Incidence of Air Leaks in Critically Ill Patients with Acute Hypoxemic Respiratory Failure Due to COVID-19
Abstract
1. Introduction
2. Materials and Methods
2.1. Study Design, Ethical Approval and Patients
2.2. Collected Data
2.3. Re-Assessment of Chest Images
2.4. Endpoints
2.5. Sample Size
2.6. Statistical Analysis
3. Results
3.1. Patients
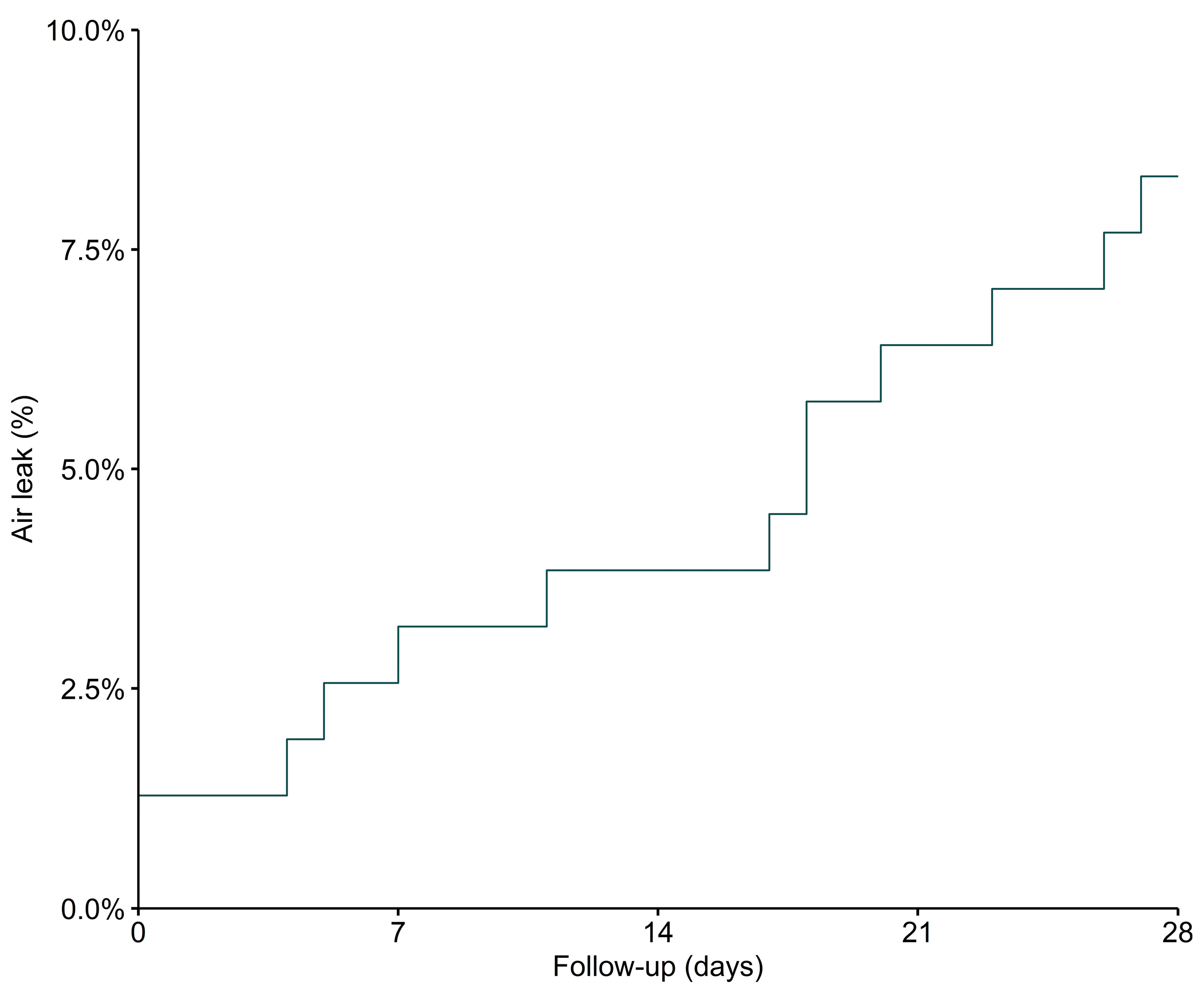
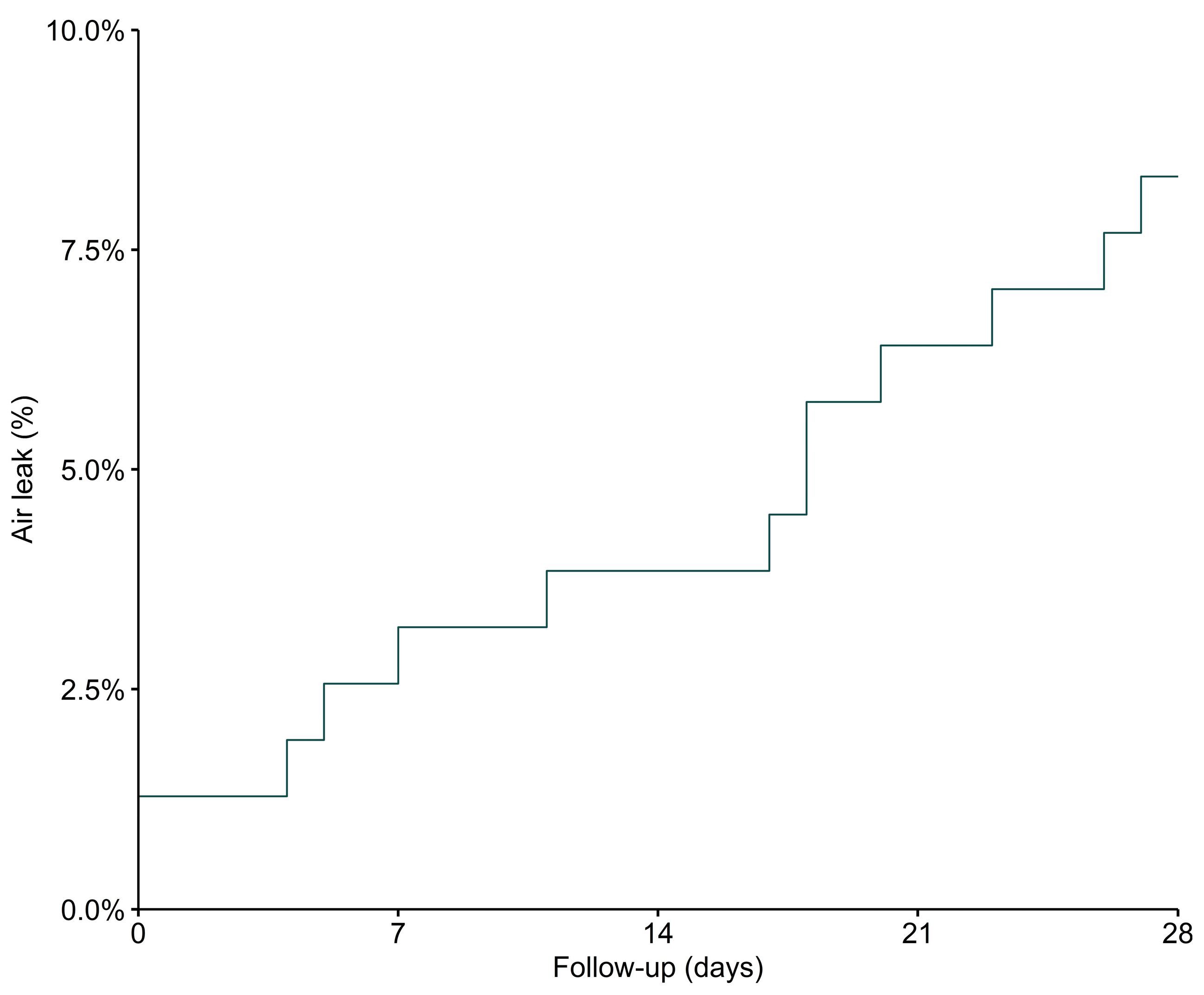
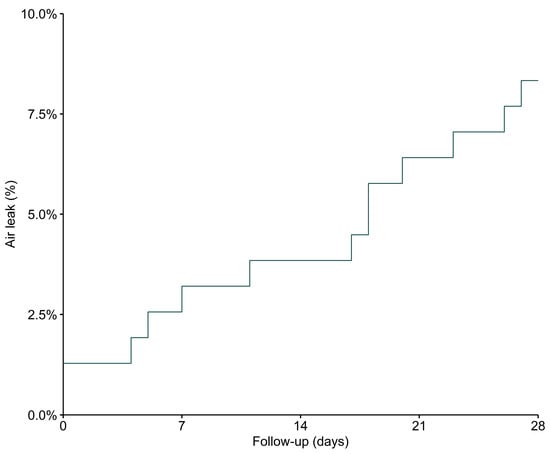
3.2. Incidence, Timing and Treatment of Air Leaks
3.3. Follow-Up
4. Discussion
5. Conclusions
Supplementary Materials
Author Contributions
Funding
Institutional Review Board Statement
Informed Consent Statement
Data Availability Statement
Acknowledgments
Conflicts of Interest
References
- de Lassence, A.; Timsit, J.F.; Tafflet, M.; Azoulay, E.; Jamali, S.; Vincent, F.; Cohen, Y.; Garrouste-Orgeas, M.; Alberti, C.; Dreyfuss, D.; et al. Pneumothorax in the intensive care unit: Incidence, risk factors, and outcome. Anesthesiology 2006, 104, 5–13. [Google Scholar] [CrossRef] [PubMed]
- Ablordeppey, E.A.; Huang, W.; Holley, I.; Willman, M.; Griffey, R.; Theodoro, D.L. Clinical Practices in Central Venous Catheter Mechanical Adverse Events. J. Intensive Care Med. 2022, 37, 1215–1222. [Google Scholar] [CrossRef] [PubMed]
- Eisner, M.D.; Thompson, B.T.; Schoenfeld, D.; Anzueto, A.; Matthay, M.A.; the Acute Respiratory Distress Syndrome Network. Airway pressures and early barotrauma in patients with acute lung injury and acute respiratory distress syndrome. Am. J. Respir. Crit. Care Med. 2002, 165, 978–982. [Google Scholar] [CrossRef] [PubMed]
- Hallifax, R.J.; Goldacre, R.; Landray, M.J.; Rahman, N.M.; Goldacre, M.J. Trends in the Incidence and Recurrence of Inpatient-Treated Spontaneous Pneumothorax, 1968–2016. JAMA 2018, 320, 1471–1480. [Google Scholar] [CrossRef]
- Guerin, C.; Reignier, J.; Richard, J.C.; Beuret, P.; Gacouin, A.; Boulain, T.; Mercier, E.; Badet, M.; Mercat, A.; Baudin, O.; et al. Prone positioning in severe acute respiratory distress syndrome. N. Engl. J. Med. 2013, 368, 2159–2168. [Google Scholar] [CrossRef]
- Villar, J.; Ferrando, C.; Martinez, D.; Ambros, A.; Munoz, T.; Soler, J.A.; Aguilar, G.; Alba, F.; Gonzalez-Higueras, E.; Conesa, L.A.; et al. Dexamethasone treatment for the acute respiratory distress syndrome: A multicentre, randomised controlled trial. Lancet Respir. Med. 2020, 8, 267–276. [Google Scholar] [CrossRef]
- Moss, M.; Huang, D.T.; Brower, R.G.; Ferguson, N.D.; Ginde, A.A.; Gong, M.N.; Grissom, C.K.; Gundel, S.; Hayden, D.; Hite, R.D.; et al. Early Neuromuscular Blockade in the Acute Respiratory Distress Syndrome. N. Engl. J. Med. 2019, 380, 1997–2008. [Google Scholar] [CrossRef]
- Writing Group for the Alveolar Recruitment for Acute Respiratory Distress Syndrome Trial (ART) Investigators. Effect of Lung Recruitment and Titrated Positive End-Expiratory Pressure (PEEP) vs Low PEEP on Mortality in Patients With Acute Respiratory Distress Syndrome: A Randomized Clinical Trial. JAMA 2017, 318, 1335–1345. [Google Scholar] [CrossRef]
- Shrestha, D.B.; Sedhai, Y.R.; Budhathoki, P.; Adhikari, A.; Pokharel, N.; Dhakal, R.; Kafle, S.; Yadullahi Mir, W.A.; Acharya, R.; Kashiouris, M.G.; et al. Pulmonary barotrauma in COVID-19: A systematic review and meta-analysis. Ann. Med. Surg. 2022, 73, 103221. [Google Scholar] [CrossRef]
- Wali, A.; Rizzo, V.; Bille, A.; Routledge, T.; Chambers, A.J. Pneumomediastinum following intubation in COVID-19 patients: A case series. Anaesthesia 2020, 75, 1076–1081. [Google Scholar] [CrossRef]
- Lemmers, D.H.L.; Abu Hilal, M.; Bnà, C.; Prezioso, C.; Cavallo, E.; Nencini, N.; Crisci, S.; Fusina, F.; Natalini, G. Pneumomediastinum and subcutaneous emphysema in COVID-19: Barotrauma or lung frailty? ERJ Open Res. 2020, 6, 00385–2020. [Google Scholar] [CrossRef] [PubMed]
- Belletti, A.; Todaro, G.; Valsecchi, G.; Losiggio, R.; Palumbo, D.; Landoni, G.; Zangrillo, A. Barotrauma in Coronavirus Disease 2019 Patients Undergoing Invasive Mechanical Ventilation: A Systematic Literature Review. Crit. Care Med. 2022, 50, 491–500. [Google Scholar] [CrossRef]
- McGuinness, G.; Zhan, C.; Rosenberg, N.; Azour, L.; Wickstrom, M.; Mason, D.M.; Thomas, K.M.; Moore, W.H. Increased Incidence of Barotrauma in Patients with COVID-19 on Invasive Mechanical Ventilation. Radiology 2020, 297, E252–E262. [Google Scholar] [CrossRef]
- Botta, M.; Tsonas, A.M.; Pillay, J.; Boers, L.S.; Algera, A.G.; Bos, L.D.J.; Dongelmans, D.A.; Hollmann, M.W.; Horn, J.; Vlaar, A.P.J.; et al. Ventilation management and clinical outcomes in invasively ventilated patients with COVID-19 (PRoVENT-COVID): A national, multicentre, observational cohort study. Lancet Respir. Med. 2021, 9, 139–148. [Google Scholar] [CrossRef]
- Valk, C.M.A.; Swart, P.; Boers, L.S.; Botta, M.; Bos, L.D.J.; de Abreu, M.G.; Hol, L.; Hollmann, M.W.; Horn, J.; Martin-Loeches, I.; et al. Practice of adjunctive treatments in critically ill COVID-19 patients-rational for the multicenter observational PRoAcT-COVID study in The Netherlands. Ann. Transl. Med. 2021, 9, 813. [Google Scholar] [CrossRef]
- Elsaaran, H.; AlQinai, S.; AlTarrah, D.; Abdulrasoul, M.; Al-Youha, S.; Almazeedi, S.; Al-Haddad, M.; Jamal, M.H.; Al-Sabah, S. Prevalence and risk factors of barotrauma in Covid-19 patients admitted to an intensive care unit in Kuwait; a retrospective cohort study. Ann. Med. Surg. 2021, 63, 102141. [Google Scholar] [CrossRef]
- Jones, E.; Gould, A.; Pillay, T.D.; Khorasanee, R.; Sykes, R.; Bazo-Alvarez, J.C.; Cox, C.; Shurovi, B.; Isted, A.; Simpson, T.; et al. Subcutaneous Emphysema, Pneumomediastinum, and Pneumothorax in Critically Ill Patients With Coronavirus Disease 2019: A Retrospective Cohort Study. Crit. Care Explor. 2020, 2, e0210. [Google Scholar] [CrossRef]
- Kahn, M.R.; Watson, R.L.; Thetford, J.T.; Wong, J.I.; Kamangar, N. High Incidence of Barotrauma in Patients With Severe Coronavirus Disease 2019. J. Intensive Care Med. 2021, 36, 646–654. [Google Scholar] [CrossRef]
- Belletti, A.; Palumbo, D.; Zangrillo, A.; Fominskiy, E.V.; Franchini, S.; Dell’Acqua, A.; Marinosci, A.; Monti, G.; Vitali, G.; Colombo, S.; et al. Predictors of Pneumothorax/Pneumomediastinum in Mechanically Ventilated COVID-19 Patients. J. Cardiothorac. Vasc. Anesth. 2021, 35, 3642–3651. [Google Scholar] [CrossRef]
- Özdemir, S.; Bilgi, D.; Köse, S.; Oya, G. Pneumothorax in patients with coronavirus disease 2019 pneumonia with invasive mechanical ventilation. Interact. Cardiovasc. Thorac. Surg. 2021, 32, 351–355. [Google Scholar] [CrossRef]
- Swain, S.K.; Behera, I.C.; Das, S.R. Incidence of subcutaneous emphysema in the head, neck and thoracic region of intubated COVID-19 patients: Our experiences. Int. J. Curr. Res. Rev. 2021, 13, 19–24. [Google Scholar] [CrossRef]
- Rajdev, K.; Spanel, A.J.; McMillan, S.; Lahan, S.; Boer, B.; Birge, J.; Thi, M. Pulmonary Barotrauma in COVID-19 Patients With ARDS on Invasive and Non-Invasive Positive Pressure Ventilation. J. Intensive Care Med. 2021, 36, 1013–1017. [Google Scholar] [CrossRef] [PubMed]
- Guven, B.B.; Erturk, T.; Kompe, Ö.; Ersoy, A. Serious complications in COVID-19 ARDS cases: Pneumothorax, pneumomediastinum, subcutaneous emphysema and haemothorax. Epidemiol. Infect. 2021, 149, e137. [Google Scholar] [CrossRef]
- Anzueto, A.; Frutos-Vivar, F.; Esteban, A.; Alía, I.; Brochard, L.; Stewart, T.; Benito, S.; Tobin, M.J.; Elizalde, J.; Palizas, F.; et al. Incidence, risk factors and outcome of barotrauma in mechanically ventilated patients. Intensive Care Med. 2004, 30, 612–619. [Google Scholar] [CrossRef]
- Brower, R.G.; Matthay, M.A.; Morris, A.; Schoenfeld, D.; Thompson, B.T.; Wheeler, A. Ventilation with lower tidal volumes as compared with traditional tidal volumes for acute lung injury and the acute respiratory distress syndrome. N. Engl. J. Med. 2000, 342, 1301–1308. [Google Scholar] [CrossRef]
- Slutsky, A.S.; Ranieri, V.M. Ventilator-induced lung injury. N. Engl. J. Med. 2013, 369, 2126–2136. [Google Scholar] [CrossRef]
- Gattinoni, L.; Bombino, M.; Pelosi, P.; Lissoni, A.; Pesenti, A.; Fumagalli, R.; Tagliabue, M. Lung structure and function in different stages of severe adult respiratory distress syndrome. JAMA 1994, 271, 1772–1779. [Google Scholar] [CrossRef]



|
Patients with Air Leak (N = 13) |
Patients without Air Leak (N = 143) | p | |
|---|---|---|---|
| Age, years | 63.0 [56.0–72.0] | 62.0 [55.0–70.5] | 0.92 |
| Sex, male | 11/13 (84.6) | 103/143 (72.0) | 0.52 |
| BMI, kg/m2 | 26.9 [23.1–29.4] | 28.7 [25.4–32.3] | 0.22 |
| SOFA score | 6.0 [5.0–8.0] | 6.0 [5.0–8.0] | 0.92 |
| Medical history, n/N (%) | |||
| COPD | 1/13 (7.7) | 11/143 (7.7) | 1.00 |
| Asthma | 1/13 (7.7) | 13/143 (9.1) | 1.00 |
| Lung emphysema | 0/13 (0.0) | 3/143 (2.1) | 1.00 |
| Interstitial lung disease | 0/13 (0.0) | 1/143 (0.7) | 1.00 |
| Active smoker | 1/6 (16.7) | 4/77 (5.2) | 0.81 |
| History of smoking | 3/5 (60.0) | 33/74 (44.6) | 0.84 |
| Previous pneumothorax | 0/13 (0.0) | 0/143 (0.0) | |
| Home medication, n/N (%) | |||
| Ace inhibitors | 2/12 (16.7) | 22/115 (19.1) | 1.00 |
| Angiotensin receptor blocker | 1/12 (8.3) | 15/115 (13.0) | 1.00 |
| Ventilatory support | |||
| with invasive ventilation, n/N (%) | 13/13 (100.0) | 133/143 (93.0) | 0.69 |
| FiO2, % | 80.0 [65.0–90.0] | 60.0 [45.0–75.0] | 0.02 |
| VT mL/kg PBW | 5.6 [5.4–6.9] | 6.4 [5.4–7.1] | 0.37 |
| PEEP, cm H2O | 10.0 [10.0-10.0] | 10.0 [10.0–12.0] | 0.12 |
| Pmax, cm H2O | 27.0 [21.1–27.0] | 26.0 [23.0–31.0] | 0.61 |
| CRS, mL/cmH2O | 26.2 [22.9–32.6] | 26.7 [19.6–32.9] | 0.56 |
| Prone positioning | 12/13 (92.3) | 120/133 (90.2) | 1.00 |
| with high flow nasal oxygen | 0.0 (0.0) | 10/143 (7.0) | 0.69 |
| FiO2, % | N.A. | 75.0 [60.0–80.0] | |
| Flow, L O2/min | N.A. | 50.0 [41.3–57.5] | |
| Prone positioning | N.A. | 3/10 (30.0) | |
| Horowitz index | |||
| PaO2/FiO2 | 115.0 [80.6–126.8] | 123.8 [90.8–175.5] | 0.14 |
| PaO2/FiO2 > 300 mmHg | 0/13 (0.0) | 6/141 (4.3) | |
| PaO2/FiO2 200–300 mmHg | 0/13 (0.0) | 14/141 (9.9) | |
| PaO2/FiO2 100–200 mmHg | 7/13 (53.8) | 77/141 (54.6) | |
| PaO2/FiO2 < 100 mmHg | 6/13 (46.2) | 44/141 (31.2) |
| Number of Patients | N = 13 |
|---|---|
| Pneumothorax | 8/13 (61.5) |
| Left | 1/8 (12.5) |
| Right | 6/8 (75.0) |
| Bilateral | 1/8 (12.5) |
| Pneumomediastinum | 6/13 (46.2) |
| Apical alone | 0/6 (0.0) |
| Basal alone | 0/6 (0.0) |
| Apical + basal | 6/6 (100.0) |
| Subcutaneous emphysema | 7/13 (53.8) |
| Patients with a combination of air leaks | 5/13 (38.5) |
| Pneumothorax + Subcutaneous emphysema + Pneumomediastinum | 3/5 (23.1) |
| Pneumothorax + Pneumomediastinum | 0/5 (0.0) |
| Pneumothorax + Subcutaneous emphysema | 1/5 (7.7) |
| Pneumomediastinum + Subcutaneous emphysema | 1/5 (7.7) |
| Patients with an isolated air leak | |
| Pneumothorax | 4/8 (50.0) |
| Pneumomediastinum alone | 2/8 (25.0) |
| Subcutaneous emphysema alone | 2/8 (25.0) |
|
Patients with Air Leak (N = 13) |
Patients without Air Leak (N = 143) | p | |
|---|---|---|---|
| Duration of respiratory support, days | 20.0 [12.0–28.0] | 10.0 [6.0–17.8] | 0.05 |
| ICU length of stay, days | 40.0 [12.0–44.0] | 11.0 [7.0–18.0] | 0.004 |
| ICU mortality | 6/13 (46.2) | 50/106 (35.0) | 0.62 |
| 28-day mortality | 3/13 (23.1) | 52/143 (36.4) | 0.51 |
| 90-day mortality | 2/13 (15.4) | 25/143 (17.5) | 1.00 |
Disclaimer/Publisher’s Note: The statements, opinions and data contained in all publications are solely those of the individual author(s) and contributor(s) and not of MDPI and/or the editor(s). MDPI and/or the editor(s) disclaim responsibility for any injury to people or property resulting from any ideas, methods, instructions or products referred to in the content. |
© 2023 by the authors. Licensee MDPI, Basel, Switzerland. This article is an open access article distributed under the terms and conditions of the Creative Commons Attribution (CC BY) license (https://creativecommons.org/licenses/by/4.0/).
Share and Cite
Goossen, R.L.; Verboom, M.; Blacha, M.; Smesseim, I.; Beenen, L.F.M.; Meenen, D.M.P.v.; Paulus, F.; Schultz, M.J.; on behalf of the PRoVENT–COVID and PRoAcT–COVID Investigators. Incidence of Air Leaks in Critically Ill Patients with Acute Hypoxemic Respiratory Failure Due to COVID-19. Diagnostics 2023, 13, 1156. https://doi.org/10.3390/diagnostics13061156
Goossen RL, Verboom M, Blacha M, Smesseim I, Beenen LFM, Meenen DMPv, Paulus F, Schultz MJ, on behalf of the PRoVENT–COVID and PRoAcT–COVID Investigators. Incidence of Air Leaks in Critically Ill Patients with Acute Hypoxemic Respiratory Failure Due to COVID-19. Diagnostics. 2023; 13(6):1156. https://doi.org/10.3390/diagnostics13061156
Chicago/Turabian StyleGoossen, Robin L., Mariëlle Verboom, Mariëlle Blacha, Illaa Smesseim, Ludo F. M. Beenen, David M. P. van Meenen, Frederique Paulus, Marcus J. Schultz, and on behalf of the PRoVENT–COVID and PRoAcT–COVID Investigators. 2023. "Incidence of Air Leaks in Critically Ill Patients with Acute Hypoxemic Respiratory Failure Due to COVID-19" Diagnostics 13, no. 6: 1156. https://doi.org/10.3390/diagnostics13061156
APA StyleGoossen, R. L., Verboom, M., Blacha, M., Smesseim, I., Beenen, L. F. M., Meenen, D. M. P. v., Paulus, F., Schultz, M. J., & on behalf of the PRoVENT–COVID and PRoAcT–COVID Investigators. (2023). Incidence of Air Leaks in Critically Ill Patients with Acute Hypoxemic Respiratory Failure Due to COVID-19. Diagnostics, 13(6), 1156. https://doi.org/10.3390/diagnostics13061156

