Explaining the Elusive Nature of a Well-Defined Threshold for Blood Transfusion in Advanced Epithelial Ovarian Cancer Cytoreductive Surgery
Abstract
:1. Introduction
2. Methods
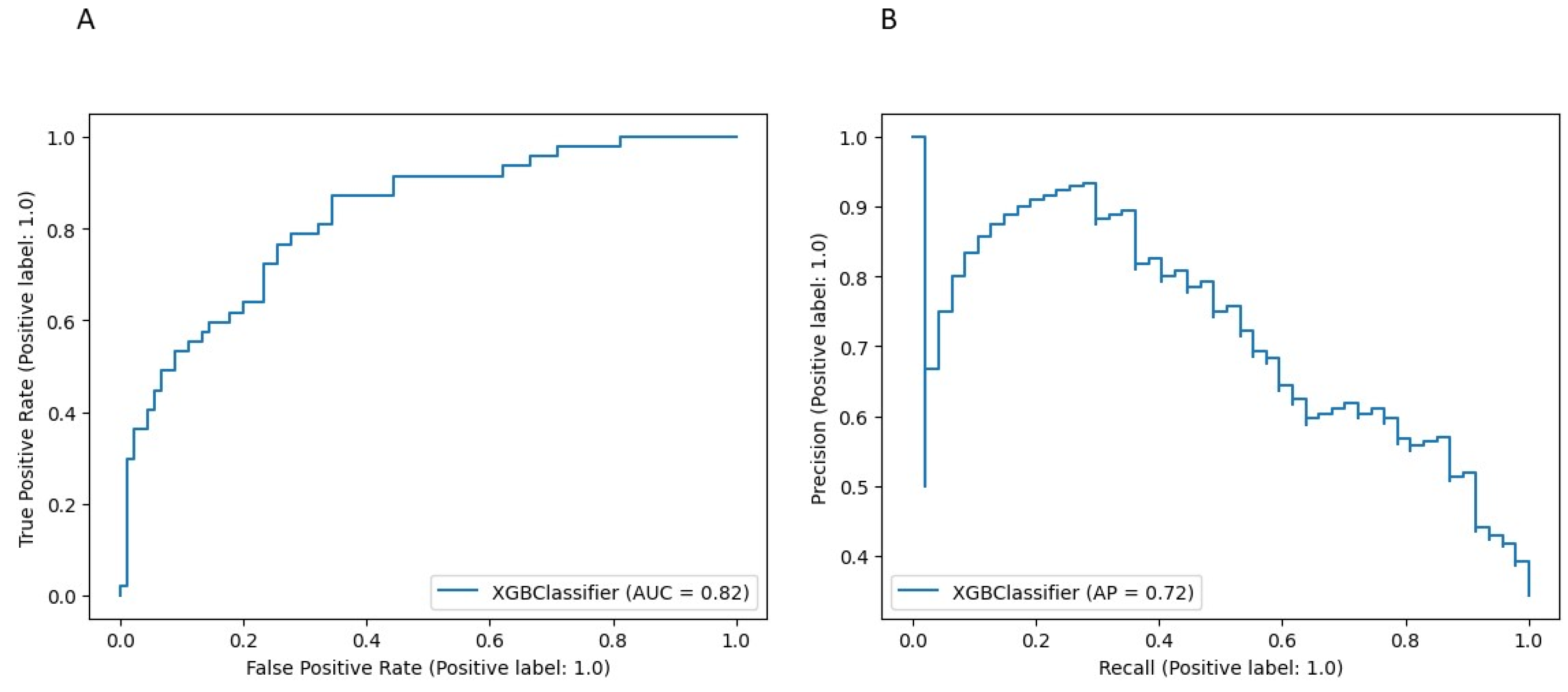
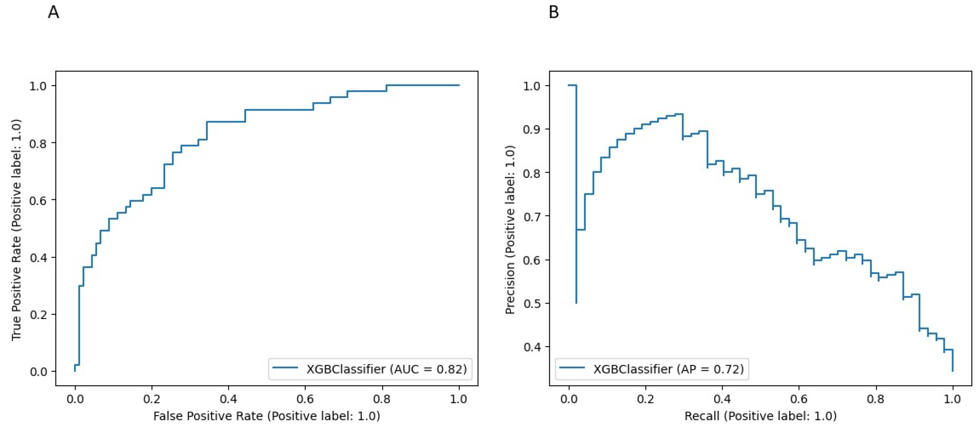
3. Results
4. Discussion
5. Conclusions
Author Contributions
Funding
Institutional Review Board Statement
Informed Consent Statement
Data Availability Statement
Conflicts of Interest
Appendix A



References
- Fotopoulou, C.; Planchamp, F.; Aytulu, T.; Chiva, L.; Cina, A.; Ergönül, Ö.; Fagotti, A.; Haidopoulos, D.; Hasenburg, A.; Hughes, C.; et al. European Society of Gynaecological Oncology guidelines for the peri-operative management of advanced ovarian cancer patients undergoing debulking surgery. Int. J. Gynecol. Cancer 2021, 31, 1199–1206. [Google Scholar] [CrossRef]
- Manning-Geist, B.L.; Alimena, S.; Del Carmen, M.G.; Goodman, A.; Clark, R.M.; Growdon, W.B.; Horowitz, N.S.; Berkowitz, R.S.; Muto, M.G.; Worley, M.J., Jr. Infection, thrombosis, and oncologic outcome after interval debulking surgery: Does perioperative blood transfusion matter? Gynecol. Oncol. 2019, 153, 63–67. [Google Scholar] [CrossRef] [PubMed]
- Laios, A.; Kalampokis, E.; Johnson, R.; Munot, S.; Thangavelu, A.; Hutson, R.; Broadhead, T.; Theophilou, G.; Leach, C.; Nugent, D.; et al. Factors predicting surgical effort using explainable artificial intelligence in advanced stage epithelial ovarian cancer. Cancers 2022, 14, 3447. [Google Scholar] [CrossRef] [PubMed]
- Chen, J.H.; Asch, S.M. Machine learning and prediction in medicine—beyond the peak of inflated expectations. N. Engl. J. Med. 2017, 376, 2507. [Google Scholar] [CrossRef] [PubMed]
- Laios, A.; Kalampokis, E.; Johnson, R.; Thangavelu, A.; Tarabanis, C.; Nugent, D.; De Jong, D. Explainable artificial intelligence for prediction of complete surgical cytoreduction in advanced-stage epithelial ovarian cancer. J. Pers. Med. 2022, 12, 607. [Google Scholar] [CrossRef] [PubMed]
- Jacquet, P.; Sugarbaker, P.H. Clinical research methodologies in diagnosis and staging of patients with peritoneal carcinomatosis. In Peritoneal Carcinomatosis: Principles of Management; Springer: Berlin/Heidelberg, Germany, 1996; pp. 359–374. [Google Scholar]
- Sehouli, J.; Könsgen, D.; Mustea, A.; Oskay-Özcelik, G.; Katsares, I.; Weidemann, H.; Lichtenegger, W. „IMO”-Intraoperatives Mapping des Ovarialkarzinoms. Zentralblatt GynÄKol. 2003, 125, 129–135. [Google Scholar]
- Aletti, G.D.; Dowdy, S.C.; Podratz, K.C.; Cliby, W.A. Relationship among surgical complexity, short-term morbidity, and overall survival in primary surgery for advanced ovarian cancer. Am. J. Obstet. Gynecol. 2007, 197, 676.e1. [Google Scholar] [CrossRef]
- Querleu, D.; Planchamp, F.; Chiva, L.; Fotopoulou, C.; Barton, D.; Cibula, D.; Aletti, G.; Carinelli, S.; Creutzberg, C.; Davidson, B.; et al. European Society of Gynaecologic Oncology quality indicators for advanced ovarian cancer surgery. Int. J. Gynecol. Cancer 2016, 26, 1354–1363. [Google Scholar] [CrossRef]
- Friedman, J.H. Greedy function approximation: A gradient boosting machine. Ann. Stat. 2001, 29, 1189–1232. [Google Scholar] [CrossRef]
- Lewis, K.M.; Li, Q.; Jones, D.S.; Corrales, J.D.; Du, H.; Spiess, P.E.; Menzo, E.L.; DeAnda, A., Jr. Development and validation of an intraoperative bleeding severity scale for use in clinical studies of hemostatic agents. Surgery 2017, 161, 771–781. [Google Scholar] [CrossRef]
- Lundberg, S.M.; Erion, G.; Chen, H.; DeGrave, A.; Prutkin, J.M.; Nair, B.; Katz, R.; Himmelfarb, J.; Bansal, N.; Lee, S.I. From local explanations to global understanding with explainable AI for trees. Nat. Mach. Intell. 2020, 2, 56–67. [Google Scholar] [CrossRef] [PubMed]
- Laios, A.; Kalampokis, E.; Johnson, R.; Munot, S.; Thangavelu, A.; Hutson, R.; Broadhead, T.; Theophilou, G.; Nugent, D.; De Jong, D. Development of a Novel Intra-Operative Score to Record Diseases’ Anatomic Fingerprints (ANAFI Score) for the Prediction of Complete Cytoreduction in Advanced-Stage Ovarian Cancer by Using Machine Learning and Explainable Artificial Intelligence. Cancers 2023, 15, 966. [Google Scholar] [CrossRef] [PubMed]
- McDonald, J.; Orlick, T.; Letts, M. Mental readiness in surgeons and its links to performance excellence in surgery. J. Pediatr. Orthop. 1995, 15, 691–697. [Google Scholar] [CrossRef]
- Collins, A.; Spooner, S.; Horne, J.; Chainrai, M.; Runau, F.; Bourne, T.; Moss, E.L.; Davies, Q.; Chattopadhyay, S.; Bharathan, R. Peri-operative variables associated with prolonged intensive care stay following cytoreductive surgery for ovarian cancer. Anticancer Res. 2021, 41, 3059–3065. [Google Scholar] [CrossRef] [PubMed]
- Heddens, D.; Alberts, D.S.; Hannigan, E.V.; Williams, S.D.; Garcia, D.; Roe, D.J.; Bell, J.; Alvarez, R.D. Prediction of the need for red cell transfusion in newly diagnosed ovarian cancer patients undergoing platinum-based treatment. Gynecol. Oncol. 2002, 86, 239–243. [Google Scholar] [CrossRef] [PubMed]
- Pinheiro de Almeida, J.; Vincent, J.L.; Barbosa Gomes Galas, F.R.; Pinto Marinho de Almeida, E.; Fukushima, J.T.; Osawa, E.A.; Bergamin, F.; Lee Park, C.; Nakamura, R.E.; Fonseca, S.M.; et al. Transfusion requirements in surgical oncology patients: A prospective, randomized controlled trial. Anesthesiology 2015, 122, 29–38. [Google Scholar] [CrossRef] [PubMed]
- Kahn, R.; Boerner, T.; An, A.; Gardner, G.; Roche, K.L.; Sonoda, Y.; Zivanovic, O.; Grisham, R.; Abu-Rustum, N.; Chi, D. A preoperative tool for estimating the risk of blood transfusion over an ovarian cancer debulking surgery (113). Gynecol. Oncol. 2022, 166, S74. [Google Scholar] [CrossRef]
- Goel, R.; Kanhere, H.; Trochsler, M. The ‘Surgical Time’: A myth or reality? Surgeons’ prediction of operating time and its effect on theatre scheduling. Aust. Health Rev. 2020, 44, 772–777. [Google Scholar] [CrossRef]
- Eisenkop, S.M.; Friedman, R.L.; Wang, H.J. Complete cytoreductive surgery is feasible and maximizes survival in patients with advanced epithelial ovarian cancer: A prospective study. Gynecol. Oncol. 1998, 69, 103–108. [Google Scholar] [CrossRef]
- Yitgin, Y.; Altınkaya, N.; Turaliev, N.; Guven, S.; Ergul, R.B.; Boyuk, A.; Verep, S.; Tefik, T.; Karagoz, M.A.; Ibis, M.A.; et al. Evaluation of the optimal duration for retrograde intrarenal stone surgery to prevent postoperative complications. Scott. Med. J. 2022, 67, 121–125. [Google Scholar] [CrossRef]
- Kubi, B.; Nudotor, R.; Fackche, N.; Nizam, W.; Cloyd, J.M.; Grotz, T.E.; Fournier, K.F.; Dineen, S.P.; Powers, B.D.; Veerapong, J.; et al. Impact of perioperative blood transfusions on outcomes after hyperthermic intraperitoneal chemotherapy: A propensity-matched analysis. Ann. Surg. Oncol. 2021, 28, 4499–4507. [Google Scholar] [CrossRef]
- Prescott, L.S.; Taylor, J.S.; Lopez-Olivo, M.A.; Munsell, M.F.; VonVille, H.M.; Lairson, D.R.; Bodurka, D.C. How low should we go: A systematic review and meta-analysis of the impact of restrictive red blood cell transfusion strategies in oncology. Cancer Treat. Rev. 2016, 46, 1–8. [Google Scholar] [CrossRef] [PubMed]
- Kietpeerakool, C.; Supoken, A.; Laopaiboon, M.; Lumbiganon, P. Effectiveness of tranexamic acid in reducing blood loss during cytoreductive surgery for advanced ovarian cancer. Cochrane Database Syst. Rev. 2016, 2016, CD011732. [Google Scholar] [CrossRef] [PubMed]
- Prescott, L.S.; Vergote, I.; Sun, C.C.; Bodurka, D.C.; Coleman, R.L. Transfusion use and effect on progression-free, overall survival, and quality of life in upfront treatment of advanced epithelial ovarian cancer: Evaluation of the European Organization for Research and Treatment EORTC-55971 Cohort. Int. J. Gynecol. Cancer 2023, 33, 1–9. [Google Scholar] [CrossRef] [PubMed]
- Hunsicker, O.; Fotopoulou, C.; Pietzner, K.; Koch, M.; Krannich, A.; Sehouli, J.; Spies, C.; Feldheiser, A. Hemodynamic consequences of malignant ascites in epithelial ovarian cancer surgery: A prospective substudy of a randomized controlled trial. Medicine 2015, 94, e2108. [Google Scholar] [CrossRef] [PubMed]
- Tse, A.; Chow, O.; Matar, A.; Alzahrani, N.; Morris, D. Strategies for ‘bloodless’ surgery: The experience of cytoreductive surgery for peritoneal carcinomatosis in Jehovah’s Witnesses. ANZ J. Surg. 2020, 90, 1953–1957. [Google Scholar] [CrossRef]
- Miralpeix, E.; Sole-Sedeno, J.M.; Rodriguez-Cosmen, C.; Taus, A.; Muns, M.D.; Fabregó, B.; Mancebo, G. Impact of prehabilitation during neoadjuvant chemotherapy and interval cytoreductive surgery on ovarian cancer patients: A pilot study. World J. Surg. Oncol. 2022, 20, 46. [Google Scholar] [CrossRef]
- Tanner, E.J.; Filippova, O.T.; Gardner, G.J.; Roche, K.C.L.; Sonoda, Y.; Zivanovic, O.; Fischer, M.; Chi, D.S. A prospective trial of acute normovolemic hemodilution in patients undergoing primary cytoreductive surgery for advanced ovarian cancer. Gynecol. Oncol. 2018, 151, 433–437. [Google Scholar] [CrossRef]
- Castro, B.G.R.; Dos Reis, R.; Cintra, G.F.; de Assunção Sousa, M.M.; de Andrade Vieira, M.; da Cunha Andrade, C.E.M. Predictive factors for surgical morbidities and adjuvant chemotherapy delay for advanced ovarian cancer patients treated by primary debulking surgery or interval debulking surgery. Int. J. Gynecol. Cancer 2018, 28, 1520–1528. [Google Scholar] [CrossRef]
- Sheehy, J.; Rutledge, H.; Acharya, U.R.; Loh, H.W.; Gururajan, R.; Tao, X.; Zhou, X.; Li, Y.; Gurney, T.; Kondalsamy-Chennakesavan, S. Gynecological cancer prognosis using machine learning techniques: A systematic review of last three decades (1990–2022). Artif. Intell. Med. 2023, 139, 102536. [Google Scholar] [CrossRef]





| Overall | Training Set | Testing Set | p Value (Training) | Group < 10% EBV | Group > 10% EBV | p Value (Threshold 10% EBV) | ||
|---|---|---|---|---|---|---|---|---|
| Histo_cat 1 | 0 | 489 (87.32) | 394 (87.95) | 95 (84.82) | 0.465 | 264 (88.59) | 137 (87.82) | 0.929 |
| 1 | 71 (12.68) | 54 (12.05) | 17 (15.18) | 0.465 | 34 (11.41) | 19 (12.18) | 0.929 | |
| Grade_cat | 0 | 56 (10.0) | 46 (10.27) | 10 (8.93) | 0.805 | 20 (6.71) | 22 (14.1) | 0.016 |
| 1 | 504 (90.0) | 402 (89.73) | 102 (91.07) | 0.805 | 278 (93.29) | 134 (85.9) | 0.016 | |
| Figo_cat 2 | 0 | 406 (72.5) | 322 (71.88) | 84 (75.0) | 0.586 | 216 (72.48) | 113 (72.44) | 1 |
| 1 | 154 (27.5) | 126 (28.12) | 28 (25.0) | 0.586 | 82 (27.52) | 43 (27.56) | 1 | |
| PS (WHO) | 0 | 266 (47.5) | 205 (45.76) | 61 (54.46) | 0.099 | 137 (45.97) | 76 (48.72) | 0.048 |
| 1 | 208 (37.14) | 175 (39.06) | 33 (29.46) | 0.099 | 111 (37.25) | 65 (41.67) | 0.048 | |
| 2 | 67 (11.96) | 56 (12.5) | 11 (9.82) | 0.099 | 43 (14.43) | 9 (5.77) | 0.048 | |
| 3 | 17 (3.04) | 11 (2.46) | 6 (5.36) | 0.099 | 7 (2.35) | 5 (3.21) | 0.048 | |
| 4 | 2 (0.36) | 1 (0.22) | 1 (0.89) | 0.099 | 0 (0.0) | 1 (0.64) | 0.048 | |
| PDS = 0/ IDS = 1 | 0 | 172 (30.71) | 132 (29.46) | 40 (35.71) | 0.243 | 72 (24.16) | 61 (39.1) | 0.001 |
| 1 | 388 (69.29) | 316 (70.54) | 72 (64.29) | 0.243 | 226 (75.84) | 95 (60.9) | 0.001 | |
| RD_cat | 0 | 369 (65.89) | 294 (65.62) | 75 (66.96) | 0.168 | 209 (70.13) | 93 (59.62) | 0.051 |
| 1 | 130 (23.21) | 100 (22.32) | 30 (26.79) | 0.168 | 64 (21.48) | 41 (26.28) | 0.051 | |
| 2 | 61 (10.89) | 54 (12.05) | 7 (6.25) | 0.168 | 25 (8.39) | 22 (14.1) | 0.051 | |
| Ascites 3 | 0 | 414 (73.93) | 335 (74.78) | 79 (70.54) | 0.427 | 234 (78.52) | 103 (66.03) | 0.005 |
| 1 | 146 (26.07) | 113 (25.22) | 33 (29.46) | 0.427 | 64 (21.48) | 53 (33.97) | 0.005 | |
| Largest Bulk of Disease Location 4 | PA node | 1 (0.18) | 1 (0.22) | 0 (0.0) | 0.023 | 1 (0.34) | 0 (0.0) | 0.446 |
| POD | 1 (0.18) | 0 (0.0) | 1 (0.89) | 0.023 | 1 (0.34) | 0 (0.0) | 0.446 | |
| caecum | 1 (0.18) | 0 (0.0) | 1 (0.89) | 0.023 | 1 (0.34) | 0 (0.0) | 0.446 | |
| mesentery | 2 (0.36) | 2 (0.45) | 0 (0.0) | 0.023 | 0 (0.0) | 2 (1.28) | 0.446 | |
| omentum | 249 (44.46) | 204 (45.54) | 45 (40.18) | 0.023 | 138 (46.31) | 71 (45.51) | 0.446 | |
| ovary | 300 (53.57) | 238 (53.12) | 62 (55.36) | 0.023 | 154 (51.68) | 82 (52.56) | 0.446 | |
| peritoneum | 1 (0.18) | 1 (0.22) | 0 (0.0) | 0.023 | 0 (0.0) | 1 (0.64) | 0.446 | |
| rectum | 1 (0.18) | 0 (0.0) | 1 (0.89) | 0.023 | 1 (0.34) | 0 (0.0) | 0.446 | |
| sigmoid | 1 (0.18) | 0 (0.0) | 1 (0.89) | 0.023 | 0.446 | |||
| umbilicus | 1 (0.18) | 0 (0.0) | 1 (0.89) | 0.023 | 1 (0.34) | 0 (0.0) | 0.446 | |
| Age | 63.51 ± 11.22 | 63.23 ± 11.06 | 64.64 ± 11.82 | 0.252 | 63.53 ± 11.24 | 62.78 ± 11.27 | 0.502 | |
| Consultant age 5 | 49.13 ± 6.03 | 49.1 ± 6.07 | 49.25 ± 5.91 | 0.815 | 49.96 ± 6.09 | 48.43 ± 6.11 | 0.011 | |
| Years 6 | 9.65 ± 5.33 | 9.65 ± 5.36 | 9.68 ± 5.22 | 0.952 | 10.03 ± 5.31 | 9.29 ± 5.47 | 0.165 | |
| SCS 7 | 3.8 ± 2.11 | 3.82 ± 2.06 | 3.71 ± 2.31 | 0.648 | 3.34 ± 1.83 | 4.73 ± 2.51 | <0.001 | |
| Time procedure 8 | 170.39 ± 77.55 | 172.98 ± 76.53 | 160.04 ± 81.03 | 0.129 | 147.84 ± 55.24 | 215.1 ± 97.06 | <0.001 | |
| Pre Treatment CA125 | 1516.14 ± 2711.14 | 1582.85 ± 2769.98 | 1249.29 ± 2455.18 | 0.212 | 1689.69 ± 3189.63 | 1420.7 ± 2071.05 | 0.279 | |
| Pre Surgery CA125 | 410.46 ± 1175.43 | 411.43 ± 944.52 | 406.56 ± 1833.3 | 0.978 | 360.46 ± 1280.81 | 614.46 ± 1298.66 | 0.048 | |
| logCA125/ PCI | 0.41 ± 0.36 | 0.4 ± 0.35 | 0.42 ± 0.4 | 0.756 | 0.41 ± 0.35 | 0.4 ± 0.41 | 0.657 | |
| IMO score 9 | 4.92 ± 1.97 | 4.98 ± 1.99 | 4.7 ± 1.89 | 0.158 | 4.57 ± 1.86 | 5.6 ± 2.11 | <0.001 | |
| PCI | 7.37 ± 4.47 | 7.48 ± 4.51 | 6.92 ± 4.31 | 0.225 | 6.78 ± 4.08 | 8.79 ± 5.16 | <0.001 | |
| Largest Bulk (cm) | 8.89 ± 5.61 | 9.13 ± 5.69 | 7.96 ± 5.23 | 0.039 | 8.29 ± 5.64 | 9.98 ± 5.49 | 0.002 |
| Overall (n = 560) | CC0 (n = 368) | Non-CC0 (n = 192) | p-Value | ||
|---|---|---|---|---|---|
| Stoma Formation | 0 | 509 (90.89) | 334 (90.76) | 175 (91.15) | 1 |
| 1 | 51 (9.11) | 34 (9.24) | 17 (8.85) | 1 | |
| Bladder Peritonectomy | 0 | 358 (63.93) | 217 (58.97) | 141 (73.44) | 0.001 |
| 1 | 202 (36.07) | 151 (41.03) | 51 (26.56) | 0.001 | |
| Para-aortic node dissection | 0 | 381 (68.04) | 221 (60.05) | 160 (83.33) | <0.001 |
| 1 | 179 (31.96) | 147 (39.95) | 32 (16.67) | <0.001 | |
| Ileo-Caecal Resection/ Right Hemicolectomy | 0 | 539 (96.25) | 352 (95.65) | 187 (97.4) | 0.426 |
| 1 | 21 (3.75) | 16 (4.35) | 5 (2.6) | 0.426 | |
| Mesenteric Resection | 0 | 427 (76.25) | 269 (73.1) | 158 (82.29) | 0.02 |
| 1 | 133 (23.75) | 99 (26.9) | 34 (17.71) | 0.02 | |
| Upper Abdominal Peritonectomy | 0 | 481 (85.89) | 296 (80.43) | 185 (96.35) | <0.001 |
| 1 | 79 (14.11) | 72 (19.57) | 7 (3.65) | <0.001 | |
| Large Bowel Resection | 0 | 496 (88.57) | 323 (87.77) | 173 (90.1) | 0.494 |
| 1 | 64 (11.43) | 45 (12.23) | 19 (9.9) | 0.494 | |
| Pelvic node dissection | 0 | 414 (73.93) | 242 (65.76) | 172 (89.58) | <0.001 |
| 1 | 146 (26.07) | 126 (34.24) | 20 (10.42) | <0.001 |
Disclaimer/Publisher’s Note: The statements, opinions and data contained in all publications are solely those of the individual author(s) and contributor(s) and not of MDPI and/or the editor(s). MDPI and/or the editor(s) disclaim responsibility for any injury to people or property resulting from any ideas, methods, instructions or products referred to in the content. |
© 2023 by the authors. Licensee MDPI, Basel, Switzerland. This article is an open access article distributed under the terms and conditions of the Creative Commons Attribution (CC BY) license (https://creativecommons.org/licenses/by/4.0/).
Share and Cite
Laios, A.; Kalampokis, E.; Mamalis, M.-E.; Thangavelu, A.; Tan, Y.S.; Hutson, R.; Munot, S.; Broadhead, T.; Nugent, D.; Theophilou, G.; et al. Explaining the Elusive Nature of a Well-Defined Threshold for Blood Transfusion in Advanced Epithelial Ovarian Cancer Cytoreductive Surgery. Diagnostics 2024, 14, 94. https://doi.org/10.3390/diagnostics14010094
Laios A, Kalampokis E, Mamalis M-E, Thangavelu A, Tan YS, Hutson R, Munot S, Broadhead T, Nugent D, Theophilou G, et al. Explaining the Elusive Nature of a Well-Defined Threshold for Blood Transfusion in Advanced Epithelial Ovarian Cancer Cytoreductive Surgery. Diagnostics. 2024; 14(1):94. https://doi.org/10.3390/diagnostics14010094
Chicago/Turabian StyleLaios, Alexandros, Evangelos Kalampokis, Marios-Evangelos Mamalis, Amudha Thangavelu, Yong Sheng Tan, Richard Hutson, Sarika Munot, Tim Broadhead, David Nugent, Georgios Theophilou, and et al. 2024. "Explaining the Elusive Nature of a Well-Defined Threshold for Blood Transfusion in Advanced Epithelial Ovarian Cancer Cytoreductive Surgery" Diagnostics 14, no. 1: 94. https://doi.org/10.3390/diagnostics14010094
APA StyleLaios, A., Kalampokis, E., Mamalis, M.-E., Thangavelu, A., Tan, Y. S., Hutson, R., Munot, S., Broadhead, T., Nugent, D., Theophilou, G., Jackson, R.-E., & De Jong, D. (2024). Explaining the Elusive Nature of a Well-Defined Threshold for Blood Transfusion in Advanced Epithelial Ovarian Cancer Cytoreductive Surgery. Diagnostics, 14(1), 94. https://doi.org/10.3390/diagnostics14010094

