Pre-Reconstruction Processing with the Cycle-Consist Generative Adversarial Network Combined with Attention Gate to Improve Image Quality in Digital Breast Tomosynthesis
Abstract
1. Introduction
2. Materials and Methods
2.1. DBT
2.2. Cases and Datasets
2.3. cycleGAN
2.4. AG
2.5. rSEAG
2.6. Normalization of the Image Data
2.7. Evaluation of Optimization Parameters Foe Epochs
2.8. Evaluation of the Image Quality
2.9. PIQE
2.10. Texture Analysis (GLCM)
2.11. Statistical Model with a Gumbel Distribution
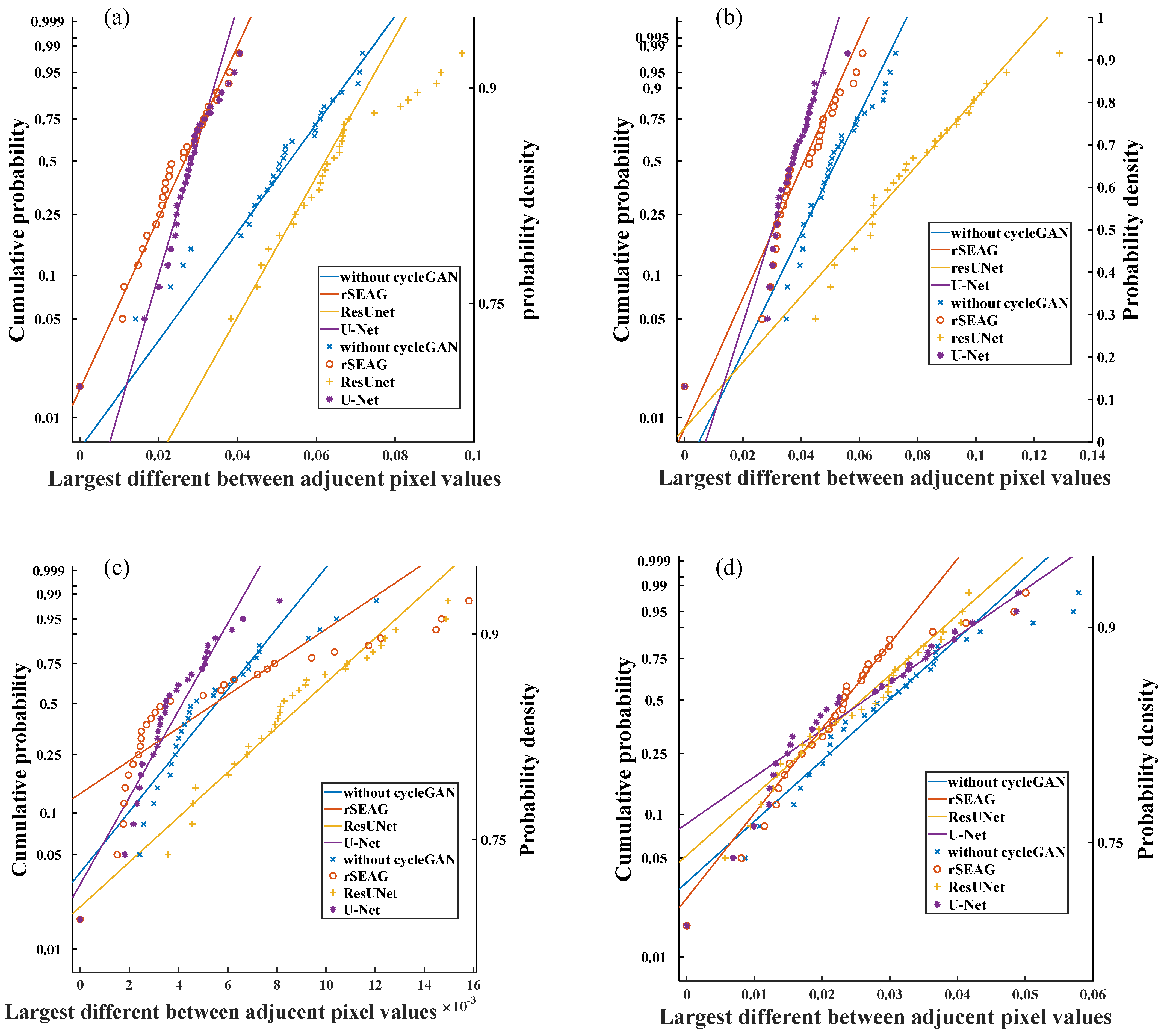
3. Results
3.1. Optimization Parameters for Epochs
3.2. Image Quality
4. Discussion
5. Conclusions
Author Contributions
Funding
Institutional Review Board Statement
Informed Consent Statement
Data Availability Statement
Conflicts of Interest
Appendix A
Appendix A.1
| iNorm | Instance normalization |
| Relu | Rectified linear unit |
| Tanh | Hyperbolic tangent function |
| Network | Block | Count | Channel | Kernel | Stride | Padding | Activation |
|---|---|---|---|---|---|---|---|
| Generator | Encoder | 1 | 64 | 3 × 3 | 1 | ||
| 2 | 64 | 1 | Same | iNorm + Relu | |||
| 3 | 128 | 2 | |||||
| 4 | 128 | 1 | |||||
| 5 | 256 | 2 | |||||
| 6 | 256 | 1 | |||||
| 7 | 512 | 2 | |||||
| 8 | 512 | 1 | - | ||||
| Decoder | 1 | 768 | 3 × 3 | 2 | Same | iNorm + Relu | |
| 2 | 256 | 1 | |||||
| 3 | 256 | 1 | - | ||||
| 4 | 384 | 2 | iNorm + Relu | ||||
| 5 | 128 | 1 | |||||
| 6 | 128 | 1 | - | ||||
| 7 | 192 | 2 | iNorm + Relu | ||||
| 8 | 64 | 1 | |||||
| 9 | 1 | 1 × 1 | 1 | Tanh |
Appendix A.2
| BN | Batch normalization |
| LRelu | Leaky rectified linear unit |
| Network | Block | Count | Channel | Kernel | Stride | Padding | Activation |
|---|---|---|---|---|---|---|---|
| Discriminator | 1 | 64 | 4 × 4 | 2 | Same | LRelu | |
| 2 | 128 | BN + LRelu | |||||
| 3 | 256 | ||||||
| 4 | 512 | ||||||
| 5 | 1 | 1 | - |
References
- Barth, R.J., Jr.; Gibson, G.R.; Carney, P.A.; Mott, L.A.; Becher, R.D.; Poplack, S.P. Detection of breast cancer on screening mammography allows patients to be treated with less-toxic therapy. AJR Am. J. Roentgenol. 2005, 184, 324–329. [Google Scholar] [CrossRef]
- Gao, Y.; Moy, L.; Heller, S.L. Digital Breast Tomosynthesis: Update on Technology, Evidence, and Clinical Practice. Radiographics 2021, 41, 321–337. [Google Scholar] [CrossRef] [PubMed]
- Samala, R.K.; Chan, H.P.; Hadjiiski, L.M.; Helvie, M.A.; Richter, C.; Cha, K. Evolutionary pruning of transfer learned deep convolutional neural network for breast cancer diagnosis in digital breast tomosynthesis. Phys. Med. Biol. 2018, 63, 095005. [Google Scholar] [CrossRef]
- Samala, R.K.; Heang-Ping, C.; Hadjiiski, L.; Helvie, M.A.; Richter, C.D.; Cha, K.H. Breast Cancer Diagnosis in Digital Breast Tomosynthesis: Effects of Training Sample Size on Multi-Stage Transfer Learning Using Deep Neural Nets. IEEE Trans. Med. Imaging 2019, 38, 686–696. [Google Scholar] [CrossRef] [PubMed]
- Pinto, M.C.; Rodriguez-Ruiz, A.; Pedersen, K.; Hofvind, S.; Wicklein, J.; Kappler, S.; Mann, R.M.; Sechopoulos, I. Impact of Artificial Intelligence Decision Support Using Deep Learning on Breast Cancer Screening Interpretation with Single-View Wide-Angle Digital Breast Tomosynthesis. Radiology 2021, 300, 529–536. [Google Scholar] [CrossRef]
- Buda, M.; Saha, A.; Walsh, R.; Ghate, S.; Li, N.; Swiecicki, A.; Lo, J.Y.; Mazurowski, M.A. A Data Set and Deep Learning Algorithm for the Detection of Masses and Architectural Distortions in Digital Breast Tomosynthesis Images. JAMA Netw. Open 2021, 4, e2119100. [Google Scholar] [CrossRef] [PubMed]
- Jiang, G.; Wei, J.; Xu, Y.; He, Z.; Zeng, H.; Wu, J.; Qin, G.; Chen, W.; Lu, Y. Synthesis of Mammogram From Digital Breast Tomosynthesis Using Deep Convolutional Neural Network With Gradient Guided cGANs. IEEE Trans. Med. Imaging 2021, 40, 2080–2091. [Google Scholar] [CrossRef]
- Isola, P.; Zhu, J.Y.; Zhou, T.; Efros, A.A. Image-To-Image Translation with Conditional Adversarial Networks. In Proceedings of the IEEE Conference on Computer Vision and Pattern Recognition (CVPR), Honolulu, HI, USA, 21–26 July 2017; pp. 1125–1134. [Google Scholar] [CrossRef]
- Ronneberger, O.; Fischer, P.; Brox, T. U-Net: Convolutional Networks for Biomedical Image Segmentation. In Proceedings of the MICCAI 2015 18th International Conference, Munich, Germany, 5–9 October 2015; pp. 234–241. [Google Scholar] [CrossRef]
- Dobbins, J.T., 3rd; Godfrey, D.J. Digital x-ray tomosynthesis: Current state of the art and clinical potential. Phys. Med. Biol. 2003, 48, R65–R106. [Google Scholar] [CrossRef]
- Bleuet, P.; Guillemaud, R.; Magnin, I.; Desbat, L. An adapted fan volume sampling scheme for 3D algebraic reconstruction in linear tomosynthesis. IEEE Trans. Nucl. Sci. 2002, 49, 2366–2372. [Google Scholar] [CrossRef]
- Wu, T.; Zhang, J.; Moore, R.; Rafferty, E.; Kopans, D. Digital tomosynthesis mammography using a parallel maximum-likelihood reconstruction method. Proc. SPIE 2004, 5368, 1–11. [Google Scholar] [CrossRef]
- Chen, Y.; Lo, J.Y.; Baker, J.A.; Dobbins, J.T., 3rd. Gaussian Frequency Blending Algorithm with Matrix Inversion Tomosynthesis (MITS) and Filtered Back Projection (FBP) for Better Digital Breast Tomosynthesis Reconstruction. In Medical Imaging 2006: Physics of Medical Imaging; SPIE: Bellingham, WA, USA, 2006; Volume 6142, pp. 122–130. [Google Scholar] [CrossRef]
- Sidky, E.Y.; Pan, X. Image reconstruction in circular cone-beam computed tomography by constrained, total-variation minimization. Phys. Med. Biol. 2008, 53, 4777–4807. [Google Scholar] [CrossRef] [PubMed]
- Sidky, E.Y.; Pan, X.; Reiser, I.S.; Nishikawa, R.M.; Moore, R.H.; Kopans, D.B. Enhanced imaging of microcalcifications in digital breast tomosynthesis through improved image-reconstruction algorithms. Med. Phys. 2009, 36, 4920–4932. [Google Scholar] [CrossRef]
- Lu, Y.; Chan, H.P.; Wei, J.; Hadjiiski, L.M.; Samala, R.K. Multiscale bilateral filtering for improving image quality in digital breast tomosynthesis. Med. Phys. 2015, 42, 182–195. [Google Scholar] [CrossRef]
- Zheng, J.; Fessler, J.A.; Chan, H.P. Detector Blur and Correlated Noise Modeling for Digital Breast Tomosynthesis Reconstruction. IEEE Trans. Med. Imaging 2018, 37, 116–127. [Google Scholar] [CrossRef]
- Suryanarayanan, S.; Karellas, A.; Vedantham, S.; Glick, S.J.; D’Orsi, C.J.; Baker, S.P.; Webber, R.L. Comparison of tomosynthesis methods used with digital mammography. Acad. Radiol. 2000, 7, 1085–1097. [Google Scholar] [CrossRef] [PubMed]
- Mahadevan, R.; Ikejimba, L.C.; Lin, Y.; Samei, E.; Lo, J.Y. A task-based comparison of two reconstruction algorithms for digital breast tomosynthesis. In Medical Imaging 2014: Physics of Medical Imaging; SPIE: Bellingham, WA, USA, 2014; Volume 9033, p. 9033. [Google Scholar] [CrossRef]
- Liu, J.; Zarshenas, A.; Qadir, A.; Wei, Z.; Yang, L.; Fajardo, L.; Suzuki, K. Radiation dose reduction in digital breast tomosynthesis (DBT) by means of deep-learning-based supervised image processing. In Medical Imaging 2018: Physics of Medical Imaging; SPIE: Bellingham, WA, USA, 2018; p. 9. [Google Scholar] [CrossRef]
- Gao, M.; Fessler, J.A.; Chan, H.P. Deep Convolutional Neural Network with Adversarial Training for Denoising Digital Breast Tomosynthesis Images. IEEE Trans. Med. Imaging 2021, 40, 1805–1816. [Google Scholar] [CrossRef] [PubMed]
- Gomi, T.; Kijima, Y.; Kobayashi, T.; Koibuchi, Y. Evaluation of a Generative Adversarial Network to Improve Image Quality and Reduce Radiation-Dose during Digital Breast Tomosynthesis. Diagnostics 2022, 12, 495. [Google Scholar] [CrossRef]
- He, K.; Zhang, X.; Ren, S.; Sun, J. Deep Residual Learning for Image Recognition. In Proceedings of the IEEE Conference on Computer Vision and Pattern Recognition (CVPR), Las Vegas, NV, USA, 27–30 June 2016; pp. 770–778. [Google Scholar] [CrossRef]
- Zhu, J.; Park, T.; Isola, P.; Efros, A.A. Unpaired Image-to-Image Translation Using Cycle-Consistent Adversarial Networks. In Proceedings of the 2017 IEEE International Conference on Computer Vision (ICCV), Venice, Italy, 22–29 October 2017; pp. 2242–2251. [Google Scholar] [CrossRef]
- Zhang, Z.; Liu, Q.; Wang, Y. Road Extraction by Deep Residual U-Net. IEEE Geosci. Remote Sens. Lett. 2018, 15, 749–753. [Google Scholar] [CrossRef]
- Schlemper, J.; Oktay, O.; Schaap, M.; Heinrich, M.; Kainz, B.; Glocker, B.; Rueckert, D. Attention gated networks: Learning to leverage salient regions in medical images. Med. Image Anal. 2019, 53, 197–207. [Google Scholar] [CrossRef]
- Gong, H.; Ahmed, Z.; Chang, S.; Koons, E.K.; Thorne, J.E.; Rajiah, P.; Foley, T.A.; Fletcher, J.G.; McCollough, C.H.; Leng, S. Motion artifact correction in cardiac CT using cross-phase temporospatial information and synergistic attention gate and spatial transformer sub-networks. Phys. Med. Biol. 2024, 69, 035023. [Google Scholar] [CrossRef]
- He, Y.; Gao, Z.; Li, Y.; Wang, Z. A lightweight multi-modality medical image semantic segmentation network base on the novel UNeXt and Wave-MLP. Comput. Med. Imaging Graph. 2024, 111, 102311. [Google Scholar] [CrossRef]
- Hu, J.; Shen, L.; Sun, G. Squeeze-and-Excitation Networks. In Proceedings of the 2018 IEEE/CVF Conference on Computer Vision and Pattern Recognition, Salt Lake City, UT, USA, 18–23 June 2018; pp. 7132–7141. [Google Scholar] [CrossRef]
- Venkatanath, N.; Praneeth, D.; Bh, M.C.; Channappayya, S.S.; Medasani, S.S. Blind image quality evaluation using perception based features. In Proceedings of the Twenty First National Conference on Communications (NCC), Mumbai, India, 27 February–1 March 2015. [Google Scholar] [CrossRef]
- Haralick, R.M.; Shanmugam, K.; Dinstein, I. Textural features for image classification. IEEE Trans. Syst. Man. Cybern. 1973, 3, 610–621. [Google Scholar] [CrossRef]
- Imai, K.; Ikeda, M.; Enchi, Y.; Niimi, T. Statistical characteristics of streak artifacts on CT images: Relationship between streak artifacts and mA s values. Med. Phys. 2009, 36, 492–499. [Google Scholar] [CrossRef]
- Huda, W.; Rill, L.N.; Bruner, A.P. Relative speeds of Kodak computed radiography phosphors and screen-film systems. Med. Phys. 1997, 24, 1621–1628. [Google Scholar] [CrossRef]
- Shepard, S.J.; Wang, J.; Flynn, M.; Gingold, E.; Goldman, L.; Krugh, K.; Leong, D.L.; Mah, E.; Ogden, K.; Peck, D.; et al. An exposure indicator for digital radiography: AAPM Task Group 116 (executive summary). Med. Phys. 2009, 36, 2898–2914. [Google Scholar] [CrossRef] [PubMed]
- Peters, S.E.; Brennan, P.C. Digital radiography: Are the manufacturers’ settings too high? Optimisation of the Kodak digital radiography system with aid of the computed radiography dose index. Eur. Radiol. 2002, 12, 2381–2387. [Google Scholar] [CrossRef]
- Kingma, D.; Adam, J.B. Adam: A method for stochastic optimization. In Proceedings of the International Conference on Learning Representations (ICLR), San Diego, CA, USA, 7–9 May 2015. [Google Scholar] [CrossRef]
- Zhou, W.; Bovik, A.C. A universal image quality index. IEEE Signal Process. Lett. 2002, 9, 81–84. [Google Scholar] [CrossRef]
- Dong, Y.; Yang, F.; Wen, J.; Cai, J.; Zeng, F.; Liu, M.; Li, S.; Wang, J.; Ford, J.C.; Portelance, L.; et al. Improvement of 2D cine image quality using 3D priors and cycle generative adversarial network for low field MRI-guided radiation therapy. Med. Phys. 2023, 51, 3495–3509. [Google Scholar] [CrossRef] [PubMed]
- Islam, K.T.; Zhong, S.; Zakavi, P.; Chen, Z.; Kavnoudias, H.; Farquharson, S.; Durbridge, G.; Barth, M.; McMahon, K.L.; Parizel, P.M.; et al. Improving portable low-field MRI image quality through image-to-image translation using paired low- and high-field images. Sci. Rep. 2023, 13, 21183. [Google Scholar] [CrossRef]
- Honjo, T.; Ueda, D.; Katayama, Y.; Shimazaki, A.; Jogo, A.; Kageyama, K.; Murai, K.; Tatekawa, H.; Fukumoto, S.; Yamamoto, A.; et al. Visual and quantitative evaluation of microcalcifications in mammograms with deep learning-based super-resolution. Eur. J. Radiol. 2022, 154, 110433. [Google Scholar] [CrossRef]
- Gomi, T.; Sakai, R.; Goto, M.; Hara, H.; Watanabe, Y. Development of a novel algorithm for metal artifact reduction in digital tomosynthesis using projection-based dual-energy material decomposition for arthroplasty: A phantom study. Phys. Med. 2018, 53, 4–16. [Google Scholar] [CrossRef] [PubMed]
- Gennaro, G.; Toledano, A.; di Maggio, C.; Baldan, E.; Bezzon, E.; La Grassa, M.; Pescarini, L.; Polico, I.; Proietti, A.; Toffoli, A.; et al. Digital breast tomosynthesis versus digital mammography: A clinical performance study. Eur. Radiol. 2010, 20, 1545–1553. [Google Scholar] [CrossRef] [PubMed]
- Nishikawa, R.; Reiser, I.; Seifi, P.; Vyborny, C. A New Approach to Digital Breast Tomosynthesis for Breast Cancer Screening; SPIE: Bellingham, WA, USA, 2007; Volume 6510. [Google Scholar] [CrossRef]
- Vecchio, S.; Albanese, A.; Vignoli, P.; Taibi, A. A novel approach to digital breast tomosynthesis for simultaneous acquisition of 2D and 3D images. Eur. Radiol. 2011, 21, 1207–1213. [Google Scholar] [CrossRef] [PubMed]
- Das, M.; Gifford, H.C.; O’Connor, J.M.; Glick, S.J. Evaluation of a variable dose acquisition technique for microcalcification and mass detection in digital breast tomosynthesis. Med. Phys. 2009, 36, 1976–1984. [Google Scholar] [CrossRef]
- Radon, J. Uber die bestimmung von funktionen durch ihre integralwerte langs gewisser mannigfaltigkeiten. Berichte Verhandlungen Gesellshaft Wiss. Leipz. 1917, 69, 262–277. [Google Scholar]














| Training Dataset (Reference) | Training Dataset (Object) | Testing Dataset | |
|---|---|---|---|
| Mastopathy | 7 | 5 | - |
| DICS * | 2 | 4 | - |
| IDC ** | 10 | 26 | 4 |
| Fibroadenoma | 1 | 2 | - |
| Findings without a diagnosis | 25 | 8 | - |
| Heterogeneous dense breasts | |||
| (normal) | 9 | 3 | - |
| (benign or malignant) | - | 3 | 2 |
| Extremely dense breasts | |||
| (normal) | 4 | - | - |
| (benign or malignant) | 1 | - | - |
| Average age ± SD *** (years) | 58.46 ± 19.21 | 58.71 ± 13.54 | 49 ± 0.5 |
| Acquisition view | CC **** | CC, MLO | CC, MLO |
| MLO ***** | |||
| Number of cases | 45 | 45 | 4 |
| Number of total projection images | 675 | 675 | 60 |
| Number of total sample images | 86,400 | 86,400 | - |
| EI (average ± SD) | +219.8 ± 46.36 | −495.42 ± 111.71 | −570.5 ± 181.11 |
| DI (average ± SD) | +5.68 ± 5.82 | −12.75 ± 2.73 | −12.5 ± 2.06 |
| Parameters | Values |
|---|---|
| Patch-per-image | 128 |
| Minibatch size | 16 |
| Iteration-per-epoch | 5400 |
| Patch size | 128 × 128 pixels |
| Original projection image size | 2560 × 4096 pixels |
| Crop projection image size | 1024 × 2048 pixels |
| Generator architecture | rSEAG, ResUNet, U-Net |
| Discriminator architecture | PatchGAN |
| Initial learning rate | 0.0001 |
| Gradient decay factor | 0.5 |
| Squared gradient decay factor | 0.999 |
| Solver | Adam |
| Loss function | Adversarial loss |
| Cycle consistency loss | |
| Fidelity loss (structural similarity: SSIM loss) |
Disclaimer/Publisher’s Note: The statements, opinions and data contained in all publications are solely those of the individual author(s) and contributor(s) and not of MDPI and/or the editor(s). MDPI and/or the editor(s) disclaim responsibility for any injury to people or property resulting from any ideas, methods, instructions or products referred to in the content. |
© 2024 by the authors. Licensee MDPI, Basel, Switzerland. This article is an open access article distributed under the terms and conditions of the Creative Commons Attribution (CC BY) license (https://creativecommons.org/licenses/by/4.0/).
Share and Cite
Gomi, T.; Ishihara, K.; Yamada, S.; Koibuchi, Y. Pre-Reconstruction Processing with the Cycle-Consist Generative Adversarial Network Combined with Attention Gate to Improve Image Quality in Digital Breast Tomosynthesis. Diagnostics 2024, 14, 1957. https://doi.org/10.3390/diagnostics14171957
Gomi T, Ishihara K, Yamada S, Koibuchi Y. Pre-Reconstruction Processing with the Cycle-Consist Generative Adversarial Network Combined with Attention Gate to Improve Image Quality in Digital Breast Tomosynthesis. Diagnostics. 2024; 14(17):1957. https://doi.org/10.3390/diagnostics14171957
Chicago/Turabian StyleGomi, Tsutomu, Kotomi Ishihara, Satoko Yamada, and Yukio Koibuchi. 2024. "Pre-Reconstruction Processing with the Cycle-Consist Generative Adversarial Network Combined with Attention Gate to Improve Image Quality in Digital Breast Tomosynthesis" Diagnostics 14, no. 17: 1957. https://doi.org/10.3390/diagnostics14171957
APA StyleGomi, T., Ishihara, K., Yamada, S., & Koibuchi, Y. (2024). Pre-Reconstruction Processing with the Cycle-Consist Generative Adversarial Network Combined with Attention Gate to Improve Image Quality in Digital Breast Tomosynthesis. Diagnostics, 14(17), 1957. https://doi.org/10.3390/diagnostics14171957

