Scholar] [CrossRef] [PubMed]
- Joyner, M.J.; Senefeld, J.W.; Klassen, S.A.; Mills, J.R.; Johnson, P.W.; Theel, E.S.; Wiggins, C.C.; Bruno, K.A.; Klompas, A.M.; Lesser, E.R.; et al. Effect of Convalescent Plasma on Mortality among Hospitalized Patients with COVID-19: Initial Three-Month Experience. medRxiv 2020. [Google Scholar] [CrossRef] [PubMed] [PubMed Central]
- Goldman, J.D.; Wang, K.; Roltgen, K.; Nielsen, S.C.A.; Roach, J.C.; Naccache, S.N.; Yang, F.; Wirz, O.F.; Yost, K.E.; Lee, J.Y.; et al. Reinfection with SARS-CoV-2 and Waning Humoral Immunity: A Case Report. Vaccines 2022, 11, 5. [Google Scholar] [CrossRef] [PubMed] [PubMed Central]
- Klingler, J.; Weiss, S.; Itri, V.; Liu, X.; Oguntuyo, K.Y.; Stevens, C.; Ikegame, S.; Hung, C.T.; Enyindah-Asonye, G.; Amanat, F.; et al. Role of IgM and IgA Antibodies in the Neutralization of SARS-CoV-2. medRxiv 2020. [Google Scholar] [CrossRef] [PubMed] [PubMed Central]
- Chakraborty, C.; Bhattacharya, M.; Sharma, A.R.; Mallik, B. Omicron (B.1.1.529)—A new heavily mutated variant: Mapped location and probable properties of its mutations with an emphasis on S-glycoprotein. Int. J. Biol. Macromol. 2022, 219, 980–997. [Google Scholar] [CrossRef] [PubMed] [PubMed Central]
- El-Daly, M.M. Advances and Challenges in SARS-CoV-2 Detection: A Review of Molecular and Serological Technologies. Diagnostics 2024, 14, 519. [Google Scholar] [CrossRef] [PubMed] [PubMed Central]




| Cohort 1 | |
|---|---|
| Convalescent (COVID-19) | |
| 04/26/2020 to 06/05/2020 |
| 86 (32 sera and 54 plasma) |
| Day since RT-PCR confirmation test | |
| 0 to 139 days |
| 35.5 days |
| 26 |
| 22 days |
| 33 |
| 37.5 days |
| 11 |
| 84 days |
| 16 |
| Cohort 2 | |
| Healthy subjects | |
| 2012 |
| 46 |
| Other respiratory/viral infections | |
| 2018–2019 |
| 47 |
| In-House Method | RT-PCR Standard Method Validated Samples | % Sensitivity (95% CI) | % Specificity (95% CI) | Kappa Assessment Value (95% CI) | |||
|---|---|---|---|---|---|---|---|
| Positive | Negative | Total | 75/86 | 3/93 | 0.843 | ||
| CovIgM- ELISA | Positive | 75 | 3 | 78 | 87.21% | 96.77% | 0.764 to 0.922 |
| Negative | 11 | 90 | 101 | 78.27% to 93.44% | 90.86% to 99.33% | Almost-Perfect Agreement | |
| Total | 86 | 93 | 179 | ||||
| Infection Time (IT) | N | True Positive | False Negative | Sensitivity | 95% CI | Kappa Assessment (95% CI) | Interpretation |
|---|---|---|---|---|---|---|---|
| 1 to 30 days | 26 | 25 | 1 | 96.15% | 80.36% to 99.90% | 0.904 (0.812 to 0.996) | Almost-perfect agreement |
| 31 to 60 days | 33 | 30 | 3 | 90.91% | 75.67% to 98.08% | 0.877 (0.781 to 0.973) | |
| 61 to 139 days | 11 | 9 | 2 | 81.82% | 48.22% to 97.72% | 0.756 (0.551 to 0.961) | Substantial agreement |
| Sensitivity considering samples with IT between 1 and 60 days | |||||||
| 1 to 60 days | 59 | 55 | 4 | 93.22% | 83.54% to 98.12% | 0.889 (0.813 to 0.964) | Almost-perfect agreement |
| Commercial Method | In-House CovIgM-ELISA | |||
|---|---|---|---|---|
| Positive | Negative | Total | ||
| SCoV-2 DetectTM IgM ELISA | Positive | 19 | 2 | 21 |
| Negative | 1 | 8 | 9 | |
| Total | 20 | 10 | 30 | |
| Kappa Assessment | 0.769 | |||
| No. Observed Agreement | 27 (90.00% of the observations) | |||
| 95% Confidence Interval | 0.523 to 1.00 | |||
| Data Interpretation | Substantial agreement | |||
| CovIgM-ELISA | |||||
|---|---|---|---|---|---|
| Surrogate Neut. Assay (cPass) Wild Type | Positive | Negative | Total | Kappa assessment | |
| Positive | 75 | 0 | 75 | 0.887 (almost-perfect agreement) | |
| Negative | 9 | 2 | 11 | 95% CI: 0.733 to 1.0 | |
| Total | 84 | 2 | 86 | No. observed agreement 84 (97.67%) | |
| CovIgM-ELISA | |||||
| Surrogate Neut. Assay (cPass) Alpha | Positive | Negative | Total | Kappa assessment | |
| Positive | 60 | 4 | 64 | 0.251 (slight agreement) | |
| Negative | 15 | 7 | 22 | 95% CI: −0.014 to 0.354 | |
| Total | 75 | 11 | 86 | No. observed agreement 64 (74.42%) | |
| CovIgM-ELISA | |||||
| Surrogate Neut. Assay (cPass) Delta | Positive | Negative | Total | Kappa assessment | |
| Positive | 69 | 5 | 74 | 0.375 (fair agreement) | |
| Negative | 6 | 6 | 12 | 95% CI: 0.09 to 0.658 | |
| Total | 75 | 11 | 86 | No. observed agreement 74 (86.05%) | |
Disclaimer/Publisher’s Note: The statements, opinions and data contained in all publications are solely those of the individual author(s) and contributor(s) and not of MDPI and/or the editor(s). MDPI and/or the editor(s) disclaim responsibility for any injury to people or property resulting from any ideas, methods, instructions or products referred to in the content. |
© 2024 by the authors. Licensee MDPI, Basel, Switzerland. This article is an open access article distributed under the terms and conditions of the Creative Commons Attribution (CC BY) license (https://creativecommons.org/licenses/by/4.0/).
Share and Cite
Espino, A.M.; Armina-Rodriguez, A.; Cardona, P.; Ocasio-Malavé, C.; Alvarez, L.; Sariol, C.A. Anti-SARS-CoV-2 IgM Antibody Levels Measured by an In-House ELISA in a Convalescent Latin Population Persist over Time and Exhibit Neutralizing Capacity to Several Variants of Concern. Diagnostics 2024, 14, 2209. https://doi.org/10.3390/diagnostics14192209
Espino AM, Armina-Rodriguez A, Cardona P, Ocasio-Malavé C, Alvarez L, Sariol CA. Anti-SARS-CoV-2 IgM Antibody Levels Measured by an In-House ELISA in a Convalescent Latin Population Persist over Time and Exhibit Neutralizing Capacity to Several Variants of Concern. Diagnostics. 2024; 14(19):2209. https://doi.org/10.3390/diagnostics14192209
Chicago/Turabian StyleEspino, Ana M., Albersy Armina-Rodriguez, Paola Cardona, Carlimar Ocasio-Malavé, Laura Alvarez, and Carlos A. Sariol. 2024. "Anti-SARS-CoV-2 IgM Antibody Levels Measured by an In-House ELISA in a Convalescent Latin Population Persist over Time and Exhibit Neutralizing Capacity to Several Variants of Concern" Diagnostics 14, no. 19: 2209. https://doi.org/10.3390/diagnostics14192209
APA StyleEspino, A. M., Armina-Rodriguez, A., Cardona, P., Ocasio-Malavé, C., Alvarez, L., & Sariol, C. A. (2024). Anti-SARS-CoV-2 IgM Antibody Levels Measured by an In-House ELISA in a Convalescent Latin Population Persist over Time and Exhibit Neutralizing Capacity to Several Variants of Concern. Diagnostics, 14(19), 2209. https://doi.org/10.3390/diagnostics14192209

