Prognostic Nutritional Index Correlates with Liver Function and Prognosis in Chronic Liver Disease Patients
Abstract
:1. Introduction
2. Patients and Methods
2.1. Patients
2.2. PNI and Our Analysis
2.3. Statistical Considerations
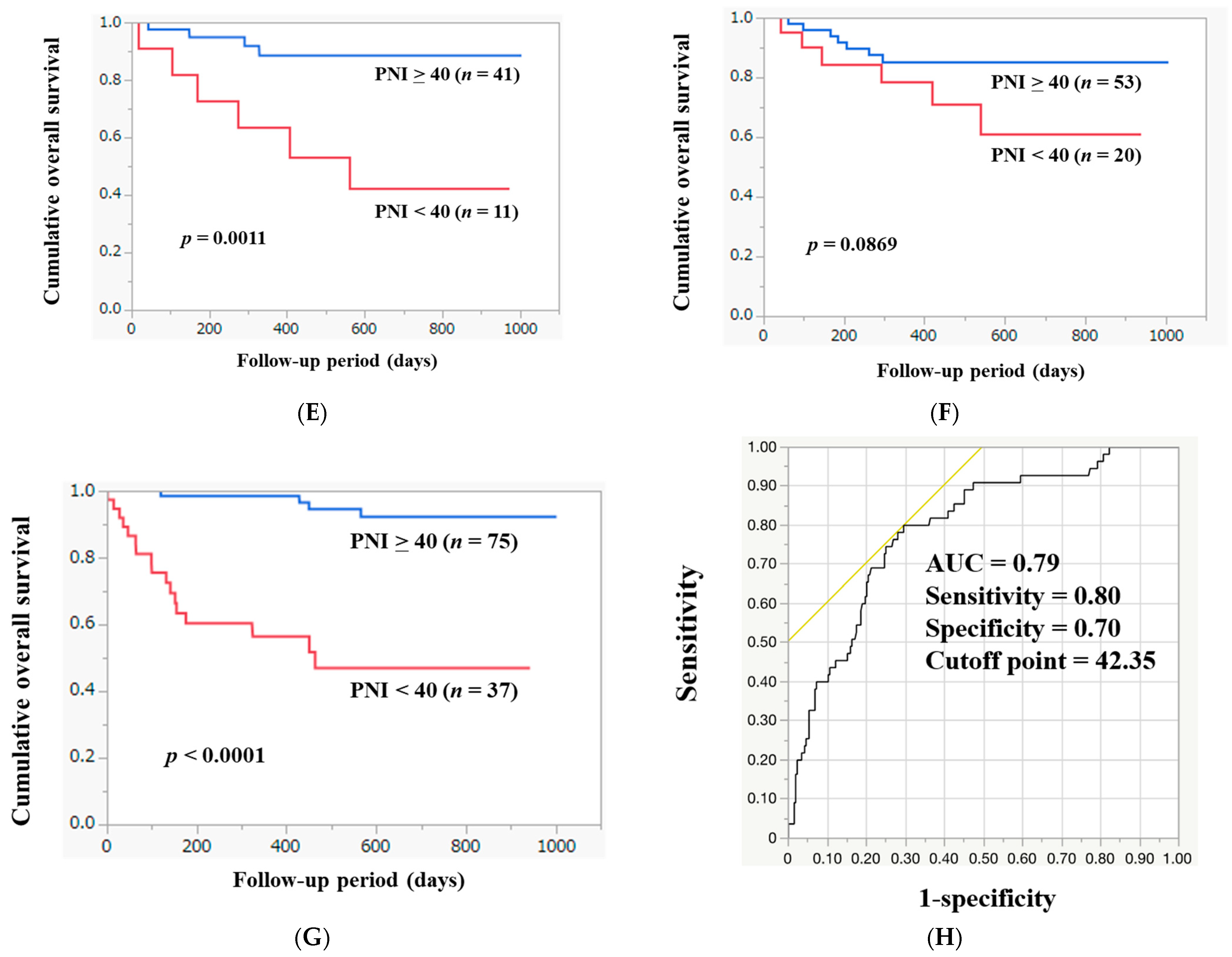
3. Results
3.1. Patient Baseline Characteristics
3.2. The Relevance in PNI and the ALBI Score
3.3. PNI According to ALBI Grade and mALBI Grade in All Cases
3.4. PNI According to ALBI Grade and mALBI Grade in HCC Cases
3.5. PNI According to ALBI Grade and mALBI Grade after Excluding HCC Cases
3.6. Patient Frequency with PNI < 40 According to ALBI Grade and mALBI Grade among All Cases
3.7. Patient Frequency with PNI < 40 According to ALBI Grade and mALBI Grade among HCC Cases
3.8. Patient Frequency with PNI < 40 According to ALBI Grade and mALBI Grade after Excluding HCC Cases
3.9. Uni- and Multivariate Analyses of Covariates Associated with PNI < 40
3.10. ROC Analysis
3.11. Cumulative OS Rate Stratified by Baseline PNI
3.12. ROC Analysis Based on Death or Survival for PNI
4. Discussion
5. Conclusions
Author Contributions
Funding
Institutional Review Board Statement
Informed Consent Statement
Data Availability Statement
Acknowledgments
Conflicts of Interest
Abbreviations
| CLD | chronic liver disease | 
| PEM | protein–energy malnutrition | 
| OMPU | Osaka Medical and Pharmaceutical University | 
| IQR | interquartile range | 
| PNI | Prognostic Nutrition Index | 
| ALBI | albumin–bilirubin | 
| mALBI | modified ALBI | 
| ROC | receiver operating characteristic | 
| OS | overall survival | 
| HCC | hepatocellular carcinoma | 
| AUC | area under the ROC curve | 
| HBV | hepatitis B virus | 
| HCV | hepatitis C virus | 
| MASLD | metabolic-dysfunction-associated steatotic liver disease | 
| SGA | subjective global assessment | 
References
- Phillips, W.; Doley, J.; Boi, K. Malnutrition definitions in clinical practice: To be E43 or not to be? Health Inf. Manag. 2020, 49, 74–79. [Google Scholar] [CrossRef] [PubMed]
- Siddiqui, A.T.S.; Parkash, O.; Hashmi, S.A. Malnutrition and liver disease in a developing country. World J. Gastroenterol. 2021, 27, 4985–4998. [Google Scholar] [CrossRef] [PubMed]
- Shaw, C. Management of diet in gastrointestinal cancer. Proc. Nutr. Soc. 2021, 80, 65–72. [Google Scholar] [CrossRef] [PubMed]
- Matsui, M.; Nishikawa, H.; Goto, M.; Asai, A.; Ushiro, K.; Ogura, T.; Takeuchi, T.; Nakamura, S.; Kakimoto, K.; Miyazaki, T.; et al. Prognostic Impact of the SARC-F Score in Gastrointestinal Advanced Cancers. Cancers 2022, 14, 10. [Google Scholar] [CrossRef] [PubMed]
- Ikegami, T.; Nishikawa, H.; Goto, M.; Matsui, M.; Asai, A.; Ushiro, K.; Ogura, T.; Takeuchi, T.; Nakamura, S.; Kakimoto, K.; et al. The Relationship between the SARC-F Score and the Controlling Nutritional Status Score in Gastrointestinal Diseases. J. Clin. Med. 2022, 11, 582. [Google Scholar] [CrossRef] [PubMed]
- Ushiro, K.; Nishikawa, H.; Matsui, M.; Ogura, T.; Takeuchi, T.; Goto, M.; Nakamura, S.; Kakimoto, K.; Miyazaki, T.; Fukunishi, S.; et al. Comparison of SARC-F Score among Gastrointestinal Diseases. J. Clin. Med. 2021, 10, 4099. [Google Scholar] [CrossRef] [PubMed]
- Asaishi, K.; Matsui, M.; Nishikawa, H.; Goto, M.; Asai, A.; Ushiro, K.; Ogura, T.; Takeuchi, T.; Nakamura, S.; Kakimoto, K.; et al. Grip Strength in Patients with Gastrointestinal Diseases. J. Clin. Med. 2022, 11, 2079. [Google Scholar] [CrossRef] [PubMed]
- Cheung, K.; Lee, S.S.; Raman, M. Prevalence and Mechanisms of Malnutrition in Patients with Advanced Liver Disease, and Nutrition Management Strategies. Clin. Gastroenterol. Hepatol. 2012, 10, 117–125. [Google Scholar] [CrossRef]
- Shergill, R.; Syed, W.; Rizvi, S.A.; Singh, I. Nutritional Support in Chronic Liver Disease and Cirrhotics. World J. Hepatol. 2018, 10, 685–694. [Google Scholar] [CrossRef]
- Dominika, J.M.; Anna, G.; Karolina, K.S.; Joanna, H.Z.; Dominika, M.M.; Katarzyna, J.M.; Ewa, S. Nutritional Support for Liver Diseases. Nutrients 2023, 15, 3640. [Google Scholar]
- Nishikawa, H.; Yoh, K.; Enomoto, H.; Iwata, Y.; Kishino, K.; Shimono, Y.; Hasegawa, K.; Nakano, C.; Takata, R.; Nishimura, T.; et al. Factors Associated With Protein-energy Malnutrition in Chronic Liver Disease. Medicine 2016, 95, e2442. [Google Scholar] [CrossRef] [PubMed]
- Moriwaki, H.; Miwa, Y.; Tajika, M.; Kato, M.; Fukushima, H.; Shiraki, M. Branched-chain amino acids as a protein- and energy-source in liver cirrhosis. Biochem. Biophys. Res. Commun. 2004, 313, 405–409. [Google Scholar] [CrossRef] [PubMed]
- Hanai, T.; Shiraki, M.; Nishimura, K.; Ohnishi, S.; Imai, K.; Suetsugu, A.; Takai, K.; Shimizu, M.; Moriwaki, H. Sarcopenia impairs prognosis of patients with liver cirrhosis. Nutrition 2015, 31, 193–199. [Google Scholar] [CrossRef] [PubMed]
- Alvares-da-Silva, M.R.; Reverbel-da, S.T. Comparison between handgrip strength, subjective global assessment, and prognostic nutritional index in assessing malnutrition and predicting clinical outcome in cirrhotic outpatients. Nutrition 2005, 21, 113–117. [Google Scholar] [CrossRef] [PubMed]
- Buzby, G.P.; Mullen, J.L.; Matthews, D.C.; Hobbs, C.L.; Rosato, E.F. Prognostic nutritional index in gastrointestinal surgery. Am. J. Surg. 1980, 139, 160–167. [Google Scholar] [CrossRef]
- Onodera, T.; Goseki, N.; Kosaki, G. Prognostic nutritional index in gastrointestinal surgery of malnourished cancer patients. Nihon Geka Gakkai Zasshi 1984, 85, 1001–1005. [Google Scholar] [PubMed]
- Nozoe, T.; Kimura, Y.; Ishida, M.; Saeki, H.; Korenaga, D.; Sugimachi, K. Correlation of pre-operative nutritional condition with post-operative complications in surgical treatment for esophageal carcinoma. Eur. J. Surg. Oncol. 2002, 28, 396–400. [Google Scholar] [CrossRef] [PubMed]
- Nozoe, T.; Kohno, M.; Iguchi, T.; Mori, E.; Maeda, T.; Matsukuma, A.; Ezaki, T. The prognostic nutritional index can be a prognostic indicator in colorectal carcinoma. Surg. Today 2012, 42, 532–535. [Google Scholar] [CrossRef]
- Watanabe, M.; Iwatsuki, M.; Iwagami, S.; Ishimoto, T.; Baba, Y.; Baba, H. Prognostic nutritional index predicts outcomes of gastrectomy in the elderly. World J. Surg. 2012, 36, 1632–1639. [Google Scholar] [CrossRef]
- Pinato, D.J.; North, B.V.; Sharma, R. A novel, externally validated inflammation-based prognostic algorithm in hepatocellular carcinoma: The prognostic nutritional index (PNI). Br J Cancer. Br. J. Cancer 2012, 106, 1439–1445. [Google Scholar] [CrossRef]
- Johnson, P.J.; Berhane, S.; Kagebayashi, C.; Satomura, S.; Teng, M.; Reeves, H.L.; O’Beirne, J.; Fox, R.; Skowron-ska, A.; Palmer, D.; et al. Assessment of liver function in patients with hepatocellular carcinoma: A new evidence-based approach-the ALBI grade. J. Clin. Oncol. 2015, 33, 550–558. [Google Scholar] [CrossRef] [PubMed]
- Zhong, C.R.; Qiu, J.L.; Yuan, Y.C.; Qiu, Z.Y.; Li, K.; Wang, C.W.; Shi, Y.X.; Li, K.R.; Lin, Z.; Huang, Z.K.; et al. A detailed assessment of liver function in patients with hepatocellular carcinoma via the modified albumin-bilirubin (mALBI) grade. Am. J. Cancer Res. 2022, 12, 2711–2720. [Google Scholar] [PubMed]
- Jensen, G.L.; Mirtallo, J.; Compher, C.; Dhaliwal, R.; Forbes, A.; Grijalba, R.F.; Hardy, G.; Kondrup, J.; Labadarios, D.; Nyulasi, I.; et al. Adult starvation and disease-related malnutrition: A proposal for etiology-based diagnosis in the clinical practice setting from the International Consensus Guideline Committee. JPEN J. Parenter. Enter. Nutr. 2010, 34, 156–159. [Google Scholar] [CrossRef] [PubMed]
- Merli, M.; Riggio, O.; Dally, L. Does malnutrition affect survival in cirrhosis? Hepatology 1996, 23, 1041–1046. [Google Scholar] [CrossRef] [PubMed]
- Tsiaousi, E.T.; Hatzitolios, A.I.; Trygonis, S.K.; Savopoulos, C.G. Malnutrition in end stage liver disease: Recommendation and nutritional support. J. Gastroenterol. Hepatol. 2008, 23, 527–533. [Google Scholar] [CrossRef] [PubMed]
- Hirsch, S.; de la Maza, M.P.; Gattás, V.; Barrera, G.; Petermann, M.; Gotteland, M.; Muñoz, C.; Lopez, M.; Bunout, D. Nutritional support in alcoholic cirrhotic patients improves host defenses. J. Am. Coll. Nutr. 1999, 18, 434–441. [Google Scholar] [CrossRef] [PubMed]
- Neil D Shah, N.D.; Barritt, A.S., 4th. Nutrition as Therapy in Liver Disease. Clin. Ther. 2022, 44, 682–696. [Google Scholar] [CrossRef] [PubMed]
- Plauth, M.; Cabré, E.; Riggio, O.; Assis-Camilo, M.; Pirlich, M.; Kondrup, J.; Ferenci, P.; Holm, E.; Dahl, S.V.; Müller, M.J.; et al. European Society for Parenteral and Enteral Nutrition guidelines on enteral nutrition: Liver disease. Clin. Nutr. 2006, 25, 285–294. [Google Scholar] [CrossRef]
- Figueiredo, F.A.; Perez, R.M.; Freitas, M.M.; Kondo, M. Comparison of three methods of nutritional assessment in liver cirrhosis: Subjective global assessment, traditional nutritional parameters, and body composition analysis. J. Gastroenterol. 2006, 41, 476–482. [Google Scholar] [CrossRef]
- Taniguchi, E.; Kawaguchi, T.; Itou, M.; Oriishi, T.; Ibi, R.; Torii, M.; Yoshida, K.; Adachi, Y.; Otsuka, M.; Uchida, Y.; et al. Subjective global assessment is not sufficient to screen patients with defective hepatic metabolism. Nutrition 2011, 27, 282–286. [Google Scholar] [CrossRef]
- Xie, Y.; He, C.; Wang, W. Prognostic nutritional index: A potential biomarker for predicting the prognosis of decompensated liver cirrhosis. Front. Nutr. 2022, 9, 1092059. [Google Scholar] [CrossRef] [PubMed]
- Lonardo, M.S.; Cacciapuoti, N.; Chiurazzi, M.; Lauro, M.D.; Guida, B.; Damiano, S.; Cataldi, M. Combined use of handgrip strength and hemoglobin as markers of undernutrition in patients with stage 3–5 chronic kidney disease. Nutr. Metab. 2023, 33, 2169–2178. [Google Scholar] [CrossRef] [PubMed]
- Bianchi, V.E. Role of nutrition on anemia in elderly. Clin. Nutr. ESPEN 2016, 11, e1–e11. [Google Scholar] [CrossRef] [PubMed]
- van Dijk, A.M.; Coppens, B.J.P.; van Beers, M.A.; Bruins Slot, A.S.; Verstraete, C.J.R.; de Bruijne, J.; Vleggaar, F.P.; van Erpecum, K.J. Nutritional status in patients with hepatocellular carcinoma: Potential relevance for clinical outcome. Eur. J. Intern. Med. 2022, 104, 80–88. [Google Scholar] [CrossRef] [PubMed]
- Chang, K.V.; Chen, J.D.; Wu, W.T.; Huang, K.C.; Hsu, C.T.; Han, D.S. Association between loss of skeletal muscle mass and mortality and tumor recurrence in hepatocellular carcinoma: A systematic review and meta-analysis. Liver Cancer 2018, 7, 90–103. [Google Scholar] [CrossRef]
- Badran, H.; Elsabaawy, M.M.; Ragab, A.; Aly, R.A.; Alsebaey, A.; Sabry, A. Baseline sarcopenia is associated with lack of response to therapy, liver decompensation and high mortality in hepatocellular carcinoma patients. Asian Pac. J. Cancer Prev. 2020, 21, 3285–3290. [Google Scholar] [CrossRef]
- Zhang, G.; Meng, S.; Li, R.; Ye, J.; Zhao, L. Clinical significance of sarcopenia in the treatment of patients with primary hepatic malignancies, a systematic review and meta-analysis. Oncotarget 2017, 60, 102474–102485. [Google Scholar] [CrossRef]








| Number or Median (IQR) | |
|---|---|
| Age (years) | 71.0 (63.0, 78.0) | 
| Gender, male/female | 183/136 | 
| Etiology (Alcohol/HBV/HCV/MASLD/Others) | (39/52/73/112/43) | 
| Cirrhosis, yes/no | 256/63 | 
| BMI (kg/m2) | 22.9 (20.8, 25.6) | 
| Hb (g/dL) | 12.8 (11.5, 14.1) | 
| Serum albumin (g/dL) | 3.8 (3.3, 4.1) | 
| CRP (mg/dL) | 0.18 (0.06, 0.69) | 
| PT (%) | 86 (74.0, 97.8) | 
| Total lymphocyte count (/μL) | 1259 (861, 1688) | 
| ALT (IU/L) | 27 (18.0, 55.0) | 
| White blood cells (/μL) | 5400 (4150, 6510) | 
| Platelet count (×104/mm3) | 15.5 (11.1, 22.0) | 
| eGFR (mL/min/1.73 m2) | 65 (51.0, 80.0) | 
| PNI | 44.2 (38.7, 48.8) | 
| PNI < 40, yes/no | 94/225 | 
| Presence of HCC, yes/no | 153/166 | 
| Total bilirubin (mg/dL) | 0.8 (0.5, 1.2) | 
| ALBI score | −2.48 (−2.76, −2.05) | 
| ALBI grade, 1/2/3 | 122/176/21 | 
| Modified ALBI grade, 1/2a/2b/3 | 122/79/97/21 | 
| Child–Pugh score | 6 (5, 7) | 
| Child–Pugh classification (cirrhosis), A/B/C | 171/77/8 | 
| PNI ≥ 40 (n = 225) | PNI < 40 (n = 94) | p Value | |
|---|---|---|---|
| Age (year) | 70.0 (61.0, 78.0) | 73.0 (68.0, 79.0) | 0.0107 | 
| Gender (male/female) | 122/103 | 61/33 | 0.0771 | 
| BMI (kg/m2) | 22.81 (20.74, 25.54) | 23.34 (20.92, 25.88) | 0.3777 | 
| Hb (g/dL) | 13.3 (12.2, 14.35) | 11.5 (9.775, 12.6) | <0.0001 | 
| White blood cells (μL) | 5480 (4345, 6495) | 4960 (3797.5, 6655) | 0.1399 | 
| CRP (mg/dL) | 0.11 (0.04, 0.32) | 0.775 (0.2275, 2.3025) | <0.0001 | 
| PT (%) | 88 (78, 100) | 79 (63, 91) | <0.0001 | 
| Platelet count (×104/mm3) | 160.0 (122.0, 228.5) | 130.0 (86.5, 188.0) | 0.0002 | 
| eGFR (mL/min/1.73 m2) | 68.0 (55.0, 80.0) | 54.0 (38.5, 73.0) | <0.0001 | 
| Presence of HCC, yes/no | 97/128 | 56/38 | 0.0072 | 
| ALBI score | −2.62 (−2.87, −2.43) | −1.725 (−2.035, −1.4625) | <0.0001 | 
| Covariates | Multivariate Analysis | ||
|---|---|---|---|
| OR | 95% CI | p Value | |
| Age (per one year) | 0.9932 | 0.9440–1.0451 | 0.7939 | 
| Gender (female) | 2.8728 | 0.9822–8.4024 | 0.0550 | 
| BMI (per 1 kg/m2) | 0.9961 | 0.8797–1.1278 | 0.9503 | 
| Hb (per 1 g/dL) | 0.5977 | 0.4332–0.8248 | 0.0017 | 
| White blood cell (μL) | 1.0000 | 0.9998–1.0002 | 0.8573 | 
| CRP (per 1 mg/dL) | 1.2443 | 0.9528–1.6250 | 0.1085 | 
| PT (per 1%) | 1.0133 | 0.9830–1.0445 | 0.3935 | 
| Platelet count (per 1 × 104/mm3) | 0.9958 | 0.9890–1.0027 | 0.2343 | 
| eGFR (per 1 mL/min/1.73 m2) | 0.9778 | 0.9557–1.0003 | 0.0537 | 
| Presence of HCC | 3.4805 | 1.0420–11.625 | 0.0426 | 
| ALBI score (per one) | 903.74 | 133.34–6125.4 | <0.0001 | 
| PNI < 40 | AUC | Sensitivity (%) | Specificity (%) | Cutoff Point | 
|---|---|---|---|---|
| Hb | 0.76 | 71.3 | 68.9 | 12.4 | 
| ALBI score | 0.96 | 95.7 | 84.0 | −2.34 | 
| Disclaimer/Publisher’s Note: The statements, opinions and data contained in all publications are solely those of the individual author(s) and contributor(s) and not of MDPI and/or the editor(s). MDPI and/or the editor(s) disclaim responsibility for any injury to people or property resulting from any ideas, methods, instructions or products referred to in the content. | 
© 2023 by the authors. Licensee MDPI, Basel, Switzerland. This article is an open access article distributed under the terms and conditions of the Creative Commons Attribution (CC BY) license (https://creativecommons.org/licenses/by/4.0/).
Share and Cite
Matsui, M.; Asai, A.; Ushiro, K.; Onishi, S.; Nishikawa, T.; Ohama, H.; Tsuchimoto, Y.; Kim, S.K.; Nishikawa, H. Prognostic Nutritional Index Correlates with Liver Function and Prognosis in Chronic Liver Disease Patients. Diagnostics 2024, 14, 49. https://doi.org/10.3390/diagnostics14010049
Matsui M, Asai A, Ushiro K, Onishi S, Nishikawa T, Ohama H, Tsuchimoto Y, Kim SK, Nishikawa H. Prognostic Nutritional Index Correlates with Liver Function and Prognosis in Chronic Liver Disease Patients. Diagnostics. 2024; 14(1):49. https://doi.org/10.3390/diagnostics14010049
Chicago/Turabian StyleMatsui, Masahiro, Akira Asai, Kosuke Ushiro, Saori Onishi, Tomohiro Nishikawa, Hideko Ohama, Yusuke Tsuchimoto, Soo Ki Kim, and Hiroki Nishikawa. 2024. "Prognostic Nutritional Index Correlates with Liver Function and Prognosis in Chronic Liver Disease Patients" Diagnostics 14, no. 1: 49. https://doi.org/10.3390/diagnostics14010049
APA StyleMatsui, M., Asai, A., Ushiro, K., Onishi, S., Nishikawa, T., Ohama, H., Tsuchimoto, Y., Kim, S. K., & Nishikawa, H. (2024). Prognostic Nutritional Index Correlates with Liver Function and Prognosis in Chronic Liver Disease Patients. Diagnostics, 14(1), 49. https://doi.org/10.3390/diagnostics14010049
 
        


 
       